Szerző Sávai Marianna
Lektor Báger Gusztáv
ISBN 9789636386948
>DOI https://doi.org/10.62133/SALDO.QPZG7073

©A SALDO Kiadó valamennyi kiadványa szerzői jogvédelem alatt áll.
2024
Tartalom
Az ábrák listája
A táblázatok listája
A mai modern világunkban egyre fontosabbá válik a fenntarthatóság kérdésköre. Mára már nemcsak környezetvédelemmel kapcsolatosan hallhatjuk ezt a kifejezést, hanem az államháztartás működését is egyre inkább alárendelik neki. Ez utóbbit nevezhetjük „valamiféle fiskális fenntarthatósági elvárás”nak. De hogy pontosan mit is jelent a kifejezés? Miért fontos? Honnan eredeztethető? Hogyan fejlődött az elmúlt évtizedekben? Milyen tényezők, amelyek befolyásolják? Ha mérhető, hogyan lehet ezt megtenni? Egyformán értelmezhetjük minden országra? Jelenleg megfelelnek-e az egyes országok ennek az elvárásnak? Megannyi kérdés merül fel az olvasóban a könyv címét elolvasva. Jogosan, mert egy olyan témáról van szó, amely kevésbé népszerű, kevésbé elterjedt a köztudatban. Ez a könyv megpróbál válaszokat adni ezekre a kérdésekre, annak érdekében, hogy a témában kevésbé járatosak megismerhessék, illetve a témával foglalkozóknak ötleteket adjon további akár elméleti, akár módszertani kutatásaikhoz. E könyv arra törekszik, hogy átfogó képet nyújtson a fiskális fenntarthatóság és az államadósság témaköréről. Megvizsgálva a történelmi gyökereket, az aktuális kihívásokat és azokat a tényezőket, amelyek alakítják a fiskális politikát a Visegrádi országokban. A könyv arra is ösztönöz, hogy gondolkodjunk el azon, hogyan lehetne tovább fejleszteni a költségvetési fegyelem fenntartását a jövőben, és hogyan lehetne támogatni az országokat ebben.
A könyv elkészültéhez sokan hozzájárultak. Név szerint köszönöm Kovács Árpádnak, Kiss Gábor Dávidnak, Lengyel Imrének, Kotosz Balázsnak, Elekes Zoltánnak, Mozsár Ferencnek, Bodnár Gábornak, Nagy Benedeknek, Szakálné Kanó Izabellának, Vida Györgynek, Vas Zsófiának, Benczes Istvánnak, Udvari Beátának, Voszka Évának és Farkas Beátának a könyvem elkészültében tanúsított segítségét. Valamint köszönettel tartozom Báger Gusztávnak a lektori munkáért. Kiemelten köszönöm meg Családomnak a sok szeretetet és gondoskodást, Férjemnek a sok bíztatást és támogatást.
Sávai Marianna a Szegedi Tudományegyetem Gazdaságtudományi Kar Közgazdaságtani és Gazdaságfejlesztési Intézet Elméleti Közgazdaságtani Szakcsoportjának adjunktusa. Alap, mester és doktori tanulmányait is a karon végezte. Doktori képzése alatt a Magyar Nemzeti Bank Pallas Athéné Alapítványának ösztöndíjasa volt. Doktori címét 2020-ban vette át fiskális fenntarthatóság témában folytatott kutatói munkásságáért. Főállású egyetemi oktatóként 2017-től magyar 2020-tól angol nyelven tanít makro- és mikroökonómiát, makrogazdaságtant, jóléti közgazdaságtant, gazdaságpolitikát alap és mesterszakos hallgatóknak. 2020-2022 között a Közgazdaságtani Doktori Iskola titkára, 2021-től a kari Tudományos Diákköri Tanács felelőse. 2022-ben hallgatói vélemények alapján „az év oktatója” díjban részesült.
Szeged, 2023. szeptember
Sávai Marianna
„Az állam olyan adós, akit senki
sem tud arra kötelezni, hogy fizessen.”
(Hume 1777/1994, 127. o.)
Munkám célja összehasonlítani a fiskális fenntarthatóságot mérő mutatók, modellek alkalmazhatósági lehetőségeit (megragadva az egyes modellek közötti hasonlóságokat és különbségeket) annak érdekében, hogy megválaszoljam kutatási kérdésem, amely arra keresi a választ, hogy a visegrádi országok költségvetési politikája fenntartható volt-e a rendszerváltozásuk óta.
A fiskális fenntarthatóság diszciplínája az ökológiai, a környezet- és erőforrás-gazdaságtan alapjain nyugvó fenntarthatóság gazdaságtanában (economics of sustainability) gyökerezik. A fiskális fenntarthatóság témakörének vizsgálata az 1980-as években került előtérbe, de már Domar (1944) megállapította, hogy a fenntarthatóság szükséges feltétele a növekvő deficit elkerülése. Az USA államadóssága 1980-ban a GDP 33 százalékára rúgott, mely érték 1995-ben már a duplájára növekedett. Ez a gyors növekedés hívta fel a közgazdászok figyelmét a fiskális fenntarthatóság mérésének kérdésre. Vajon mi az oka és mi lesz a hatása ennek? Mára a fiskális fenntarthatóságot vizsgáló kutatások nemcsak az államadósság nagyságára, hanem annak szerkezetére is fókuszálnak. Ahogy az argentin vagy orosz válság is megmutatta, viszonylag alacsony államadósság mellett is csődbe juthat egy ország.
Arra keresek magyarázatot, hogyan alakult az államháztartás fenntarthatósága a visegrádi országokban a rendszerváltozástól napjainkig, valamint, hogy ezen folyamat hogyan értékelhető a már megalkotott fiskális fenntarthatóságot mérő mutatók alapján.
A szakirodalmi áttekintés alapján akkor tekintjük egy ország fiskális politikáját fenntarthatónak, ha jelenlegi állapotában történő folytatása a jövőben biztosítja az ország fizetőképességét. A témával foglalkozó empirikus vizsgálatokat is lefolytató szakirodalom szerint ez akkor valósítható meg, ha a GDP-arányos államadósság hosszú távon stabil.
Az államadósság fenntarthatóságának vizsgálatakor eszünkbe juthatnak olyan országok is, mint például az USA vagy Japán, ahol az államadósság mértéke jóval meghaladja a szakirodalom által fenntartható államadósságszintnek nevezhető határértékeket. Ezek az országok sajátos gazdaságtörténeti háttérrel és világgazdasági szereppel rendelkeznek ahhoz, hogy megállapítható legyen esetükben a fiskális fenntarthatóság kritériumainak való megfelelés vagy az arra való törekvés. A téma empirikus vizsgálatához inkább olyan fejlett országokat érdemes választani, ahol a költségvetési politikának kevésbé unikális helyzetben kell működnie.
A visegrádi országokat választottam a vizsgálat alanyainak, mert egy jól körülhatárolható, a szakirodalomban egységként kezelt, homogén országcsoport. A visegrádi országok elnevezést az 1991. február 15-én aláírt Visegrádi Együttműködés helyszínéről, Visegrádról kapta. A helyszín szimbolikus, az országok történetében jelentős eseményhez köthető, ugyanis 1335 novemberében a visegrádi királyi palotában Károly Róbert magyar király kezdeményezésére tanácskozást tartottak III. Kázmér lengyel és Luxemburgi János cseh király részvételével, amely hagyomány felelevenítésének lehet tekinteni az 1991-es találkozót és együttműködési megállapodást.
Egyes kutatásokban felmerül annak a kérdése, hogy Csehország gazdasági helyzete, fundamentumai különböznek a többi visegrádi országétól és a cseh gazdaságpolitika is új utakat keres. Csehország 2015 januárjában háromoldalú együttműködési nyilatkozatot (Slavkovi nyilatkozat) írt alá Ausztria szövetségi kancellárjával és Szlovákia miniszterelnökével, amellyel az volt a céljuk, hogy a három ország közötti kapcsolatot erősítsék, a gazdasági növekedést és a foglalkoztatás szintjének emelkedését elősegítsék. A megállapodásnak nem célja a visegrádi együttműködés megszüntetése (OSW 2015). Lengyelország nem oroszbarát politikája, Magyarország az ideológiai különbségek (osztrák cégeket és bankokat sújtó különadók) miatt maradhatott ki a megállapodók köréből (Új Szó 2015). Ugyanakkor a fiskális fenntarthatóság szempontjából mégis el lehet tekinteni ezektől a különbségektől.
Az egyes országok fiskális politikája az adott ország rendszerváltozástól kezdődően kerül bemutatásra. Az országcsoport gazdaságpolitikáját erősen befolyásolta a rendszerváltozás és az azt követő átmenet időszaka és a jelenlegit is befolyásolja az akkor kialakult és fokozatosan változó közép-kelet európai kapitalizmus sajátos intézményrendszere, amely alatt Farkas (2017) által bemutatott modellt értem.
Az elméleti és az empirikus vizsgálat számos érdekes eredményre világított rá a visegrádi országok fiskális politikájával kapcsolatban. Az országok gazdaságpolitikáját és a fiskális keretrendszerük alakulását áttekintve megállapítható, hogy a visegrádi országok államadósság-szabályainak szigorodása figyelhető meg az Európai Unió államadósság-válságát követően.
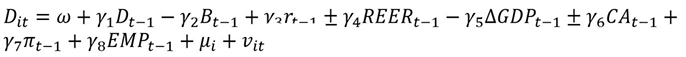
Az államadósság alakulására számos tényező hat, amelyek feltérképezése elengedhetetlen egy fiskális fenntarthatóságról szóló kutatás szempontjából, ezért a lényeges szempontok kiszűrése miatt ökonometriai eljárásokkal történő vizsgálatot folytattam le a szakirodalomban megismert tényezők tekintetében. A vizsgálat rávilágított arra, hogy többek között a visegrádi országok államadósságát a reálkamat, a reál effektív árfolyam és az infláció is befolyásolják, amelyre a fiskális politika nem képes közvetlen hatást gyakorolni.
A fiskális fenntarthatóság méréséről szóló empirikus kutatások három időszakra vonatkozóan különítik el a mérési lehetőségeket, ezeket rövid, közép- és hosszú távnak nevezik. A különféle időtávú időszakokra különféle mérési módszereket alkalmaznak. Minél hosszabb a rendelkezésre álló idősor, annál inkább lehetőség van a közép- és hosszú távú fiskális fenntarthatóság mérésére is. Mivel a rendelkezésre álló adatok a rövid és részben a középtávú vizsgálatra adnak lehetőséget, ezért csak előbbire vonatkozóan tudok verifikálható állítást megfogalmazni a diszkrecionális költségvetési politikával kapcsolatosan. Az empirikus vizsgálat eredményei alapján kijelenthető, hogy a visegrádi országok fiskális politikája rövid távon nem volt fenntarthatatlan a rendszerváltozástól napjainkig. A visegrádi országok diszkrecionális fiskális politikáját nem a rövid távú fenntarthatóság kívánalmainak való megfelelés irányította.
A könyv három, logikailag jól összefüggő egységre tagolódik. Egy elméleti leíró, egy magyarázó-elemző rész és egy empirikus vizsgálat is helyet kap benne. Az első fejezetben az alapvető koncepciók és fogalmak kerülnek bemutatásra. Olyan elméleti fogalmakat tisztázok, mint a költségvetés, az államháztartás, a költségvetési hiány, az államadósság, az államháztartás egyenlegeinek és állapotának mutatói és a fiskális fenntarthatóság fogalma (itt térek ki a fiskális keretrendszer elemeire, a költségvetési szabályok és a független fiskális intézmények szerepére), valamint a pénzügyi és államadósság-válság hatásai. A második magyarázó-elemző fejezetben a visegrádi országok gazdaságpolitikájának a fiskális fenntarthatóság szempontjából sarkalatos eseményeinek kifejtésére vállalkozom, szintetizálva a meglévő szakirodalmat, szigorúan pártpolitika-mentes elemzés közreadásával. Az empirikus vizsgálat két fejezetet ölel fel, a harmadik fejezetben térek rá a fiskális fenntarthatóság témakörében folytatott empirikus kutatási módszerekhez kapcsolódó elméletek, szakirodalom áttekintésére. A negyedik fejezetben összegzem a bemutatott módszertan alapján elvégzett empirikus vizsgálatok eredményeit.
Véleményem szerint a könyv újszerűségeként említhető, hogy a hazai szakirodalomban kevés az empirikus és tisztán közgazdasági alapú kutatás a témában. A megalkotott modellek további kutatások alapjaként szolgálhatnak.
Tartalom
A könyv célja bemutatni a visegrádi országok fiskális fenntarthatóságának forrásait, lehetőségeit a rendszerváltozásuk éveitől napjainkig. Ehhez szükséges a gazdaságpolitika és a fiskális politika, költségvetés, államháztartás fogalmi hátterének tisztázása a fiskális fenntarthatóság bemutatása előtt. Az állam szerepének alakulása elősegíti a későbbiekben bemutatott fogalmak és mozgató erők közötti eligazodást és az elmélettörténeti vetület árnyalni tudja a témában járatos kutatók ismereteit is.
A 2008-as pénzügyi és a 2010-es adósságválság után az eladósodás és a gazdaság kapcsolatát vizsgáló közgazdasági kutatások három téma köré csoportosultak (Barcza 2015): az államadóság szerepe a pénzügyi válságok kialakulásában, a hosszú távú növekedésre gyakorolt hatása és az adósság fenntarthatósága. Mivel jelenlegi munka az utóbbi témakörrel foglalkozik részletesen, ezért csak röviden térek ki a pénzügyi és államadósság-válságok fogalmára, kezelésére az 1.2.3 alfejezetben.
A fiskális fenntarthatóság vizsgálatához elengedhetetlen az alapvető fogalmak megismerése, úgymint állami működés, gazdaságpolitika, fiskális politika, költségvetés, államháztartás és egyenlegeik. A fiskális fenntarthatóság definiálása és a szorosan hozzá tartozó fiskális szabályok és független fiskális intézmények szerepének megismerése segíti a későbbiekben alkalmazott empirikus vizsgálatok eredményének megértését.
A fiskális fenntarthatóság bemutatása elképzelhetetlen a gazdaságpolitika alapfogalmának megismerése nélkül. Az állami feladatok, az állami beavatkozás szükségessége napjainkban megkérdőjelezhetetlen elemei a fiskális politikával foglalkozó kutatások, tanulmányok, könyvek elméleti áttekintésének. A fiskális politika mellett mindig szükséges kitérni a monetáris politikára is, a kettőjük közötti szinergiák megismerésére.
„Bármilyen társadalom intézményei (alkotmánya, törvényei és társadalmi folyamatai) mélyrehatóan befolyásolják az emberek életesélyeit” (Barr 2009, 38. o.). Úgy gondolom, e kiragadott mondat is érzékelteti, hogy milyen fontos foglalkozni az állammal, mint társadalmi intézménnyel. Napjainkban az állam gazdasági szerepvállalásának szükségességéről nincsen vita, de a beavatkozás módjaival, eszközeivel és ezek hatékonyságával kapcsolatosan megoszlik az egyes közgazdaságtudományi irányzatok képviselőinek a véleménye. Jelen könyvben nem kívánok részletesen kitérni a gazdaságtörténeti aspektusokra1.
Az empirikus vizsgálatba bevont európai országok tipizálhatók a jóléti állam vagy másként szociális védelem2 alapján. Farkas (2017) klaszterelemzéssel megállapította, hogy a visegrádi országok nem egységesek e tekintetben, Lengyelország és Magyarország a kontinentális országok közé tartozik, míg Csehország és Szlovákia a reziduális rendszer3 jellemzőit viselik (bár két tulajdonság inkább az előbbi csoporthoz sorolhatná őket is: a társadalombiztosítás kontinentális jellege és a magas munkáltatói hozzájárulás a finanszírozásban). A kontinentális országok jellemzői a magas szintű jóléti kiadások, közepes szintű jövedelmi egyenlőtlenségek, a jóléti kiadásokon belül alacsony a családi és gyermektámogatások aránya, a GDP-hez képest magas a nyugdíjkiadások aránya. A szociális védelemi kiadások finanszírozásában a kormányzat hozzájárulásának aránya alacsonyabb, a munkaadóké, a támogatottaké magasabb, mint a Dánia, Finnország, Luxemburg, Svédország és Írország4 által alkotott klaszterekben. A reziduális rendszerekben a jóléti kiadások szintje alacsony, a nyugdíjkiadások a GDP kis hányadát teszik ki és a munkáltatók hozzájárulása a szociális védelmi kiadások finanszírozásához magas (Farkas 2017).
A klasszikus állami funkciók (államhatalmi funkciók, ezen belül a törvényhozás, végrehajtás és igazságszolgáltatás, a védelmi és egyéb funkciók) újabban kiegészültek a jóléti, gazdasági és kulturális funkciókkal. A modern állam feladatait foglalja össze a következő 1. ábra.
Forrás: Kovács (2010), 19. o.
Lindbeck (1993) szerint az egyes országokban az állami kiadások alakulását az országok politikai szerkezete, döntéshozatali mechanizmusa is befolyásolja, az állami újraelosztásra nem szabad úgy tekinteni, mint egy társadalmi tervező által végrehajtott megfontolt politikára, hanem inkább a különböző, össze nem hangolt politikai cselekvések előre nem tervezett végeredményeként5 kell értelmezni. A modern államokban keletkező jövedelmek 40-45 százaléka az államháztartási szektoron keresztül újraelosztásra kerül, ezzel az állam gazdasági fejlődésben betöltött szerepe vitathatatlan (Stark 2002).
Az állami beavatkozást a piaci hatékonyság és a társadalmi igazságosság érvényre juttatása indokolja. A közszolgáltatások, a szabályozás, a finanszírozás és a jövedelmi transzferek segítségével közvetlen és/vagy közvetett hatást gyakorolnak a piaci folyamatokra. A XX. század második felétől egyre nagyobb teret nyert a közszektor a gazdaságokban, az OECD-országokban arányuk 36-57 százalék körül mozgott 2004-ben. Ezzel az a probléma, hogy a költségvetési gazdálkodás kevésbé hatékony a piacihoz képest. A tulajdonosi szemlélet nem érvényesül kellő mértékben, a természetes és mesterséges monopóliumok az ország versenyképességét visszafogják (Lentner 2015).
A közszektor teljesítményét két dimenzió mentén mérhetjük: hatékonyság és hatásosság. Előbbi az inputokat és outputokat veti össze egymással és ez alapján állapítja meg az adott intézkedés ráfordítás és hozam arányát. Utóbbi a hatás eléréséhez szükséges ráfordítási szinteket veti össze egymással. De megállapítható, hogy ezek összevetése önmagukban nem jelzik a közszektor valódi teljesítményét, ezért az időbeli alakulásukat is kell nézni, valamint azt is figyelemmel kell kísérni, hogy az arányok hogyan alakulnak az egyes mutatókon belül (Lentner 2015).
A gazdaságpolitika és a pénzügypolitika a makroökonómiához kapcsolódó fogalmak. Stark (2002) szerint a „gazdaságpolitika primer célja az életkörülmények megalapozott javítása, ami a gazdasági fejlettség színvonalában materializálódik” (Stark 2002, 20. o.). „A makrogazdasági politika (macroeconomic policy) meghatározott célok és eszközök együttese. Magába foglalja egyrészt a kormánynak a gazdaság egészére vonatkozó céljait, másrészt azt az irányítási és ellenőrzési eszköztárat is, amelyekkel – szándéka szerint – e célokat képes megvalósítani. A legfontosabbnak tartott makrogazdasági célok közé tartozik a teljes vagy csaknem teljes foglalkoztatottság, az infláció szigorú keretek között tartása, a gazdasági növekedés és az ország fizetési mérlegének kiegyensúlyozottsága. A legfontosabb eszköz a fiskális politika, illetve a monetáris politika. Veress (2005, 15. o.) szerint „… a mai közgazdasági konszenzus (neoklasszikus szintézis) a hosszú távon érvényesülő klasszikus dichotómiát hangsúlyozza, vagyis azt, hogy a jegybank nominális változókra gyakorolt hatása a reálgazdaságot csak rövid távon befolyásolja” (Madár 2008, 67. o.).
A gazdaságpolitika célja a makrogazdasági folyamatok irányítása, amelyet a kormány döntései, cselekedetei határoznak meg (Veress 2009, Kovács 2010). A gazdaságpolitika nemcsak országhatáron belüli sajátosságok, hanem nemzetközi erőviszonyok függvénye is. A gazdaságpolitika nem zárt közgazdaságtani logika mentén működik, sokkal inkább lehetne művészetnek nevezni. A vezetés „művészete” az, ha az államnak és a kormányzatnak sikerül adott belső és külső feltételek mellett az optimumot jelentő beavatkozásokat megvalósítania (Kovács 2010). Mivel a közgazdaságtan a preferenciákat adottnak veszi, a politika pedig a preferenciák változtatására törekszik, ezért a gazdasági és politikai célok ütközése gyakran előforduló jelenség, például a választási ciklusokhoz igazított inflációs és foglalkoztatási politika. A választásokat megelőzően a kormányzat igyekszik leszorítani a munkanélküliséget és elengedni az inflációt, míg választás után általában az infláció féken tartására törekszik (Veress 2005). A bal és jobb oldali kormányok költségvetési politikáját már a 80-as években vizsgálták. Alesina és Tabellini (1990), továbbá Roubini és Sachs (1989a, 1989b) megállapították, hogy a költségvetési hiány függ az állampolgárok politikai nézetkülönbségeitől, de Alesina és Roubini (1992) nem tudta kimutatni a politika által befolyásolt ciklusok létét a fejlett országokban. Németh (2015) a kelet-közép-európai országokat vizsgálva megállapította, hogy Bulgária, Magyarország és Szlovákia esetében a szociáldemokrata kormányok kevésbé voltak tekintettel a fiskális pozícióra, mint a konzervatív kormányok, de a régió többi országában ilyen különbségtételt nem lehetett tenni. Abban viszont hasonlítottak az országok (tízből kilenc esetben), hogy a választás évében a fiskális expanzió hatására a fiskális pozíció romlott.
Samuelson és Nordhaus (2012) négy gazdaságpolitikai funkciót különböztet meg: a jogi keretek biztosítását, a makroökonómiai stabilizációs politika meghatározását, az erőforrások elosztásának a gazdasági hatékonyság fokozását célzó befolyásolását, a jövedelemelosztást befolyásoló programok kidolgozását. Ezen felsorolást még egy funkcióval egészíti ki Veress (2005): a verseny fenntartása. Ez a funkció külön nincs megnevezve Samuelson és Nordhaus (2012) művében, de feltételezhető, ha biztosítva vannak a jogi keretek, akkor a versenypiac is megfelelő módon tud működni.
„A pénzügypolitika és a gazdaságpolitika között a rész és egész viszonya áll fenn. A pénzügypolitika a gazdaságpolitika céljaiból származtatható döntési, intézkedési és cselekvési rendszer, amely a kormányzati szándékoknak megfelelően motiválja, illetve határozza meg a pénzkapcsolatokat és pénzmozgásokat. A pénzügypolitika részeként definiálható – egymástól sem függetlenül – a költségvetési, az adó-, a pénz-, a hitel-, a deviza-, a vám-, a kamat- és az árfolyam-politika. […] A pénzügypolitika fő megjelenési formája a modern gazdaságokban a fiskális politika és a monetáris politika” (Veress 2005, 22. o.).
„A monetáris politika a gazdaságpolitika része, amelynek viteléért a jegybank felel. A gazdaságpolitika célja, hogy a gazdasági folyamatok befolyásolásán, irányításán keresztül a társadalom jólétét növelje. Az egyes gazdaságpolitikai ágak − monetáris politika, fiskális politika, adópolitika, foglalkoztatáspolitika stb. − saját céljaik megvalósításával járulnak hozzá ehhez. A monetáris politika feladata az árstabilitás biztosítása, amely tartósan alacsony infláció és horgonyzott várakozások együttesét jelenti” (Kaponya 2012, 6. o.).
Az alternatív közgazdaságtani irányzatok szerint a gazdaságpolitika azért haszontalan, mert a hagyományos makroökonómiai feltevések hibásak, felcserélik a célt az eszközzel, vagyis a gazdasági szereplők tevékenységének nem a gazdasági növekedés a végső célja, hanem az emberi jólét növelése. A racionális várakozások iskolája szerint a várakozásokba beépülnek a kormányzati döntések és így semmiféle hatást nem gyakorolnak a termelésre, de a váratlan gazdaságpolitika téves helyzetértékelést idéz elő, ami inkább árt, mintsem használ a gazdaságnak. A monetaristák az állami gazdaságpolitikának igen szűk teret engedélyeznek csak, erősen korlátozva azt. Az állami költségvetés tekintetében a következő szabályokat kell követni: a kormányzati kiadások mértékét költség-haszon elemzéssel kell megállapítani és ettől eltérni nem szabad, ehhez kell hozzáigazítani és rögzíteni az adóhányadot, az üzleti ciklusoktól függetlenül azonos százalékban kell évről évre növelni a pénzkínálatot (Veress 2005).
A fejlett országok gazdaságpolitikai gondolkodását az 50-es évektől a stabilizációs célt követő költségvetési politikának és a pénzmennyiséget szabályozó monetáris politikának az alkalmazása jellemezte. Majd a 80-as évektől lassan a hagyományos anticiklikus fiskális politika háttérbe szorult, a hitelesség és kiszámíthatóság érdekében a különféle szabályhoz kötött politika került előtérbe (ilyenek a kiadási korlátok, egyenleg- és adósságkritériumok). Ennek a folyamatnak hátterében az USA fellendülése állt (Bod 2008).
A nagy moderáció6 időszakában a monetáris politikát feltételezték az egyedüli gazdaságot befolyásolni képes erőnek, a fiskális politikával szemben kételyek merültek fel, a pénzügyi szabályozást pedig nem tekintették a makroökonómiai eszköztár részének. Mivel az inflációs célkövető rendszer jól működött, az elemzők és a politikusok is arra a következtetésre jutottak, hogy megfelelően tudják kezelni a makrogazdaság körforgását. A 2008-as válság mindezt megkérdőjelezte (Blanchard et al. 2010). A válság is rávilágított az államok gazdaságpolitikájának különbözőségeire: ami az egyik országban jól működik, a másik ország számára nem feltétlen járható út. Nincs egy legjobb recept, mindig az adott ország specifikus körülményei mellett kell megalkotni a megfelelő gazdaságpolitikát, ezen belül a fiskális politikát a hozzá tartozó költségvetéssel, annak tervezésével, végrehajtásával és ellenőrzésével együtt.
„A fiskális politika a makrogazdasági politikának azon eszköze, amely a gazdaság szereplőinek (aktorainak) magatartására, gazdasági aktivitására a kormányzati kiadások és az adózás irányításán keresztül kíván hatni a kinyilvánított célok elérése érdekében.” (Veress 2005, 16. o.) Kulcsszerepe van a gazdaságban, anticiklikussága miatt, mellyel képes a boom-időszakok és a recesszió mélységét ellensúlyozni. A költségvetési politika „Feladata az adott gazdaságpolitikai célrendszer megvalósításának elősegítése az államháztartás funkciónak, kiadás- és bevétel-politikai alapelveinek, mértékének és struktúrájának meghatározása révén” (Szabó 2005, 154. o.).
Az államháztartás működésének részterületei és a költségvetési politika elsőleges célrendszere az allokációs politikában, elosztáspolitikában, konjunktúrapolitikában ölt testet. Ezeken túlmenően vannak úgynevezett származtatott célok is, amelyek az államháztartás működésével kapcsolhatók össze, ezek a következők (Szabó 2005, Bod 2008):
fiskális célok, amelyek az elsődleges célok megvalósításához szükséges bevételek biztosítását, valamint az államháztartási egyensúly fenntartását jelentik;
származtatott allokációs célok, lényege a hatékony feladatmegosztás biztosítása.
„A fiskális politika finanszírozási hatásain, a fiskális politika és a fiskális intézményrendszernek a pénzügyi rendszer egészére gyakorolt hatásait értjük” (Vígvári 2011, 250. o.).
Ha a politikusok előre megalkotják és betartják ezeket szabályokat, akkor a gazdaságpolitikát a szabályok vezérlik. Ha a politikusok döntése a mindenkori helyzet megítélésén alapul, akkor olyan politikát választhatnak, amit az adott körülmények között megfelelőnek tartanak, ilyenkor a gazdaságpolitika eseti. A szabályok lehetnek aktív vagy passzív gazdaságpolitika eredményei is. Ha alkalmatlan vagy opportunista politikusok vezetik az országot, akkor inkább a szabálykövető gazdaságpolitika alkalmazása a megfelelőbb a gazdaság számára (Mankiw 2005).
A szabályalapú fiskális politika folytatása során a költségvetési aggregátumok számszerű keretek köré szorításával hosszú távon meghatározzák a költségvetési politika mozgásterét. A szabályozás célja a túlköltekezés megfékezése, különösen a krízismentes jó időkben, hogy a fiskális felelősség hiteles és az adósság fenntartható legyen. Japán és Németország voltak az elsők, akik belátták a fiskális szabályozás szükségességét. A kilencvenes évektől vette át a többi ország a szabályokat, napjainkban mintegy nyolcvan országban alkalmaznak valamiféle szabályalapú fiskális politikát (Schaechter et al. 2012).
A szabályalapú költségvetéssel a tervezés megalapozottabbá, hatékonyabbá tehető, és számos módon segítheti elő a gazdasági növekedés feltételeinek megteremtését, javítását (Kovács 2010). Az alkalmazott szabályok négy fő csoportba sorolhatók (Schaechter et al. 2012, Ódor – P. Kiss 2011):
Az államadósságra vonatkozó szabályokban a GDP adott százalékában határozzák meg az államadósság maximális mértékét, amely lehetőséget teremt a fiskális politika hosszabb távon történő korlátozásához. Ezek a szabályok fontosságuk hangsúlyozása érdekében bekerülhetnek az alkotmányba is.
A költségvetési egyenlegre vonatkozó szabályok elősegítik az államadósság fenntarthatóságának biztosítását.
A kiadási szabályok a teljes, elsődleges és folyókiadások mértékét abszolút értékben, növekedési ütemben vagy a GDP arányában állapítják meg három vagy öt éves időhorizontra, így a középtávú egyenlegcél elérését segítik elő.
A bevételekre vonatkozó szabályok egy minimális vagy maximális célértéket határoznak meg, a bevételek növekedése és/vagy a túlzott adóterhek megelőzése érdekében.
Az automatikus stabilizátorok7 alkalmazásával a szabályalapú költségvetési politika képes visszaszorítani a döntéshozók mozgásterét, az egyedi intézkedések alkalmazását. További előnyük, hogy hatásaik a gazdasági ciklus során kiegyenlítődnek, így nem veszélyeztetik a fiskális fenntarthatóságot. Az országok adottságaihoz igazodó fiskális szabályokra és eljárásokra épül az országok közpénzügyi felelősség keretrendszere8 (röviden: kfk) (Kutasi 2012). A fiskális szabályokat a 1.3.2 alfejezetben tekintem át részletesen.
A 2008-as válság előtt a gazdaságpolitika a stabil, alacsony infláció elérésére fókuszált, melynek eszköze az irányadó kamatláb változtatása (a monetáris politikai eszköztár elemeként). A fiskális politikának korlátozott szerepet tulajdonítottak ekkoriban, mert úgy vélték, hogy a fogyasztást nem a folyó jövedelem határozza meg, nem igaz a ricardói ekvivalencia, nem mindegy, hogy az állam hitelből vagy adóból finanszírozza magát és hosszú távon függőleges aggregált kínálati görbére nincs hatással az állami beavatkozás. A közgazdasági érvek mellett, gyakorlati érvként merült fel a fiskális politika ellen, hogy bonyolult implementálni, késleltetve fejti ki hatását, nagy a politika befolyása felette. A válság kitörése felhívta a figyelmet arra, hogy a monetáris politika önmagában nem elegendő, válságkezelés során szükség van a fiskális politika aktív használatára is (Blanchard et al. 2010).
A fiskális politika kontra és prociklikus voltát számos tanulmány vizsgálta az elmúlt évtizedekben, kezdetben a fejlett országokra vonatkoztak a tanulmányok, melyben megállapították, hogy erősen kontraciklikus a fiskális politika (Gavin – Perotti 2007, Galí –Perotti 2003, Lane 2003, Aghion – Mariescu 2007). A fiskális politika prociklikus9 voltára mutattak rá fejlődő országok esetén Kaminsky és szerzőtársai (2004), Talvi és Végh (2005), Alesina és szerzőtársai (2008) és Alberola és szerzőtársai (2018), fejlett országokra Ihori és Kameda (2018), Bjørnland és Thorsrud (2019), valamint Gootjes és de Haan (2022). A tanulmányok másik része a kontraciklikusságra10 talált magyarázatot (Frankel et al. 2013, Végh – Vuletin 2014). Az államadósság-küszöbérték vizsgálatát Combes és szerzőtársai (2017) abból a szempontból végezték el, hogy a fiskális politika mely értéktől kezdve válik pro vagy kontraciklikussá. Azt találták, hogy a GDP-arányos államadósság 87 százalékos értéke az, ami alatt a fiskális politika kontraciklikus és afelett prociklikus.
Bod (2008) felhívja a figyelmet, hogy a közfeladat és az állami feladat nem szinonimái egymásnak, bár nagyon hasonló a két fogalom. A közfeladatot ellátó tevékenység igénybevevőit nem lehet lehatárolni, de a társadalom nagy részének érdekét szolgálja. Hogy e teendőket az állam, kormányzati intézmény látja el leggyakrabban, az a kontinentális Európában alakult így az idők során. Az angolszász rendszerben az önszabályozó civil vagy piaci szervezetek is látnak el közfeladatokat. A közfeladatokat közpénzből finanszírozzák, mely magánjogi (állami cégek nyeresége, kamatjövedelmek) vagy közjogi (adó, illeték és járulék) bevételekből származik.
A közpénzeket közfeladat ellátására kell fordítani, a költségvetési gazdálkodás logikája, hogy a közfeladatok kiadásai határozzák meg a bevételeket (ez ellentétes a magánszektorban uralkodó gondolkodással, ahol a bevételek határozzák meg a kiadásokat). A közpénzzel való gazdálkodásnak átláthatónak és tervszerűnek kell lennie, a hatékony felhasználás az ellenőrző funkciók segítségével javítható (Bod 2008).
A költségvetést és a költségvetés végrehajtását szabályozó törvényekben (Magyarországon az Alaptörvényben, a Stabilizációs törvényben11, valamint az Államháztartásról szóló törvényben12) vannak lefektetve a jogállam pénzügyi működésének alapjai. A költségvetés bevételei és kiadásai nem egyszerre jelentkeznek, ezért menedzselni szükséges azokat. A költségvetés legnagyobb, 90 százalékot meghaladó bevételi kategóriája a fizetési kötelezettségek: az adók, illetékek, vámok, járulékok, hozzájárulások, bírságok és díjak összege. További bevétel származik a privatizáció, koncessziós szerződések, költségvetési szervek (egyéb) bevétele, Európai Uniós támogatások, külföldi segélyek, adományok, befektetések hozamának realizálásakor. A működési és fejlesztési hitelek, értékpapír-műveletek előrehozott jövedelemként működnek (Kovács 2010).
Az államháztartást Botos és Schlett (2010, 20. o.) a következőképp definiálja: „közfeladatokat ellátó és finanszírozó gazdálkodási rendszer, amely azon gazdasági egységek összességét képezi, amelyek politikai felelősségvállalás mellett vesznek részt a jövedelmek és a nemzeti vagyon újraelosztásában, valamint a nem piaci javak előállításában, illetve közreadásában”.
Forrás: Botos és Schlett (2010) alapján saját szerkesztés
A kormányzat gazdasági funkcióit három nagy csoportba lehet sorolni (2. ábra). Az államháztartás feladatainak finanszírozása a költségvetés kiadási és bevételi oldalára is erőteljes nyomást gyakorol, egy determinisztikus folyamatba kényszerítve a költségvetés tervezését. „Az állam szerepéről, (gazdaságpolitikai) „cselekvéseiről” alkotott … felfogásbeli, mintakövetésbeli különbségek igen jelentős mértékben befolyásolhatják az adóteher mértékét, centralizációját, a teherviselők körét, rendjét, a beszedés technikáját, az ellenőrzés célterületeit stb. […] Ha a közpolitika értékválasztása bizonytalan, és egyik vagy másik érdekcsoport (például multinacionális cégek vagy akár fogyasztói csoportok) egyoldalúan képes befolyásolni az adózást, s így az hosszabb vagy akár rövidebb időhorizonton nem felel meg a társadalom jövedelemviszonyainak, akkor az adórendszer működése elveszti ösztönző hatását, kontraproduktívvá válik. Ez pedig előbb vagy utóbb kedvezőtlenül hat vissza a gazdaság teljesítményére, majd általa az államháztartás működésére fordítható forrásokra” (Kovács 2010, 104-105. o.).
A gazdaságpolitika sikerességét meghatározza a fiskális és monetáris politika egymáshoz való viszonya. Ezt a viszonyt elemezte Leeper (1991), aki megkülönböztette a politikák aktív és passzív voltát, amelyek ellentétes jelenségre utalnak az egyes politikák szempontjából. Az aktív fiskális politika az expanzív vagy laza költségvetési politikát jelenti, azaz a kormányzat a fenntarthatónál magasabb költségvetési hiány kialakulását engedi meg magának. A passzív fiskális politika esetén a kormányzat a hosszú távú egyensúly fenntartására törekszik. A monetáris politika ezzel szemben akkor nevezhető aktívnak vagy szigorúnak, ha a célkitűzéseihez következetesen ragaszkodik. Ha az infláció növekedését megengedi, akkor passzívnak vagy lazának értékelhető (Matolcsy – Palotai 2016).
Leeper (1991) alapján, ha a monetáris politika aktív és a fiskális politika passzív, akkor monetáris dominanciáról beszélünk. Ebben az esetben a jegybank szigorúan követi az inflációs célját és a fiskális politika ennek alárendelve szintén szigorúan viselkedik, hogy az egyensúly fennmaradjon hosszú távon. Ha a fiskális politika aktív és a monetáris politika passzív, akkor fiskális dominanciáról beszélünk. Ilyenkor az államháztartás hosszú távú egyensúlyának biztosítása érdekében a jegybank feladja inflációs célját, a keletkező seigniorage bevételből elinflálja az adósságot. Tehát fiskális dominancia mellett is létrejöhet az elsődleges költségvetési egyenleg egyensúlya. A modell feltevései alapján, ha mindkét politika aktív, akkor a túlzott költségvetési hiány és az alacsony infláció akár válságot is eredményezhet. A mindkét politika passzív volta13, azaz laza monetáris politika és szigorú fiskális politika megvalósulásának valószínűsége nem számottevő (Matolcsy – Palotai 2016).
Leeper (1991), Sargent és Wallace (1981) és Sims (1994) által leírt úgynevezett konvencionális modell feltételezi, hogy a fiskális hatóságok a jegybankok kötelezettségeit és eszközeit sajátjukként ismerik el és a fiskális hatóságok automatikusan kompenzálják a jegybanki veszteségeket. Így ebben a modellben a jegybankok költségvetési korlátja nem indukál egyensúlyi megszorítást. Az elméletet Stella és Lönnberg (2008) 135 jegybankot vizsgálva tesztelte és megállapították, hogy a törvények nem minden esetben írják elő a fiskális hatóságok felelősségét a jegybanki kötelezettségekért és a jegybank feltőkésítéséért.
1.2.1 Költségvetési hiány, államadósság
Amikor a költségvetési kiadások meghaladják a bevételeket, akkor a különbözetet költségvetési hiánynak (deficit) nevezzük. A költségvetési hiány a folyó költségvetési politika és az államháztartás vagyoni pozíciójának változását mutató mérték. Azt, hogy pontosan mely bevétel- és kiadáskategóriák kerülnek beszámításra a költségvetési deficit mérése során, az így kapott mutatókat hiánymutatóknak nevezzük (Bod 2008). Ezek a következő, az államháztartás egyenlegeiről szóló alfejezetben részletesen bemutatásra kerülnek.
Sajnos a különféle mérési módszerek alkalmazásai heterogén eredményeket adtak/adnak. Egyes közgazdászok úgy vélekednek, hogy használatukat nem szabadna engedni. A költségvetési deficit mérésével kapcsolatosan az amerikai gazdaságban tapasztalt folyamatok és a közgazdászok között zajló viták alapján négy mérési problémára is felhívja Mankiw (2005) a figyelmet. Az első az infláció, vagyis, hogy az államadósságot nem nominális, hanem reálértékben kellene mérni. A deficitnek, ennek a reálértéken mért adósságnak a változását kellene mutatnia. Mivel a deficitben az adósság után fizetett nominális kamattal számolt kiadás szerepel és nem a reálkamattal számított, ezért előfordulhat egy magas inflációjú országban, hogy a nominális államadósság növekedése mellett a reáladósság csökken. A második mérési probléma, hogy a tőkejavak is beleszámítódnak az államadósságba. A harmadik a hiány számítása, melynek során figyelmen kívül hagynak állami kötelezettségeket, ilyen például az állami alkalmazottak nyugdíja, társadalombiztosítási juttatások, magánhitelekre nyújtott garanciák. A negyedik a konjunktúra ciklus, hiszen egyetlen számból nem lehet következtetéseket levonni arra vonatkozóan, hogy a kormányzati kiadások a recesszió vagy felelőtlen gazdaságpolitika következményei. Erre a problémára van a ciklikusan kiigazított költségvetési deficit.
„Államadósság minden olyan hitelviszonyon alapuló fizetési kötelezettség, amely az államháztartás valamelyik alrendszerét terheli” (Horváth 1998, 41. o.). Botos és Schlett (2010, 116.o) is hasonlóan fogalmaz: „az államadósság egy adott országon a helyi (önkormányzati), és a központi kormány adósságainak összege”. Hozzáteszik azt is, hogy a fogalomhoz tartozik „az állami kezesség- és garanciavállalás miatt keletkezett hiteltartozás, az elkülönült pénzalapok, valamint az állami vállalatoktól átvállalt hiteltartozás is”.
Az államadósságot lehet belföldi és külföldi forrásokból is finanszírozni. A belföldi finanszírozás formái az államháztartáson belüli (például, ha a központi költségvetési értékpapírjait a társadalombiztosítás jegyzi), jegybanki hitelnyújtással, értékpapír-eladás üzleti bankok, vállalatok és lakosság számára. A külföldi finanszírozásban a nemzetközi szervezetek, más országok kormányai, külföldi bankok és nemzetközi alapok vállalhatnak szerepet. A finanszírozás eszköze lehet hosszú lejáratú kötvény, rövid lejáratú kötvény és kincstárjegy, hosszú lejáratú kölcsön, rövid lejáratú kölcsön és hitel (Botos – Schlett 2010).
Az államadósság finanszírozásának kialakítása során szem előtt kell tartani, hogy hosszú távon kell optimalizálni az államadósság lejáratát, a felhasznált hitelek típusát, finanszírozási formáit, hogy minél kisebb további terhet jelentsen a gazdaság számára (László 1994).
Az államadósság növekedése a pénzügypolitikai hiteltelenség, a fiskális és monetáris politika összhangjának hiánya a finanszírozási terhek súlyosbodását is eredményezik. Az államháztartási kiadások magas szintje a romló színvonalú közszolgáltatásokon és a társadalmi konfliktusokon keresztül általános bizalomhiányhoz is vezethet. Mindezek elkerülése érdekében korszerű költségvetési tervezésre és közpénzügyi menedzsmentre14 van szükség (Báger et al. 2010).
Az adósságmenedzsment az államkölcsönökkel kapcsolatos kamatfizetési, határidő és keresettségi szint szerinti átszervezést jelenti. Az adósságkonverzió során utólagos módosításra kerülnek a kölcsönfeltételek, a rövid lejáratút hosszúra, a régi kötvényeket új, más kamatlábú kölcsönre lehet cserélni (Botos – Schlett 2010). Az adósságmenedzsment során eldöntendő kérdések és a belőlük adódó átváltások köre igen sokféle (1. táblázat).
1.1. táblázat - 1. táblázat Az államadósság-menedzsment során eldöntendő kérdések (átváltások)
|
Hozam |
Átlagos lejárat |
Kötelezettségek megújítási kockázata |
Államadósság árfolyamkitettsége |
Előrejelez-hetőség |
Makropénzügyi sérülékenység | |
|
Hazai devizában finanszírozás |
magasabb |
rövidebb |
alacsonyabb |
nincs |
erősebb |
kisebb |
|
Külföldi devizában finanszírozás |
alacsonyabb |
hosszabb |
magasabb |
van |
gyengébb |
nagyobb |
|
Rövid távú finanszírozás |
alacsonyabb |
rövidebb |
magasabb |
nem értelmezhető |
gyengébb |
nagyobb |
|
Hosszú távú finanszírozás |
magasabb |
hosszabb |
alacsonyabb |
erősebb |
kisebb | |
|
Fix kamatozású finanszírozás |
lassabb átértékelés |
– |
– |
nem értelmezhető |
erősebb |
kisebb |
|
Változó kamatozású finanszírozás |
gyorsabb átértékelés |
gyengébb |
nagyobb | |||
|
Hazai finanszírozás |
– |
– |
a piaci megítélés függvénye |
– |
erősebb |
kisebb |
|
Külföldi finanszírozás |
gyengébb |
nagyobb | ||||
|
Piaci finanszírozás |
magasabb |
– |
– |
– |
– |
– |
|
Nem piaci finanszírozás |
alacsonyabb |
Forrás: Baksay és szerzőtársai (2016) 30. o. alapján saját szerkesztés
Az államadósságot külső és belső adósságra lehet bontani, de a különféle értelmezések más-mást értenek ezen kifejezések alatt. Egyrészt a hitelt nyújtó identitása szerint a hitelező külföldi vagy belföldi lehet, másrészt a kötvénykibocsátó joghatóság szerint is lehet külföldi és hazai megkülönböztetést belső és külső adóssággal illetni. Ugyanakkor a külső és belső adósság megkülönböztetése sokszor az adósság devizanemének hazai vagy idegen voltára is használatos, bár ez utóbbi nem szerencsés megoldás. Általánosságban a külső adósság alatt az idegen jog szerint kibocsátott, többségében idegen devizában denominált, külföldiek által vásárolt kötvényeket értik (Vidovics-Dancs 2013, 2014). A továbbiakban én is erre gondolok, ha a külső adósságot említem.
A külső adósság felhalmozódása a fejlődő országokra jellemző, amikor gazdasági fejlettségük azon szakaszában vannak, amikor a hazai megtakarítások kínálata alacsony, a folyó fizetési mérleg hiánya magas, és tőkeimportra van szükség a hazai források gyarapításához (Todaro – Smith 2020). A külső eladósodottság (external indebtedness) témakörét a posztszocialista országokra vonatkozóan vizsgálta Yarashevich (2013) és megállapította, hogy egy 2008-ashoz hasonló válság esetében (ahol növekvő kamatok és csökkenő nyersanyagárak együttese lesz megfigyelhető) a posztszocialista országok adósságcsapdába (debt trap) kerülhetnek.
A témához kapcsolódó fogalomként érdemes megemlíteni azt a jelenséget, amelyet a szakirodalom az állam foglyul ejtésnek (state capture)15 nevez. Ez azt jelenti, hogy „Egy adott országon kívüli, vagy azon belül meghatározható személyek, intézmények, gazdasági társaságok vagy csoportok, akik korrupció útján az ország közpolitikáit, jogszabályi környezetét vagy gazdaságát saját érdekeik elősegítése céljából befolyásolják” (Transparency International 2016, 10. o.). Evans a bürokrácia beágyazott autonómiájának elmélete szerint, az állami bürokráciának be kell ágyazódnia a társadalomba annak érdekében, hogy a társadalmi infrastruktúrán keresztül meg tudja valósítani a céljait, de az üzleti szférával tartania kell a távolságot annak érdekében, hogy az egyes érdekcsoportok ne tudják foglyul ejteni (Ricz 2017).
Az államadósság mértékére a hazai valuta árfolyamának ingadozása is hatással van. Leértékelés esetén egységnyi külföldi valutáért több hazai valutát kell adni, ezért a külföldi adósságállomány nagysága és a leértékelés százalékának megfelelő mértékben a belföldi államadósság nagyság is növekedni fog (Botos – Schlett 2010).
1.2.2 Az államháztartás egyenlegei és állapotának mutatószámai
A különféle fiskális stabilitást vizsgáló modellek eltérően definiálják az államháztartási egyenlegeket, mutatókat, ezért fontos megismerkedni az alapvető egyenleg- és mutató típusokkal.
Az államháztartás egyenlege a bevételek és kiadások különbségéből adódik. Háromféle helyzete lehet. Nullszaldó, azaz egyensúly, amely csak az elméleti modellekben áll fent. Többlet (szufficit), amikor a bevételek értéke nagyobb a kiadásokénál. Hiány (deficit), amikor a kiadások haladják meg a bevételeket. Ha a költségvetési mérlegben szufficit van, akkor vagy az állami pénzkészlet növekszik, vagy az adósságállomány mérséklődik. Ha deficitet mutat a költségvetési mérleg, akkor az állami pénzkészlet csökkenését vagy az adósságállomány növekedését okozza. A bevételeket és a kiadásokat különféle speciális változók segítségével lehet mérni és összegezni, így ezek alapján az egyenleg értéke is változhat. A négy leggyakrabban használt egyenlegkoncepció (Benczes – Kutasi 2010): az államháztartás teljes egyenlege, elsődleges egyenleg, ciklikusan kiigazított egyenleg, strukturális egyenleg.
Az egyik legrégebben használt egyenlegtípus az 1986-os Government Finance Statistics (röviden: GFS) rendszer által alkalmazott GFS egyenlegek. A GFS rendszert az évek során folyamatosan fejlesztették a kormányzatok, intézmények a makrogazdaság igényeinek való megfelelés érdekében. A legnagyobb reformok 2001-ben és 2014-ben voltak. A 2001-es GFS rendszerben háromféle alap GFS egyenleg van, ötféle egyéb egyenleg és öt egyéb makrogazdasági mutató. A jólétet és az államadósságot négyféle változóval mérik. Mindezen mutatók számát bővítették, pontosították a 2014-es reform során (1. melléklet).
Nemzetközileg elfogadottak az IMF (2015) által használt egyenlegek az elsődleges egyenleg (primary balance) a nettó kamatok (ami a kamatkiadások és bevételek különbsége) nélküli teljes egyenleg. Ha az elsődleges egyenleg többletet mutat, akkor az állam a jövedelmeihez képest kevesebbet költ áru és szolgáltatás vásárlásra (Giday 2002): a bevételek részben vagy egészben fedezetet nyújtanak a nettó kamatfizetésre és a kölcsön törlesztésre is. A ciklikus egyenleg (cyclically balance) a ciklikus bevételek és kiadások különbsége. A kibocsátási rés (output gap) számítása során országspecifikus rugalmassági tényezőt is számítanak ezekből az aggregált bevételi és kiadási adatokból.
A ciklikusan kiigazított egyenleg (cyclically adjusted balance) a teljes egyenleg és az automatikus stabilizátorok különbsége (IMF 2015). Az automatikus stabilizátorok olyan költségvetési intézkedések, amelyek a reál GDP ingadozását hivatottak csillapítani, ilyenek az adótörvények és a kiadási szabályok. A ciklikusan kiigazított bevételek és kiadások az átmeneti, potenciális kibocsátás eltérésével társuló hatásoktól vannak megtisztítva. A ciklikusan kiigazított elsődleges egyenleg (cyclically adjusted primary balance) a nettó kamatfizetés nélküli ciklikusan kiigazított egyenleg.
A teljes fiskális egyenleg (fiscal balance) a nettó hitelt felvevő és hitelezői pozíció, a bevételek és a teljes kiadások különbségéből számítódik a GFS 2001-es kézikönyve szerint. Nem foglalja magába a politikai hiteleket. Néhány országban a teljes egyenleget (overall balance) még az 1986-os GFS szerint a teljes bevétel és támogatás és a teljes kiadás és nettó hitelek alapján számítják. A strukturális fiskális egyenleg (structural fiscal balance) a ciklikusan kiigazított egyenleg és az egyéb nem rendszeres hatások különbsége (IMF 2015). Ezek a nem rendszeres hatások túlmutatnak a ciklusokon, olyan egyszeri műveletek és egyéb tényezők, amelyek ciklikus változása nem esik egybe a kibocsátási ciklussal (például eszköz- vagy nyersanyagárak és a kibocsátás-összetétel hatása).
Az egyenleg meghatározásakor számít, hogy pénzforgalmi vagy eredményszemléletben vannak számba véve az ügyeletek. Előbbi a pénzforgalomra gyakorolt hatás alapján veszi számba a tranzakciókat, tehát csak a ténylegesen kifizetett kiadásokat és a ténylegesen befolyt bevételeket számolja el. Míg utóbbi a vagyonváltozásra gyakorolt hatást vizsgálja, így a teljesítés szerint kerülnek számbavételre a tranzakciók, nem a pénzmozgáskor (Kovács 2010).
Az egyenleg megállapításakor problémát okoz az is, hogy vannak olyan tételek, amelyek finanszírozási igénye közvetlenül nem jelenik meg a költségvetésben, ezért ezek a kvázi-fiskális tevékenységek elhatárolásra kerülnek. Az elszámolás módjai lehetőséget adnak a kreatív könyvelésre is, amely során általában a hiány mértékét növelő tételeket hagynak ki a költségvetésből. Ezek torzíthatják a kapott eredményeket, a kockázati szint megítélésének lehetőségét és az átláthatóságot (Kovács 2010).
Ha az államadósságot vizsgáljuk, akkor az eddig említett egyenlegeken túl meg kell vizsgálni azt is, hogy milyen a keletkezett államadósság szerkezete, mekkora mértékben van jelen a külföldi finanszírozás. A hazai és külföldi tulajdonú finanszírozás természete, hatásai eltérőek (Waldenström 2010). A hazai tulajdonosok egyben választópolgárok is, akik támogatására a kormány egyébként is támaszkodik. A belföldi hitelezők képesek fenyegetni az újraválasztás megvonásával a kormányt (Drazen 1998). Előfordulhat, hogy a hazai állampapír-tulajdonosok a helyi elit tagjai és ezért befolyást gyakorolnak a kormányra annak érdekében, hogy a kormány eleget tegyen fizetési ígéretének (akár a külföldi kölcsönök visszafizetésének rovására is) (Gelpern – Setser 2004).
A tulajdonosi szerkezeten kívül fontos, hogy az adósság hazai vagy külföldi pénznemben van denominálva. A hazai pénznemben történő eladósodás előnyei: a bevételek és a kiadások között természetes fedezet valósul meg, a belpiaccal kapcsolatos jobb informáltság, kedvezőbb hitelminősítés, a tőkepiac méretének, kultúrájának és infrastruktúrájának fejlődése, azaz a finanszírozási biztonság megvalósulása. A külföldi devizában történő eladósodás előnye, hogy olcsóbb, mint a hazai pénznemben történő eladósodás. Külföldi forrást azért von be egy ország, mert a devizatartalékait szeretné szinten tartani, az ország megítélésén szeretne javítani a nemzetközi piacokon, az átmeneti makrogazdasági ingadozásokat szeretne kivédeni vagy, mert a belföldi piac fejletlen – különösen igaz fejlődő országokban. A külföldi devizában történő állampapír-kibocsátás egy gazdaságpolitikai jelzés is lehet, amely azt közvetíti a tőkepiacok felé, hogy a kormány az adósságot nem fogja elinflálni (ezt egyébként inflációhoz kötött kamatozású hazai pénznemben kibocsátott állampapírokkal is el lehet érni). Magas hazai infláció esetén megjelenhet érvként a külföldi eladósodottság mellett egy „halasztó hatás”, azaz a kamatkiadások kicsivel magasabbak a reálkamatnál és az infláció csak az adósságállomány törlesztésekor jelentkezik. A belföldi valutában kibocsátott adósságleveleket is megvásárolhatják külföldi befektetők. A bevonzásuk érdekében a piaci átláthatóságot kell növelni, az instrumentumoknak, deviza- és adósságszabályoknak egyszerűnek kell lenniük, a másodpiaci likviditást megfelelő mértékűre kell emelni és akár közvetlen marketingtevékenység is folytatható (Dunavölgyi 1997).
1.2.3 Pénzügyi és államadósság-válság
A könyv témájához szorosan kapcsolódik az államadósság-válság jelensége is. Mivel a vizsgálat alanyai az Európai Unió tagállamai, ezért a 2008-as pénzügyi válság és különösen az azt követő 2010-es szuverén adósságválság kiemelt szerepet kell, hogy kapjon. Ebben az alfejezetben bemutatásra kerülnek a 2008-as pénzügyi és az azt követő 2010-es államadósság-válság Európai Uniós eseményei (a visegrádi országokra vonatkozóan a róluk szóló 2. fejezetben tárgyalom). Az Európai Unió adósságválság menedzsmentjének fiskális szabályozásokra vonatkozó eredményei (Európai Szemeszter, Költségvetési Paktum) az 1.3.2 alfejezetben szerepelnek részletesebben, ezért ebben az alfejezetben néhány egyéb beavatkozás kerül megemlítésre.
A pénzügyi válságok négy kategóriába sorolhatók: valuta-, adósság-, bank- és fizetési mérlegválságok. A 2008-as pénzügyi válságban mindegyik típus megjelent, ezért napjainkig kihatnak. Az ECB az EU-tagállamok válságeseményeit összegyűjtötte és kategorizálta 1970-től 2017-ig egy adatbázist létrehozva, amely a válságok természetének megértését, keletkezésük és kezelésük körülményeinek sajátosságait is tartalmazza, a kutatók számára jó alapként szolgál a makroprudenciális vizsgálatok lefolytatásához. Az ECB megkülönbözteti a rendszerszintű és átmeneti válságokat, ezeket tipizálja különféle szempontok szerint (lásd részletesen a 2. fejezet bevezetőjében).
Bankválság esetén a bankok felfüggesztik a hazai kötelezettségeik teljesítését és megállapodást próbálnak kötni a kormánnyal arról, hogy a működési kockázat növekedése vagy csődhelyzet bekövetkezése miatt jelentős segítséget nyújtson számukra. A zavar következtében megrendül a bizalom, ezért tőkemeneküléssel, kettős valutarendszer kialakulásával, költségvetési hiány növekedésével és eladósodással is járhat. A kormányok képesek a bankválságokat kezelni normális körülmények között (Losoncz 2014).
A lassan kibontakozó (slow motion currency crisis) valutaválság esetén a túlzott bérkiáramlás miatt fellépő reálfelértékelődés és a költségvetés túlköltekezése rontja az ország nemzetközi versenyképességét, a folyó fizetési mérleg hiány megemelkedik, ami a nemzeti valuta leértékel(őd)ését okozza. Az új típusú valutaválság a befektetők a gazdaság teljesítőképességre vonatkozó bizalomvesztése miatt alakul ki, ami az árfolyamon keresztül is megmutatkozik (Losoncz 2014).
Ha egy ország nem tud eleget tenni nemzetközi fizetési kötelezettségeinek, akkor fizetésimérleg-válság lehet a hátterében, melynek oka a nettó tőkebeáramlás hirtelen megtorpanása (sokk vagy fundamentális egyensúlyhiány miatt). Az IMF a fizetésimérleg-válság esetén kölcsönnyújtással segít a fizetőképes országoknak. A fizetésimérleg- és a valutaválság együtt jár a rögzített árfolyamrendszert használó országokban, de egyéb esetben nem feltétlenül (Losoncz 2014).
Ha egy ország fizetésképtelenné válik, vagy ha csak a hitelező szerint jelentős ennek a kockázata és emiatt megtagadja a hitelek folyósítását, akkor adósságválságról beszélünk. A likviditási típusú adósságválság esetén az adott ország alapvetően képes finanszírozni adósságát, csak a források rendelkezésre állásában vannak fennakadások. A fizetési adósságválság esetén a fizetőképesség nem áll fent, ezért az adósságok átütemezésére van szükség. Az IMF az ilyen típusú válságok esetén is igyekszik segítséget nyújtani, de a hitelnyújtást különféle feltételekhez köti (korrekciós intézkedések, egyensúlyjavító programok, adósokkal megállapodás) (Losoncz 2014).
A szuverén vagy államadósság-válság esetén az államok fizetőképessége kérdőjeleződik meg, mely esemény mögött számos egymás hatását erősítő folyamat állhat. A gazdaságban fellépő recesszió következtében az államháztartás bevételei csökkennek és a kiadási növekednek (bankkonszolidáció, diszkrecionális kiadások). Így növekszik a GDP-arányos államháztartási hiány és az államadósság. Az arány növekedésének a recesszió miatti GDP csökkenés is oka lehet. Az adósságszerkezet is befolyásolhatja a válság kialakulást, hiszen, ha a külföldi megtakarítók finanszírozzák azt, akkor a nemzetközi tőkeáramlások visszaesésével kiválthatják az adósságválságot (ahogy ez Magyarország esetében történt). Egy ilyen típusú válság kezelése esetén a magángazdasági szereplők megmentése érdekében az adósságot a társadalom egészére terhelik (Losoncz 2014).
Magáról a szuverén adósságrendezésről már Keynes is írt a versailles-i békerendszerrel kapcsolatos művében. Technikai megvalósítását a Világbank és az IMF végezte el 1970-ig. Ezután a nagy nemzetközi bankok is bekapcsolódtak a folyamatba. Az olajtermelő országok megtakarításait az olajimportőr (fejlődő) országok irányába csatornázták, amelyből a folyó fizetési mérlegük deficitjét finanszírozni tudták. Az ebből adódó adósságállományok és kockázatok vezettek az 1980-81-es szuverén válsághoz. A kezelési módok nem voltak eléggé sikeresek (Baker-terv, Brady-terv), csak a szuverén finanszírozás piacának megteremtését, komplexé és átláthatatlanabbá válását segítették elő, melynek következményei a 1994-95-ös tequilaválság, a 1998-as ázsiai és orosz válság és a 2002-es argentin válság (Bethlendi 2017).
Az Európai Unió legsúlyosabb recesszióját okozta a 2008-as pénzügyi és gazdasági válság, az azt követő 2010-es szuverén adósságválság és a velük járó társadalmi és bizalmi válság (3. ábra). Alapvetően a szuverén válságot a monetáris integráció miatt fennálló aszimmetrikus sokkok eredményezték, de felszínre hozták az eurózóna hiányosságait, valamint a csatlakozás politikai döntéseinek negatív makrogazdasági következményeit (Ferkelt 2015).
Forrás: Pilhál (2018) alapján saját szerkesztés
Elsőként Magyarország és Lettország fordult segítségért a trojkához16 a pénzügyi rendszerük stabilitásának megőrzése érdekében, előbbi összesen 20 milliárd eurós, míg utóbbi 7,5 milliárd eurós pénzügyi segítséget kapott (2008. október-december). A kereslet, a beruházások és a reformok előmozdítása érdekében a tagállamok megállapodtak az „European Economic Recovery Plan” bevezetéséről és a hitelminősítő intézetek felügyeletének fejlesztéséről. 2009-ben Románia számára 5+15 milliárd eurós segítséget szavazott meg az EU, IMF, Világbank, EIB és az EBRD (EC 2017c).
A válságkezelésük során a világ jegybankjai jelentős szerepet vállaltak, a bankrendszer likviditásának megőrzése érdekében a kamatláb csökkentésébe fogtak, majd a nulla szinthez közelítve közvetlenül a hitelpiacon avatkoztak be eszközvásárlással, közvetlen hitelnyújtással, az állampapír-vásárlásaikat a hozamok mérséklése vezérelte. Ezeket az ún. nemkonvecionális eszközöket alkalmazták az EU-ban és Magyarországon is (Fábián – Mátrai 2012). 2009 végén három új európai hatóság létrehozásáról határoztak a tagállamok pénzügyminiszterei: Európai Bankhatóság, Európai Biztosítás- és Foglalkoztatói Nyugdíj-felügyeleti Hatóság és Európai Értékpapír-piaci Felügyeleti Hatóság17. Az EKB fedezettkövény-vásárlási programokat indított, elsődleges és másodlagos piaconokon közvetlen vásárlásokat valósított meg.
Az intézményi változások lassan haladtak, ezért az eurózóna integrációs problémái (politikai döntések, kamatlábak, túlzott bizalom), a perifériaországok gazdasági visszaesése és az aszimmetrikus sokkhatások egy szuverén adósságválsághoz vezettek. Ez a helyzet gyorsabb beavatkozásra ösztönözte az EU-t (Ferkelt 2015). A görög kormány 2010 áprilisában kért pénzügyi segítséget a GMU tagállamoktól és az IMF-től, amit májusban 110 milliárd eurós hitelcsomag keretében meg is kapott. Még ugyanebben a hónapban a pénzügyi stabilitás megőrzése érdekében az Európai Pénzügyi Stabilitási Mechanizmus18 (ESM) és az Európai Pénzügyi Stabilitási Eszköz (EFSF) bevezetéséről döntöttek a pénzügyminiszterek.
A EKB Kormányzótanácsa értékpapírpiaci program (SMP) segítségével biztosította a piacok mélységét és likviditását (Losoncz 2014).
Novemberben Írország19 kormánya folyamodott pénzügyi segítségért a trojkához, decemberben megállapodás született a hitelprogramról. Ebben a hónapban kezdte meg működését az Európai Rendszerkockázati Testület (ERKT), 2011 januárjában elkezdődik az első európai szemeszter. Májusban a portugál kormány az EFSM és EFSF keretében 26 milliárd eurós hitel folyósítására szorul, az EU Tanács összesen 52 milliárd eurós segélyprogramot szavazott meg az ország pénzügyi helyzetének javítása érdekében, ehhez csatlakozott az IMF a további 26 milliárd euró folyósításával. Júliusban Görögország újabb pénzügyi csomagra szorul (109 milliárd euró) (Losoncz 2014). Ekkoriban 24 tagállam ellen folyt túlzott deficit eljárás (EC 2017c).
2012 közepén Spanyolország20 és Ciprus is pénzügyi segítségre szorult (100 milliárd és 10 milliárd euró értékben kaptak segítséget) és ugyanebben az időszakban elfogadásra került az ún. bankunió, amely közös bankfelügyelet, betétbiztosítási és szanálási rendszer létrehozását tartalmazza. A gazdasági növekedés és foglalkoztatás elősegítése érdekében 1200 milliárd euró beruházási forrást tartalmazó Növekedési és Munkahely-teremtési Paktum került elfogadásra, ez a fiskális paktum 2013. januárjában lépett hatályba (Losoncz 2014). 2014-re az euróövezet államadóssága elérte a GDP 92 százalékát. A Junker-féle Invesment Plan for Europe is elindult a beruházások élénkítése érdekében (EC 2017c).
2015-ben Görögország újabb segítséget kapott, 86 milliárd eurót, az ESM keretében. Ez EKB megkezdte a minőségi lazítási programját, a fiatalok foglalkoztatására 1 milliárd eurót különített el, és további 35 milliárdot a görög munkahely-teremtési programra (EC 2017c). 2015 szeptemberétől megkezdte működését az egységes felügyeleti mechanizmus, amely a 150 legnagyobb bankot rendeli az EKB közvetlen felügyelete alá (Losoncz 2014).
2016-ban a meglévő szabályok erősítésére fókuszálhatott az EU és végre minden országban megindult a gazdasági növekedés. 2017-re a munkanélküliségi ráta is lecsökkent a 2009-es szintre és az eurózóna adóssága a GDP 89,2 százalékára mérséklődött, már csak 3 ország volt a túlzott deficit eljárás alatt. Új átláthatósági szabályokat vezettek be a bankokra és pénzügyi közvetítőkre vonatkozóan (EC 2017c).
Az adósságválság is rávilágított a transzparens és fenntartható gazdaságpolitika szükségességére, amihez elengedhetetlen a fiskális fenntarthatóság melletti elköteleződés.
A fenntarthatóság és a fenntartható fejlődés igen nehezen definiálható fogalmak, mert nagyon széles körben lehet értelmezni őket. 1983-ban az ENSZ Környezeti és Fejlődési Világbizottsága zárójelentésében így definiálja (Szlávik 2005, 24. o.): a „fenntartható fejlődés olyan fejlődés, amely biztosítani tudja a jelen szükségleteinek kielégítését, anélkül, hogy veszélyeztetné a jövő generációk lehetőségét saját szükségleteik kielégítésére”. A hazai Nemzeti Fenntartható Fejlődési Tanács kissé bővebben fogalmaz (NFFT 2013, 25.o.).: "A fenntartható fejlődés az ember boldog és értelmes életvitelének előmozdítását és a közjó kiteljesítését célozza úgy, hogy az emberi tevékenységek a Föld környezeti eltartó-képessége szabta határokon belül maradnak, és a gyarapítható, fejleszthető emberi, társadalmi és gazdasági erőforrások terén gondoskodunk ezek megfelelő mennyiségi és minőségi állapotának fenntartásáról, bővítéséről, illetve javításáról.”.
A fiskális fenntarthatóságot is többféle nézőpont szerint definiálja a szakirodalom, a mérések lefolytatásához elengedhetetlen a fogalmi háttér bemutatása. A definiálási különbségekből adódóan – nem meglepő módon – a mérésére kifejlesztett módszerek is igen változatosak.
1.3.1 A definíció fejlődése
A fiskális fenntarthatóság a fiskális transzparencia nélkül értelmezhetetlen lenne, ugyanis utóbbi fogalom az állam pénzügyeinek a legszélesebb értelemben vett átláthatóságát, ideértve a fiskális politika célkitűzéseinek áttekinthetőségét, működési mechanizmusainak egyértelmű szabályozását, a szolgáltatott információk megbízhatóságát és megfelelő időben való közlését jelenti.
A transzparenciához szükség van megfelelő minőségű, módszertanú, a fiskális döntéshozók számára egyértelmű információkra. A jogi szabályozás az államháztartás terjedelmének, valamint a költségvetés tervezési, végrehajtási és ellenőrzési rendjének meghatározásával képes a megvalósítható célkitűzések, a számszerűsíthető kockázatok és a terv-tény eltérések okainak feltárására. Ha a fiskális politika korlátozottan átlátható, akkor információs aszimmetria alakulhat ki, mellyel a kormányzat előnyre tehet szert a gazdasági szereplőkkel szemben. Az átláthatósághoz a statisztika szolgáltathat alapot a megfelelő közgazdasági jelzőszámok kiszámításával (P. Kiss 2003).
Hamilton és Flavin (1986) az elsők között definiálták a fiskális fenntarthatóságot, szerintük a költségvetés akkor nevezhető fenntarthatónak, ha a kormányzati költségvetés jelenértéke egyensúlyban van. Blanchard és szerzőtársai (1990) szerint a fenntartható fiskális politika egy olyan politikaként definiálható, amelyben a GNP arányos államadósság végeredményben a kezdeti értékéhez konvergál, míg a ráta ideiglenes felduzzadása fenntarthatatlan politikát jelez. Az évek során mindenki igyekezett a fenti definíciókon javítani, módosítani.
A nemzetközi szervezetek a költségvetés fenntarthatóságán általában azt értik, hogy az aktuális költségvetési politika finanszírozható és nem vezet túlzott eladósodáshoz (Hegedűs 2010).
Az Európai Bizottság szerint a fiskális politika fenntarthatósága úgy értelmezhető folyamatosan, nemcsak a jelenben, hanem a jövőben is, hogy a jelenlegi politikát változtatás nélkül folytatva, az állami kiadásokat és adórendszert működtetve az adósság növekedése nem haladja meg a GDP adott részét (azaz a GDP-arányos államadósság nem növekszik). A Stabilitási és Növekedési Egyezmény alapján az euróövezetben a fiskális fenntarthatóság küszöbértéke a GDP-arányos államadósság 60 százaléka (EC 2006). Mivel a V4 országok az EU tagjai, ezért én ezt a definíciót és mutatót értem fiskális fenntarthatóság alatt.
Egy gazdasági egység felelősségi pozíciója fenntartható, ha eleget tesz a jelenérték költségvetési korlátnak21, anélkül, hogy jelentősebb kiigazítás történne a bevételek és kiadások egyenlegében a piaci finanszírozási költségek miatt (IMF 2002). A fiskális fenntarthatóság arra a kérdésre keresi a választ, hogy vajon a kormányzat képes-e folytatni a költségvetési politikát a szolvencia veszélyeztetése nélkül (Croce – Juan-Ramón 2003). Ábel és Kóbor (2011) szerint a gazdaságpolitika akkor fenntartható, ha azt az idők végezetéig változatlan formában lehet alkalmazni és ilyen esetben a GDP-arányos államadósság stabil marad. Visszajutottunk így Buiter (1985) és Blanchard (1990) gondolataihoz, hogy a fiskális politika akkor fenntartható, ha az államadósság aránya hosszú távon stabil.
A fiskális fenntarthatóság növeli az intergenerációs tudatosságot, javítja a formális és informális intézményi minőséget, kedvezőbb fiskális mozgásteret és gazdasági növekedést biztosít. A fiskális fenntarthatatlanság a konszolidációk, strukturális reformok, fiskális kiigazítások költségeire is hatást gyakorol (Kovács 2015).
Az államadósság és a költségvetési egyenleg alakulására vonatkozó EU-s szabályokat elsőként az Európai Unió működéséről szóló Szerződés 140. cikkelye tartalmazza (általánosságban maastrichti kritériumokként hivatkoznak rájuk). A Szerződés 140. cikk (1) bekezdése „az állam pénzügyi helyzetének fenntarthatóságát” írja elő, ezt „olyan költségvetési egyenleg elérése mutatja, amely nem rendelkezik a 126. cikk (6) bekezdése értelmében vett túlzott hiánnyal”. A Szerződés 140. cikk (1) bekezdésében említett, a konvergencia kritériumokról szóló (13. sz.) jegyzőkönyv 2. cikke szerint ez a kritérium azt jelenti, hogy a vizsgálat időpontjában a tagállam nem áll a Tanács által a túlzott hiány fennállásáról az említett Szerződés 126. cikk (6) bekezdésének értelmében hozott határozat hatálya alatt. A 126. cikk (2) és (3) bekezdéseinek értelmében az Európai Bizottság jelentést készít, amennyiben egy tagállam nem felel meg a költségvetési fegyelem követelményeinek, vagyis, ha a tervezett vagy tényleges költségvetési hiánynak a GDP-hez viszonyított aránya túllép egy meghatározott referenciaértéket (amelyet a túlzott hiány esetén követendő eljárásról szóló jegyzőkönyv a GDP 3 százalékában szab meg). Kivétel a szabály alól, ha ez az arány jelentős mértékben és folyamatosan csökkent, és elért egy, a referenciaértékhez közeli szintet, illetve, ha a referenciaérték túllépése csak kivételes és átmeneti, és az arány közel marad a referenciaértékhez. Ha az államadósságnak a GDP-hez viszonyított aránya túllép egy meghatározott referenciaértéket (amelyet a túlzott hiány esetén követendő eljárásról szóló jegyzőkönyv a GDP 60 százalékában szab meg), kivéve, ha az arány elegendő mértékben csökken, és kielégítő ütemben közelít a referenciaértékhez (ECB 2018). Ezek a szabályok felülvizsgálatra kerültek az évek során, számos ponton igyekeztek megerősíteni, kiegészíteni az európai jogalkotók. A maastrichti kritériumokkal részletesebben a következő alfejezetben foglalkozom.
Az államadósság kezelésével kapcsolatos stratégiákról végzett kutatásában Bessenyei (2012) a kritériumokkal kapcsolatosan megállapítja, hogy ha a kormányzat rehabilitációs adósságkezelési stratégiát folytat, akkor a kritériumok teljesülése sem garantálja az államadósság stabilizációját. Továbbá arra is kitért a vizsgálat, hogy az államadósság kezelési lehetőségeit szűkíti a kormányzat költségvetési korlátjának túlzott megkeményítése, a finanszírozási környezet romlása is hatást gyakorol az államadósság és az elsődleges deficit értékeire, az elsődleges deficit befolyásolására irányuló eseti beavatkozások sem szolgálják az államadósság stabilizációját, de az államadósság stabilizálása sikeres lehet, ha a kormányzat gazdasági szerepvállalását lassan csökkentő gazdaságpolitikát folytat.
A deficit változása meghatározza az államadósság és így a fiskális fenntarthatóság alakulását. A deficittel kapcsolatosan meg kell említeni a deficithajlam (deficit bias) jelenségét, ami azt jelenti, hogy a kormány a deficit és az államadósság szintjének emelkedését engedélyezi (eltűri) (IFAC 2012). A deficithajlam magyarázata lehet a motivációk és az akadályok hiánya. Előbbiek közé tartozik a közjavak közös jellegéből adódó túlzott felhasználás, a választók heterogenitása. Utóbbiakhoz a transzparens működés hiánya, az információs aszimmetria és a választók deficittoleranciája sorolható (Ódor – P. Kiss 2014).
A költségvetési fenntarthatóság három sajátosságára hívja fel a figyelmet Pápa és Valentinyi (2008). Egyrészt, hogy az elméletek nagyon gyenge feltételeket fogalmaznak meg a fiskális politikával szemben. Másrészt, a jelenlegi fenntarthatóságot végül a jövőbeli folyamatok fogják igazolni, így igaz Wyplosz (2007) azon megállapítása, hogy a költségvetési politika fenntarthatósága szigorú értelemben nem is értelmezhető. Harmadrészt a költségvetési politika mindig fenntartható, mert gyakorlatilag nem szakad meg, ha úgy tűnik, hogy nem fenntartható korrekció történik. A korrekciót az állam vagy a piac is elvégezheti, utóbbi jellemzően pénzügyi válságokat okoz. Ezen sajátosságok alapján megfogalmaztak egy gyakorlatban is használható fiskális fenntarthatósági definíciót, amely azt mondja, ha a jelenbeli költségvetési politika jövőbeli változatlan folytatása esetén az állam fizetőképes marad, akkor a költségvetési politika fenntartható. Ennek méréséhez a GDP-arányos elsődleges egyenleg szintjét alkalmazták.
1.3.2 Fiskális szabályok
A számszerű fikális szabályok, a független intézmények és a költségvetési folyamat fejlesztése elengedhetetlen feltételei a fiskális fenntarthatóság elérésének (Wyplosz 2012). A fiskális fenntarthatóság és átláthatóság biztosításával az adósságválságok elkerülhetők lehetnek. Szükség van olyan előrejelző rendszerek kialakítására, amelyben a szélesebb hatáskörű intézményi eszközök22 kerülnek alkalmazásra. Az intézményi háttér megerősítésének lehetőségét, módját nagymértékben befolyásolják a rendszer sajátosságai (például demokratikus hagyományok, parlamentáris rendszer típusa, a pártok ereje), a kormányzat kapcsolata a magánhitelezés kínálati oldalának legfőbb szereplőivel és a nemzetközi szervezetekkel (Török 2011).
Az Európai Unió tagállamainak meg kell felelniük a maastrichti kritériumoknak, amelyek speciális fiskális szabályoknak tekinthetők, az EU-n belül vizsgálom a fenntarthatóság érvényességét. Az EU és a tagállamok is folyamatosan fejlesztik fiskális szabályrendszerüket, így egy „alkalmazott tudományként” tekinthetünk erre a folyamatra, amely sokszor a politikai célok, motivációk által is vezérelt és nemcsak a közgazdasági elméletek dominálják. A politikai indíttatás bemutatásától eltekintek, igyekszem kizárólag a közgazdasági motívumokat megjeleníteni.
A fiskális szabály „a költségvetési politika alakításával szemben támasztott és folyamatosan alkalmazott korlát vagy kényszer, amely a fiskális teljesítmény valamely széles értelemben vett aggregátumára vonatkozóan lett meghatározva” (Benczes – Kutasi 2010, 123. o.) Egyszerűbben, a fiskális szabályok olyan állandó, számszerű előírások, melyek az államháztartás egy részére vagy egészére vonatkoznak (Baksay – P. Kiss 2009, P. Kiss 2012). A költségvetési szabályok elősegítik a makrogazdasági stabilitást, a kormány és intézkedéseinek hitelességét, a költségvetési politika hosszú távú fenntarthatóságát, a negatív externáliák minimalizálását (Kennedy – Robbins 2001). A fiskális szabályok a fiskális döntésekre ható tényezőkre terjednek ki, a külső tényezőkre nem (Ódor – P. Kiss 2011). Leggyakrabban négy kategóriába sorolják be őket: adósságszabály, egyenlegszabály, kiadási (oldali) szabály, és bevételi (oldali) szabály (Berta – Tóth 2017). Ezekről korábbi alfejezetben már említést tettem, ebben az alfejezetben részletesebben bemutatom őket, és a 2.5 alfejezetben értékelem a visegrádi országok költségvetési fiskális keretrendszerének szabályait.
A szabályrendszer működésének értékelését Kopits és Symansky (1998) kritériumrendszere alapján végezhetjük el. Nyolcféle kritériumot fogalmaz meg az egyes szabályokkal szemben megfelelőség, rugalmasság, megfogalmazás, átláthatóság, következetesség, egyszerűség, kikényszeríthetőség és hatékonyság. Ezek a kritériumok egymással szembe is kerülhetnek, ezért nincs egyetlen „jó recept” az alkalmazásukra, így fontos az országok sajátosságaihoz igazodó szabályokat alkalmazni (Kopits 2007).
A fiskális szabályok bevezetésével kapcsolatos tanulságokat fogalmazott meg Kopits (2007): szükséges az egész közszférára kiterjedő intézményi kör meghatározása (beleértve a költségvetésen kívüli kormányzati műveleteket, a decentralizált intézményeket, az állami tulajdonú vállalatokat, valamint a köz- és magánszféra együttműködésében megvalósított projektek megfelelő könyvelését), megfelelő előrejelzési rendszereket és fiskális változókat kell alkalmazni. Az eljárási szabályokat meg kell erősíteni, különös tekintettel a kötelező ellentételezés (PAYGO) elvét kell a költségvetési törvényben értelmezni és alkalmazni, a hároméves gördülő, indikatív költségvetési tervezést kell bevezetni. Az elsődleges kiadási szabály mellett szükséges a strukturális elsődleges többletszabály és az önkormányzati folyó egyensúly szabály alkalmazása is. A rendszer működésének ellenőrzéséhez egy független felügyeleti hatóságot kell felállítani. Ezen intézmények kiemelt fontossága miatt bővebben a 1.3.3 alfejezetben kitérek rájuk.
Az adósságszabály nominálisan vagy a GDP-hez mért, bruttó vagy nettó adósságállományt vagy annak változását határozza meg, viszonyítja egy küszöb értékhez. Előnye az egyszerűségében rejlik, jól kommunikálható és állományi mutatóként jól kapcsolódik a fenntarthatósághoz. Hátránya, hogy a küszöbértéket is nehéz meghatározni, de ha sikerül is, akkor is előfordulhat, hogy a küszöbtől jelentősen eltér az érték, és ilyenkor a szabály nem segíti a visszatérést az optimális értékhez (Hemming – Kell 2001, Berta – Tóth 2017). Továbbá önmagukban nem kellően rugalmasak, gyakran prociklikusan reagálnak a gazdasági ciklus változásaira, ezért gyakran alkalmaznak mentesítő záradékot, mely bizonyos körülmények között felfüggeszti az adósságszabály alkalmazását. Az adósságra olyan külső tényezők is hatnak mint például az infláció, az árfolyam (átértékelés) és a finanszírozás, ezért is alkalmaznak mentesítő záradékot, illetve védősávokat. Ahogy az adósság állománya átlépi a küszöb előtt meghatározott védősávokat, úgy fokozatosan szigorodnak az adósság emelkedését megelőző intézkedések, amelyekkel a szabály hatékonyságát igyekeznek erősíteni (Ódor – P. Kiss 2011).
Az összes bevétel és összes kiadás különbségét szabályozza az egyenleg szabály, jellemzően a GDP-hez viszonyítják a maximális értékét. Alkalmazásának előnye, hogy a hosszú távú fenntarthatóság szempontjából kevésbé fontos privatizációs bevételek, a devizaadósságot érintő, a kormány közvetlen hatáskörén részben kívül maradó átértékelődés nem befolyásolja és prociklikusságra való hajlama is kisebb, mint az adósságszabálynak (Berta – Tóth 2017). A nem várt események ellen tartalékok képzésével vagy mentesítő záradék beiktatásával lehet védekezni (Ódor – P. Kiss 2011). Hátránya, hogy érzékenyebb a kreatív könyvelésre (Von Hagen – Wolf 2004). Az egyenlegszabályok vonatkozhatnak az elsődleges egyenlegre, a strukturális hiányra vagy ciklikusan kiigazított egyenlegre is (Berta – Tóth 2017).
A kiadási (oldali) szabály az összes kiadás, az elsődleges kiadás vagy a folyókiadás abszolút vagy GDP-arányos értékét, esetenként növekedési ütemét határozza meg. Előnye, hogy nincs szükség ciklikus kiigazításra, így könnyen érthető, a legkevésbé prociklikus szabálytípus. A deficitre való hajlamot képes kezelni (Cordes et al. 2015), az újraelosztás szabályozásán keresztül ellenőrzés alatt tartja az állam méretét. Bár önmagában nem alkalmas a fenntarthatóság kikényszerítésére, de a döntéshozók figyelembe veszik a költségvetési korlátot (Benczes – Kutasi 2010). Jobban láthatóvá válik a fiskális politika felelőssége. Ha a kiadási ütem rögzítésének időtávja megegyezik a gazdasági ciklus átlagos hosszával, akkor a növekedés üteme egyenletes lesz, így automatikus stabilizátorként23 tud működni (Ódor – P. Kiss 2011). Hátránya lehet, hogy nem képes hatni közvetlenül sem az egyenlegre, sem az államadósságra és előfordulhat, hogy a kormányzatot a produktív kiadások mérséklésére ösztönzi (Berta – Tóth 2017).
A bevételi szabályok két típusa különíthető el, egyik a bevétel minimumának meghatározása, melynek egyenlegjavító hatása van. A másik a bevételi plafon megállapítása, melynek célja a túlzott adóztatás elkerülése (Schaechter et al. 2012), de ez akár ronthatja az államháztartás pozícióját. Ezek a szabályok sem képesek a fenntarthatóságot önmagukban biztosítani, de a prociklikus hajlamuk még inkább problémássá teszi alkalmazásukat (Berta – Tóth 2017).
A Kopits-Symansky kritériumok újragondolását javasolja Ódor (2014), aki a nyolc kritérium helyett 15 ajánlást fogalmaz meg az Európai Unió új fiskális keretrendszerének értékelésére. Az idézett szerzők munkái alapján a költségvetési szabályok előnyeit és hátrányai megadhatók (2. táblázat).
1.2. táblázat - 2. táblázat A fiskális szabályok előnyei és hátrányai
|
Adósság-szabály |
Egyenleg-szabály |
Kiadási szabály |
Bevételi szabály | |
|
Hozzájárul a fenntarthatósághoz |
+ |
+ |
– |
– |
|
Egyszerű |
+ |
+ |
+ |
+ |
|
Hatékony (önmagában) |
– |
– |
– |
– |
|
Rugalmas (ciklus-érzékeny) |
– |
+ |
+ |
– |
|
Mentesítő záradéka van |
+ |
+ |
+ |
– |
|
Kreatív könyvelést kezeli |
+ |
– |
– |
– |
Megjegyzés: a + jel az előnyt a – jel a hátrányt jelenti
Forrás: Ódor – P. Kiss (2011) és Berta – Tóth (2017) alapján saját szerkesztés
A fiskális szabályokat először az USA-ban vezették be a 19. század közepén, Európában az 1920-as években jelentek meg, de ezek még nem a központi költségvetésre vonatkoztak, hanem ettől alacsonyabb szintekre. A II. világháború után jelentek meg a központi költségvetésre vonatkozó fiskális szabályok a monetáris reformokhoz kapcsolódó stabilizációs programok sikerességének biztosítására pl. Németországban, Olaszországban, Japánban és Hollandiában. A szabályok elterjedésének hulláma a kilencvenes évek elejére-közepére tehető, jellemzője, hogy inkább törekedtek a transzparenciára, a kreatív könyvelés megakadályozására, a jelentésekre vonatkozó követelmények egységesítésére és a középtávú makro-költségvetési keretek kialakítására (Kopits 2001).
A fiskális szabályok megjelenésének fő okát a fenntarthatósági problémák és a miattuk szükséges költségvetési konszolidációban lehet megragadni. Nyugat-Európa esetében a kilencvenes évekig tartó jelentős eladósodási hullám, a volt szocialista országokban a rendszerváltozás utáni kiigazítási kényszer vezetett a költségvetési szabályok átalakításához. A szabályok mennyiségi bővülésének a 2007-2008-as válság adott újabb lökést. Mindezek eredőjeként 2015-re 114-re emelkedett a fiskális szabályok száma az EU28 országaiban (átlagosan 4 szabály országonként), míg 1990-ben még csak 14 volt (Berta – Tóth 2017).
Az Európai Unió tagállamaiban a fiskális szabályok számának növekedése a maastrichti kritériumok létéhez, kritikájához és fejlődéséhez is kapcsolható. Maga az Európai Unióról szóló Maastrichti Szerződés24 és az Alapító Szerződések az euróövezeten kívüli érdekelt országok és az euróövezeti tagállamok közötti gazdasági konvergencia biztosítása érdekében (EC 2017a) részletesen megfogalmazzák a konvergenciakritériumokat (3. táblázat).
1.3. táblázat - 3. táblázat A konvergenciakritériumok és fiskális szabályok kapcsolata
|
Kritérium rövid neve |
Kritérium tartalma |
Fiskális szabálynak tekinthető? |
|
Árstabilitás |
„az árstabilitás magas fokának elérése; ez olyan inflációs ráta esetén áll fenn, amely közel esik az árstabilitás tekintetében legjobb eredményt felmutató legfeljebb három tagállaméhoz” |
NEM |
|
Államháztartás |
„az állam pénzügyi helyzetének fenntarthatósága; ezt olyan költségvetési egyenleg elérése mutatja, amely nem rendelkezik a 126. cikk (6) bekezdése értelmében vett túlzott hiánnyal” „a tervezett vagy tényleges költségvetési hiánynak a bruttó hazai termékhez viszonyított aránya túllép-e egy meghatározott referenciaértéket, kivéve ha: az arány jelentős mértékben és folyamatosan csökkent, és elért egy, a referenciaértékhez közeli szintet; vagy a referenciaérték túllépése csak kivételes és átmeneti, és az arány közel marad a referenciaértékhez”* „az államadósságnak a bruttó hazai termékhez viszonyított aránya túllép-e egy meghatározott referenciaértéket kivéve, ha az arány elegendő mértékben csökken, és kielégítő ütemben közelít a referenciaértékhez”* |
IGEN |
|
Árfolyam-stabilitás |
„az Európai Monetáris Rendszer árfolyam-mechanizmusa által előírt normál ingadozási sávok betartása legalább két évig anélkül, hogy az euróval szemben leértékelésre kerülne sor” |
NEM |
|
Kamatlábak konvergenciája |
„az eltéréssel rendelkező tagállam által elért konvergencia és a tagállamnak az árfolyam-mechanizmusban való részvételének fenntarthatósága, ami a hosszú távú kamatszintben tükröződik” |
NEM |
Megjegyzés: *„A referenciaértékeket a Szerződésekhez csatolt, a túlzott hiány esetén követendő eljárásról szóló jegyzőkönyv határozza meg.” [Alapító Szerződések 126. cikk (2) bekezdés]
Forrás: Alapító Szerződések 126. cikk (2) bekezdés és 140. cikk (1) bekezdés alapján saját szerkesztés
A konvergenciakritériumok alapján megállapítható, hogy közülük az államháztartásra vonatkozó két feltétel tekinthető fiskális szabálynak, míg az árstabilitás, az árfolyamstabilitás és a kamatlábak konvergenciája a monetáris politika hatáskörébe tartozik (3. táblázat). Az uniós fiskális szabályok azonban nemcsak ebben a két kritériumban öltenek testet. A létezésük óta viták sorozata folyt és folyik a mai napig is a betartásukról, hatékonyságukról és reformálási lehetőségeikről (többek között lásd Von Hagen 1992, Pasinetti 1998, Falkner 2002, Wyplosz 2005, Balassone és szerzőtársai 2011, Smith és Weeks 2017).
Az egyes szabályok követése kompromisszumokra kényszeríti a kormányzatokat, általában kettő vagy több szabályt igyekeznek követni. Ha a fenntarthatóság és a gazdasági stabilizáció a cél, akkor például érdemes az adósság és kiadási szabály összehangolása és a kormányzat méretének szabályozása a rövid és középtávú operatív döntések meghozatala során (Schaechter et al. 2012).
Mindezen elgondolások közül a fiskális keretrendszer kialakításával kapcsolatos főbb uniós rendelkezésekre fókuszálok a következőkben (2. melléklet). Az első jelentős beavatkozás a konvergenciakritériumok, így a fiskális szabályok erősítése érdekében a Stabilitási és Növekedési Egyezmény (röviden: SNE) volt, melyben már a középtávú tervezés dimenziója is belekerült a szabályrendszerbe. Bár az SNE részletesen kifejtette a túlzottdeficit-eljárás menetrendjét és büntetési tételeit, mégis a diplomácia és politika befolyása nagy volt az eljárás megindítására, így például nem indult Németország és Franciaország ellen eljárás, ami a szabály gyengülését okozta. Az SNE a formai követelmények meghatározására koncentrált25 és nem a hatékony megvalósításra, amellyel a gazdasági körülmények változására reagálni tudtak volna a tagországok, így reformokra szorult. A 2005-ben hatályba lépett SNE módosítások inkább a szabályok rugalmasabbá tételére mintsem az átláthatóságra vagy kikényszeríthetőségre helyezték a hangsúlyt, ezért a szabályok hatékonyságának javulása26 erősen megkérdőjelezhető volt (Benczes – Kutasi 2010).
A közös fiskális szabályozásnak a következő nagy lendületet a 2008-as pénzügyi válság adta, mert a kormányoknak rá kellett döbbenniük, hogy a meglévő szabályozás nem elegendő a deficit és az államadósság növekedésének megfékezéséhez. Az Európai Szemeszter, a Hatos Csomag, a Kettes Csomag és a Költségvetési Paktum együttesen egy olyan integrált rendszert kínál a tagországok számára, amelyben a szabályok egyértelműbbek, segítségükkel a nemzeti szakpolitikák hatékonyabban koordinálhatók év közben és a folyamatos felügyeletnek köszönhetően a szabályok megsértése esetén a szankciók hamarabb életbe léptethetők. Mindezzel a gazdasági és monetáris unió egészének működése stabilabbá válik és a tagállamok a költségvetési és reformtörekvéseiket könnyebben tudják megvalósítani (Benczes 2016).
Az Európai Szemeszternek az a célja, hogy a tagállamok a saját költségvetési eljárásuk korai szakaszában és a gazdaságpolitika egyéb területein figyelembe vehessék az uniós szinten elfogadott politikákat, ennek érdekében az SNE és az Európa 2020 stratégiai rendelkezéseivel összhangban, előzetesen koordinálják költségvetési és gazdaságpolitikájukat. Így a két gazdasági kormányzási eszköz ötvöződik a szemeszter révén. Jelentőssége abban rejlik, hogy a tagállamok szuverenitásának megsértése nélkül, de a lehető legnagyobb mértékben terjeszti ki az európai uniós intézmények jogosítványait, hiszen minden gazdaságpolitikával foglalkozó uniós intézmény részt vesz benne a tagállamok kormányain és parlamentjein kívül (Losoncz 2014).
A Költségvetési Paktum kormányközi szerződés formájában a korábbiaknál szigorúbb fiskális szabályt léptetett életbe, amit magas szintű nemzeti jogforrásba kell ültetni és ha nem teljesül, akkor az Európai Bíróság bevonható a rendezésbe (a GDP 0,1 százalékig kötelező érvényű büntetést róhat ki a tagállamra). A kormányközi egyezmény megerősíti az Európai Bizottság és az Európai Bíróság szerepét és szűkíti a diszkrecionális fiskális politika mozgásterét, melyek a jövőben kétséges döntési helyzetekhez és politikai csatározásokhoz vezethetnek (Benczes 2016). A 2011-2013-ban megalkotott rendeleteket, irányelveket és kormányközi szerződéseket az egységes szabályozás érdekében beépítették a Stabilitási és Növekedési Paktumba 2015-ben27, így az új szerződés elősegítette a beruházásösztönzés és a strukturális reformok rugalmasságát, úgy, hogy a gazdasági ciklusokat is figyelembe vette (Andele et al. 2015).
A szabályok számán kívül minőségbeli változás is tapasztalható az európai országok fiskális politikájában, aminek mérésére az Európai Bizottság létrehozta az úgynevezett fiskális szabályok indexét (Fiscal Rules Index) és a fiskális szabály erősségének indexét (Fiscal Rule Strength Index, röviden: FRSI). Utóbbi mutató számításakor Deroose és szerzőtársai (2006) alapján a következő kritériumokat28 veszik figyelembe: jogalap, kötelező jelleg, megfelelést ellenőrző szervezetek, korrekciós mechanizmusok és sokkokkal szembeni ellenállóság. Az egyes szabályokhoz minden kritérium szerint egy értéket rendelnek, ezeket az értékeket összesítik, minden kritérium azonos súlyt kap. A kapott eredményt 0 és 1 skálára standardizálják, így minden szabálynak lesz egy indexértéke. Majd ezt követően összegzésre kerülnek egy adott országra és adott időszakra vonatkozóan. A fiskális szabályok indexét úgy kapják meg, hogy az előbb számított fiskális szabály erősségének indexét megszorozzák az államháztartás adott szabállyal való lefedettségével, ezeket az értékeket összegezik. Ha ugyanaz a szabály több államháztartási szintre is vonatkozik, akkor a szabály a magasabb fiskális szabályok erősségének indexéhez tartozó súly egy, míg a második és harmadik szabály 1/2 és 1/3 súlyt kap. Tehát a hozzárendelt súlyokat a fiskális szabály ereje és lefedettsége adja. Ezeket a súlyokat úgy alkalmazzák, hogy tükrözze az államháztartás ugyanazon szintjeire vonatkozó többszörös szabályok csökkenő határhasznát (Európai Bizottság 2017).
A fiskális szabályok betartását ökonometriai módszerekkel vizsgálva Nerlich és Reuter (2013), Cordes és szerzőtársai (2015) megállapították, hogy a kiadási és adósságszabályokat sikerült leginkább betartani, míg az egyenlegszabályok betartási aránya ezektől jóval elmarad. A szabályrendszer hatékonyságával kapcsolatosan folytatott vizsgálatot Debrun és szerzőtársai (2008), a huszonöt EU tagállamra, 1990–2005 időszakra lefolytatott vizsgálatában statisztikailag szignifikáns, robosztus, oksági kapcsolatot mutattak ki az általuk alkotott fiskális szabály indexe és a ciklikusan kiigazított elsődleges egyenleg között. Az államadósságra vonatkozóan megvalósult a hosszú távú szolvencia elégséges feltétele. Hasonló eredményekre jutott Ayuso-i-Casals és szerzőtársai (2009), Afonso és Hauptmeier (2009) és Heinemann és szerzőtársai (2016) is, azaz a költségvetési fegyelem erősíthető fiskális szabályokkal, és képesek növelni a kiigazítás eredményességét és tartósságát is.
A kiadási szabályoknak a kiadások mértékére gyakorolt hatásait vizsgálva Wierts (2012) megállapítja, hogy nem lehet megkülönböztetni a kezdeti elsődleges kiadási szabályok ceteris paribus hatását és a kiadási szabályok kiadásokra gyakorolt hatását egymástól, mivel a változók korrelálnak egymással. Így csak annyi állapítható meg, hogy maguknak a kiadási szabályoknak az alkalmazása egyfajta politikai hajlandóságot tükröz a magas GDP-arányos kiadások kezelésére és ezen elköteleződésen keresztül képesek a kiadási szabályok a kiadásokat megregulázni és a kiadásokat érő sokkok hatását enyhíteni.
Vass (2006) Belgium, Dánia, Magyarország, Németország és Svédország néhány makrogazdasági mutatója idősorának empirikus megfigyeléséből (GDP növekedési üteme, a deficit és az államadósság GDP-hez viszonyított aránya) megállapítja, hogy a fiskális szabályrendszer megléte nem elég a fenntarthatóan kiegyensúlyozott államháztartás megvalósításához, mivel politikai akarat és intézményrendszer is szükséges. Ugyanakkor azt is kiemeli, hogy a szabályrendszer képes a fiskális politika keretrendszerét korlátok közé szorítani, de az állami újraelosztás mértékére nem tud hatást gyakorolni, így a szabályok ellenére a gazdaságpolitika képes saját preferenciarendszerének kialakítására.
A költségvetési szabályok és a költségvetési fegyelem közötti kapcsolatot vizsgálva Tóth (2017) megállapította, hogy konjunktúra időszakában a nemzeti szabályok erősítik a költségvetési fegyelmet és a szabályok eredményessége szempontjából az erős jogi háttér, a megfelelően rögzített célrendszer, a riasztási mechanizmus, az ellenőrző testület és a szabályok működéséről szóló nyilvános diskurzus is fontos.
1.3.3 Független fiskális intézmények
A fenntartható és átlátható fiskális politikához hosszú távú jogi, intézményi keretek és garanciák kialakítása szükséges (Balcerowicz 2010). Olyan intézményi reformokat kell megvalósítani, amelyek az állami kiadások, a költségvetési deficit és az államadósság növekedését előre meghatározott korlátok közé képesek szorítani (Kopits 2009). A létrehozott intézménynek a következő funkciókat kell betölteni (Kornai 2010):
Hatásvizsgálat: olyan politikai döntések vizsgálata, amelyek hosszú távon befolyásolják a költségvetést, például nyugdíjrendszerben bevezetett változtatások.
Konzisztenciavizsgálat: a kormányzat szerepének vizsgálata a fiskális politika előtérbe helyezésével, határozott fellépés a populista gazdaságpolitikai nézetekkel és gyakorlatokkal szemben.
Transzparencia: a fiskális döntések és következményeik melletti határozott kiállás és kommunikáció az átláthatóság megőrzése érdekében.
Az intézményi „horgony” szerepét a „kemény” intézmények tölthetik be, mert politikai befolyástól mentesen, a politikai-törvényhozási ciklustól függetlenül képesek működni (Benczes – Kutasi 2010). Gazdaságtörténetileg megfigyelhető, hogy a költségvetési politika felett őrködő független intézmények létrehozását elsősorban az ellenzékben lévő politikai pártok támogatják. Mikor hatalomra kerülnek, a létrehozott intézmények függetlenségét csökkentik vagy akár fel is számolják az intézményeket, mert saját pozíciójukat fenyegetve érzik (Calmfors et al. 2010). Egyszerűbb szabályozók is betölthetik az intézményi horgony szerepét, például reáladósság-szabály (real debt rule) vagy a költségvetési kiadások jogi korlátozásának szabálya (spending limit rule). Ezek a szabályozók a független intézmények mellett is segítik a fiskális átláthatóságot (Török 2011).
A kormánytól független, pártsemleges, jól informált költségvetési intézmények a költségvetési átláthatóság leghatékonyabb eszközei, melyek a végrehajtói hatalom információs előnyén alapuló visszaéléseket is megakadályozhatják (Romhányi 2007). Ezek gyűjtőneve a nemzetközi gyakorlatban „független fiskális intézmény” (Independent Fiscal Institution, röviden: IFI), mely intézményeket többféleképpen csoportosíthatjuk. Jankovics (2012) szerint az elvi kiindulópontból való elhatárolás alapján léteznek fiskális hatóságok és tanácsadói, valamint ellenőrzési jogkörrel rendelkező, közhatalmi jogosítványokkal nem bíró költségvetési tanácsok.
Benczes és Kutasi (2010) kétféle intézménytípust nevez meg; szerintük a költségvetési fegyelem elősegítői „költségvetési hivatal” vagy „költségvetési tanács” formában is működhetnek. Utóbbi a – Németországban és hazánkban jelenleg is működő – néhány taggal rendelkező „bölcsek tanácsa”, melynek feladata a makrogazdasági összefüggések, költségvetési kockázatok vizsgálata, és ezekről a parlament tájékoztatása. A „hivatal” megnevezés egy szervezett intézményre utal, ahol a szakértők a költségvetési törvény megalkotási folyamatának egészében végigkövetik és véleményezik a makrogazdasági körülményeket és a törvényt magát. Ilyen intézmény például az USA-ban működő Congressional Budget Office (röviden: CBO) (Benczes – Kutasi 2010).
Az IMF (2013) szerint a költségvetési tanács egy törvényes vagy végrehajtói megbízatással felruházott állandó hivatal, a kormány fiskális politikai befolyásolásától független, tervezi és teljesíti a célok megvalósulását a hosszú távú államháztartási finanszírozás fenntarthatósággal, illetve a rövid és középtávú makrogazdasági stabilitással és egyéb makrogazdasági célokkal kapcsolatosan. Ezen túlmenően, a költségvetési tanács egy vagy több feladatot is elláthat a következők közül: hozzájárulhat az elfogulatlan makrogazdasági és költségvetési előrejelzések használatához a költségvetés tervezésében (előrejelzéseket készíthet, vagy észszerű szintet javasolhat a kulcsparaméterekre), megállapíthat fiskális politikai lehetőségeket és ajánlásokat fogalmazhat meg, megkönnyítheti a fiskális politikai szabályok elfogadását és támogathatja az új politikai ösztönzőket.
A költségvetési tanácsok feladatkörük jellege alapján normatív vagy pozitív elemzéseket készítő szereplők lehetnek, mely további alcsoportokra bontható a törvényi feladatkör kiterjedtsége szerint (Jankovics). Az intézmény szervezeti elrendezése szerint tartozhatnak törvényhozó hatalomhoz vagy kormányzathoz, vagy teljesen önálló jogállásúak is lehetnek, általában köztes megoldások is megvalósulnak.
Az első költségvetési tanácsot 1945-ben alapították Hollandiában, Bureau for Economic Policy Analysis (CPB) néven. Egészen 1975-ig, az USA CBO hivatalának létrehozásáig ez volt az egyetlen aktívan működő költségvetési intézmény a világon. Az 1945 és 1975 közötti időszakban csak Dánia, Németország és Belgium hozott létre hasonló költségvetési tanácsot. A költségvetési tanácsok száma ugrásszerűen megnövekedett 2005 után, főként Európában (4. ábra).
Forrás: IMF (2013), 11. o.
Mivel létrehozásukra és működtetésükre nincs kidolgozott „legjobb” módszer, így az EU tagállamaiban működő költségvetési tanácsok az országspecifikus intézményi kultúrába épültek be, és igyekeztek alkalmazkodni hozzá. Többségében tanácsadó jellegű, közvetlen felelősséggel nem járó, elemző, előrejelző feladatokkal látják el őket, amelyet véleményezési jogosultság egészíthet ki. Transzparenciájukat a számvevőszékhez vagy parlamenthez történő kapcsolásuk erősítheti (Kovács 2016a).
Az Európai Unióban a költségvetés betartásán őrködő független fiskális intézményekről Kovács (2016a) készített összefoglaló táblázatokat, ahol a fiskális politikai szabály, hatáskör, a létrehozás alapja, a közjogi besorolás és az IFI által alkalmazható szankciók szerint osztályozta az intézményeket. Az egyes országok költségvetési tanácsának működési és feladatrendszerének részletes bemutatásától a terjedelmi korlátok miatt jelenleg el kell tekintenem, összefoglaló táblázat található a 5. és 6. mellékletben. Alapvetően megkülönböztethetjük őket döntési jogkörök szerint. A költségvetés makrogazdasági kérdésében független testületként működő, tanácsadó szerepe van az osztrák és szlovák költségvetési tanácsnak. A költségvetés egyensúlyi kérdésében közjogi felhatalmazással rendelkezik a magyar költségvetési tanács. A holland költségvetési tanácsnak hivatalos makrogazdasági előrejelző szerepe is van. A költségvetési tanácsok rendelkezhetnek saját költségvetéssel, ahogy Ausztriában; és kapcsolódhatnak valamely másik szervezet infrastruktúrájához, például Franciaországban a számvevőszékhez, Szlovákiában a nemzeti bankhoz, Magyarországon az Országgyűlés Hivatalához, az USA-ban működő Conressional Budgetroy Office a törvényhozáshoz.
A költségvetési tanácsok létezésével és működésével kapcsolatban is felmerültek félelmek és problémák az egyes országok és szervezetek részéről. Felmerülhet a függetlenség biztosításának kérdésessége, az, hogy a tanács mennyire képes a kormány által biztosított forrásoktól független álláspont kialakítására, és ezt az ellenzék mennyire érzi kormánytól függetlennek. A tanács tagjainak politikai vagy egyéb meggyőződése is hatással lehet a tanács egész működésére, de az egyes tagok érdekérvényesítő képessége is befolyásolhatja a döntéseket. Ha egy költségvetési tanács a kormánynak és nem a parlamentnek tartozik beszámolási kötelezettséggel, akkor előfordulhat, hogy a költségvetési törvény tárgyalása során kevésbé száll vitába a kormánnyal. A kormányzat ösztönözve érzi magát egy felügyeleti szervként (watchdog) is működő költségvetési tanács létrehozására, annak érdekében, hogy jelezze elköteleződését a költségvetési fegyelem iránt. Ugyanakkor, ha egy felügyeleti szerv kifogásolja a kormány politikáját, az erős ösztönzést adhat arra, hogy korlátozza a tanács tevékenységét, végső esetben feloszlassa azt (Calmfors 2012).
A kezdeti fiskális teljesítményre vonatkozó vizsgálatokban még nem konkrétan a független fiskális intézmények, hanem a fiskális szabályok hatását vizsgálták. 2013-ig nem volt olyan tanulmány, ami a költségvetési tanácsok hatékonyságának mérésével foglalkozott volna. Ennek oka az, hogy a költségvetési tanácsok 2005 után kezdtek nagyobb számban elterjedni, az ezt megelőző időszakokban kevés vizsgálati alany állt rendelkezésre, el kellett telni néhány évnek ahhoz, hogy az idősorok összehasonlíthatók legyenek.
Debrun és Kinda (2014) továbbfejlesztette Debrun és szerzőtársai (2008) alapegyenletét, kibővítve az a költségvetési tanácsok létével. A legkisebb négyzetes dummy változók dinamikus panelbecsléses (Least Square Dummy Variable, röviden: LSDVC) módszerét alkalmazták, eredményül pedig azt kapták, hogy a fiskális szabályok megléte erősebb fiskális teljesítményhez vezet. A költségvetési tanácsok puszta létezése nincs hatással a fiskális teljesítményre. A hatékony költségvetési tanácsok képesek hatni a költségvetési teljesítményre, pontosabb és kevésbé elfogult előrejelzések készítésével. A hatékonyság ebben az esetben a politikától való függetlenséget, a költségvetési előrejelzések készítését és támogatását, a nyilvános vitákon való megjelenést és a fiskális szabályok explicit felügyelő szerepét jelenti. A költségvetési tanácsok, elősegítve a fiskális átláthatóságot és a nyilvános produktív költségvetési vitákat, ösztönzik a nagyobb költségvetési fegyelmet (Debrun – Kinda 2014).
A költségvetési tanácsoknak az előrejelzések minőségére gyakorolt hatását három kulcsváltozó segítségével vizsgálják: ezek az elsődleges egyenleg, a ciklikusan kiigazított elsődleges egyenleg és a reál GDP-növekedés. A jól működő költségvetési tanácsok hozzájárulnak az elfogulatlan vagy enyhén konzervatív elsődleges egyenleg előrejelzésekhez a saját országukra vonatkozóan, míg más országokra általában túlzott optimista becsléseik vannak. Érdekes, hogy a reál GDP-növekedésre vonatkozó előrejelzések túlzottan optimisták, bár torzításuk kisebb a független költségvetési intézmények esetében. Ez arra utalhat, hogy az alapvető makrogazdasági előrejelzések manipulációja több alternatív forrásból származó előrejelzés összehasonlításával kiszűrhető. A költségvetés gazdasági aktivitásra gyakorolt hatását bonyolultabb módszertanok alkalmazásával vizsgálva nagyobb a lehetőség a manipulációra (Debrun – Kinda 2014).
A további vizsgálatok kimutatták, hogy a költségvetési tanácsok javítják a fiskális politika lakossági megérthetőségét, és arra ösztönzik a választópolgárokat és a döntéshozókat, hogy kompetens kormányt válasszanak. Valamint a kormányok kompetensségétől függetlenül képesek hozzájárulni a deficit csökkentéséhez (Beetsma – Debrun 2016). A hitelező szervezetek és az eladósodott országok kormánya közötti információs aszimmetriát is képesek csökkenteni (Debrun 2011).
Az IMF (2013) kutatási eredményei is azt mutatják, hogy a költségvetési tanácsok puszta jelenléte nem elegendő az államadósság-menedzsment hatékonyabb működéséhez, a konkrét hatáskör és funkció nagymértékben befolyásolja a hatékonysághoz való hozzájárulásukat. Az ellenőrző jogkör a fiskális szabályok felett, a mérési hatékonyság értékelése, az előrejelzések készítése vagy értékelése, a törvényileg meghatározott függetlenség, a gyakori jelentéskészítés és -elemzés a médiában és az adekvát szakértői munkacsoport megléte hozzájárul a költségvetési tanács erejének növekedéséhez. A költségvetési tanács költségvetésének védelme nem mutatott statisztikailag szignifikáns kapcsolatot a költségvetési tanács hatékonyságával. Továbbá kiemeli a tanulmány, hogy a központi kormányzat teljesítményét két irányból is javíthatja a költségvetési tanács. Egyrészt a jelentések és elemzések a költségvetési tervezés folyamatán, másrészt, indirekt módon, a választási ciklus következményeivel vagy az érdekcsoportok befolyásolásával kapcsolatos politikai döntések korlátozásán keresztül. Utóbbit úgy tudják megvalósítani, hogy a költségvetési tanács értékeli az egyes intézkedések költségeit és az erről szóló jelentéseket közzéteszi, így a szavazók tájékozottabbá válhatnak a kormányzati döntések hatásairól.
Az Európai Unió tagországaiban működő független fiskális intézményeket értékeli és rangsorolja Horváth (2017), az OECD két felmérésére és Beetsma és szerzőtársai (2015) tanulmányára alapozva kialakított osztályozási rendszer segítségével. A 25 ország közül első helyen Hollandia áll, őt követi Észtország, Portugália, Szlovénia és az Egyesült Királyság. Szlovákia a hatodik, Magyarország a nyolcadik helyet foglalja el a rangsorban. Csehország és Lengyelország nem szerepelt a felmérésben, mert nem rendelkeztek független fiskális intézménnyel.
Az Európai Költségvetési Tanács a jelenlegi gazdasági kormányzás kereteinek megerősítése céljából jött létre (5. ábra). A fontosabb feladatai az uniós költségvetési keret végrehajtásának értékelése, javaslattétel a jövőbeli uniós költségvetési keret kialakítására, a jövőbeli költségvetési irányvonal és az SNP szabályainak megfelelő nemzeti költségvetési irányvonalak értékelése, együttműködés a nemzeti tanácsokkal és eseti tanácsadás a Bizottság elnökének.
Forrás: MoFoCZ (2017), 31. o. alapján saját szerkesztés
Összegezve a hatékonysági vizsgálatok eredményeit, kimutatták, hogy önmagukban a költségvetési tanácsok nincsenek hatással a költségvetési teljesítményre. Abban az esetben, ha politikailag függetlenek, megfelelő előrejelzést képesek adni, felügyeleti szervként tudnak működni, akkor hatékonynak tekinthető működésük, ezáltal képesek hatást gyakorolni a fiskális teljesítményre. A költségvetési tanácsok és költségvetési szabályok között kölcsönhatás áll fent. Azokban az országokban, ahol működnek költségvetési tanácsok, ott a fiskális szabályok is hatékonyabbak, és ahol erősebbek a költségvetési szabályok, ott a tanácsok is jobban működnek. Tehát a költségvetési tanácsok hozzájárulnak az előrejelzési rendszerek javulásához, a kormány működésének átláthatóságához. A középtávú költségvetési célok eléréséhez a költségvetési tanácsokon túl a kormányzat tartós politikai elköteleződésére is szükség van.
Ebben a fejezetben a fiskális fenntarthatósághoz szorosan kapcsolódó elméleti hátteret tekintettük át. A gazdaságpolitika, a fiskális politika, a költségvetés és államháztartás egyenlegeinek definiálásával még inkább érthetővé válik, hogy milyen fogalmi környezetben mozgunk, ha a fiskális fenntarthatóságot szeretnénk vizsgálni. Kitértem a globális pénzügyi és az európai adósságválságra, amely még inkább felhívta a figyelmet az államadósság kezelésének fontosságára. Ezen alapok után következett a fiskális fenntarthatóság értelmezése, és a megvalósítását segítő fiskális szabályok és a független fiskális intézmények bemutatása.
A fejezet összegzéseként megállapítható, hogy a fiskális politikának úgy kell biztosítania a hosszú távú fenntarthatóságot, hogy közben ne váljon prociklikussá. Mindezt valamiféle számszerű fiskális szabályok megalkotásával lehet elősegíteni. Az Európai Unió tagországaiban az elmúlt két évtizedben egyre nagyobb számú fiskális szabályt léptettek életbe, egyre összetettebbé téve a rendszert, megjelentek a független fiskális intézmények is. Egyetértek Ódor és P. Kiss (2016) azon megállapításával, hogy az egységes szabályok nem minden ország számára megfelelőek, a decentralizált szabályrendszer hatékonyabbá tehetné a hiány elleni küzdelmet. A felelőtlen fiskális politika elleni küzdelem az országspecifikus szabályok, aktív ellenőrzést folytató független fiskális intézmények és erősebb mutatók révén eredményesen valósulhat meg. Így az uniós és nemzeti költségvetések közötti ellentétes folyamatok is finomhangolhatók lennének.
Az elméleti áttekintés után a vizsgálat alanyait, a visegrádi országokat mutatom be, a fiskális politika és azon belül is az államadósság alakulására fókuszálok az országok rendszerváltozásától kezdve napjainkig.
Tartalom
Az empirikus vizsgálat alanyainak megismerése nélkül nem tudnánk megfelelő értékelni fiskális politikájukat. A visegrádi országok államadósságának és államháztartási hiányának alakulása és az ehhez kapcsolódó gazdaságpolitika bemutatása kulcsfontosságú az adatok mögött kirajzolódó ok-okozati összefüggések, tendenciák megértéséhez. A teljes gazdaságpolitikát nem lehetne egy fejezetbe sűríteni, így időben a rendszerváltozástól napjainkig terjedő időszakot választottam és a terjedelem visszafogása értekében főként a költségvetési kiigazításokhoz és válsághoz kapcsolódó intézkedések kerülnek kiemelésre, csak az államadósságra és deficitre ható főbb folyamatokat és következményeiket emelem ki. Az objektív kép és összevethetőség érdekében az országok Európai Uniónak benyújtott különféle jelentéseit29 és az ezekre épülő szakirodalmat használtam. Mivel a fiskális fenntarthatósághoz a fiskális keretrendszer ismerete kifejezetten fontos, ezért egy külön alfejezet foglalkozik a jelenlegi helyzettel.
Visegrádi országoknak nevezzük a 1991-ben egyezséget kötött, négy kelet-közép európai ország csoportját, melyet Csehország, Lengyelország, Magyarország és Szlovákia alkot. Ezen országok közös jellemzője, hogy 1990-ig szocialista gazdaságpolitikát folytattak, melyet a Szovjetunió dominált. A rendszerváltozásuk után egy hosszú átalakulási folyamat következett, liberalizációs, stabilizációs, privatizációs folyamatok zajlottak le egyidejűleg, a kapitalizmus intézményrendszerének egy sajátos formáját alakították ki30.
A négy ország, korábbi történelmi kapcsolataikra, hagyományaikra, és közös kulturális, szellemi és vallási gyökereikre építve célul tűzte ki (Visegrádi Együttműködés Nyilatkozata 1991):
az állami függetlenség, a demokrácia és a szabadság teljes egészében való helyreállítását;
a totális rendszer társadalmi, gazdasági és szellemi megjelenési formáinak felszámolását;
a parlamenti demokrácia, a korszerű jogállamiság kiépítése, az emberi jogok és alapvető szabadságjogok tiszteletben tartását;
a korszerű piacgazdaság megteremtését;
Európa politikai, gazdasági, biztonsági és jogalkotási rendszerébe való teljes körű bekapcsolódást.
Mindezen célkitűzéseket a jövőbeli Európai Uniós csatlakozás elősegítése érdekében tették, de a csatlakozás megtörténte után is szoros együttműködés jött létre az országok között.
A visegrádi országok kis nyitott gazdaságok, ezért számos hasonlóságot figyelhetünk meg. A fejlett országokhoz képest a külföldi működőtőke-beáramlástól való függőség nagyobb, jelentősebb a fizetésimérleg-hiány, alacsonyabb az adópotenciál az adóelkerülés miatt, és az állóeszközök alacsony szintje, a munkaerő-piaci problémák és az alulfinanszírozás nagyobb állami kiadási feszültségekhez vezet. További közös jellemzőjük, hogy a fiskális politika „húzd meg, ereszd meg” politikájának köszönhető a GDP ingadozása, valamint a látszólag alacsony államadósság és magasabb növekedési potenciál (Ódor – P. Kiss 2011). Ezek a hasonlóságok és az esetleges különbségek felrajzolása a célja a fejezetnek, így a következőkben a négy visegrádi ország gazdaságpolitikáját tekintem át az 1990-es évektől napjainkig, előkészítve ezzel az empirikus vizsgálatokban használt idősorok elemzési hátterét.
A rendszerváltásig leginkább centralizált gazdasági szervezetei Magyarországnak voltak, az ipari nagyvállalatok aránya a termelésben és a foglalkoztatásban is jelentős volt. Csehszlovákiában inkább a közép- és kisüzemek képviseltek nagyobb hányadot, ami a könnyebb átalakulást is elősegítette. Mindegyik országban megfigyelhető a teljes foglalkoztatottságra való törekvés miatti túlfoglalkoztatás, ami rossz munkaerő- és munkaidő-felhasználással járt együtt. A nyolcvanas évek második felében mind a négy országra a gazdasági visszaesés, recesszió volt jellemző. A gazdasági növekedés visszaesett, a külkereskedelmi forgalom csökkent, negatívba fordult. A kivitelük 80 százaléka a volt KGST-országokba történt (KSH 1996). A szocialista államokban a gazdaság többsége állami tulajdonban31 volt, a fiskális és a monetáris politika sem különült el egymástól, a jegybank pénzteremtéssel finanszírozta a költségvetési hiányt. Az árak központi szabályozása révén a korlátlan pénzkibocsátás nem vezetett inflációhoz, de krónikus hiányok alakultak ki (Gém – Palócz 2006). Az 1990 májusában aláírt Európai Újjáépítési és Fejlesztési Bank (röviden: EBRD) alapító okiratában a kelet-európai szocialista országok és a Szovjetunió elkötelezte magát a magántulajdonon alapuló piacgazdaság megteremtésére (Mihályi 2010).
Az átalakulás a nehézipar és a kereskedelem vállalatainak feldarabolásával, megszűnésével járt együtt. A mezőgazdaságot tekintve, Lengyelországban az önálló kisgazdaságok voltak a rendszerváltozás előtt is, amelyek nem kötődtek a termelőszövetkezetekhez úgy, mint Magyarországon32, így az átmenet sem érintette annyira súlyosan őket. Csehszlovákia esetében az állami felépítés szerkezete is változott, önálló Csehország és Szlovákia jött létre. Közvetlenül a rendszerváltozás után, 1990-ben a GDP visszaesése Lengyelországban 12 százalékos volt, az infláció három számjegyűvé vált. Magyarországon 29 százalékos, Csehszlovákiában 11 százalékos inflációval kellett szembenézni. A munkanélküliség ekkoriban még nem volt számottevő, a munkapiaci reformok még nem kezdődtek el (KSH 1996).
A téma szempontjából kiemelten fontos az államadósság és szerkezetének alakulása (4. táblázat). Megállapítható, hogy Magyarország helyzete a legrosszabb, és a cseh adatok a legkedvezőbbek.
2.1. táblázat - 4. táblázat A visegrádi országok államadóssága a GDP százalékában (1990-1994)
|
Ország |
Irány |
1990 |
1991 |
1992 |
1993 |
1994 |
|
Csehország |
belföldi |
2 |
2 |
2 |
1 |
0 |
|
külföldi |
20 |
30 |
24 |
27 |
25 | |
|
összes |
22 |
32 |
26 |
28 |
25 | |
|
Lengyelország |
belföldi |
0 |
5 |
6 |
9 |
8 |
|
külföldi |
79 |
70 |
61 |
53 |
45 | |
|
összes |
79 |
75 |
67 |
62 |
53 | |
|
Magyarország |
belföldi |
4 |
6 |
12 |
24 |
31 |
|
külföldi |
65 |
73 |
60 |
64 |
75 | |
|
összes |
69 |
79 |
82 |
88 |
106 |
Megjegyzés: A ma rendelkezésünkre álló adatoktól való eltérés a korábbi módszertan alkalmazása miatt lehetséges. Szlovákiáról nem közölt adatokat a forrás.
Forrás: KSH (1996), 56. o.
A piacgazdaságra való áttérésre különböző stratégiákat választottak az országok, Lengyelország a sokkterápiát alkalmazta induláskor, míg Csehország a lassabb átmenet mellett döntött. A legjelentősebb változást a tulajdonosi struktúrában okozott az átalakulás. A privatizációs folyamatok33 eredményeként 1994 végén Magyarországon a magánszektor aránya 70 százalék volt, Csehországban 62 százalék Szlovákiában 58 százalék míg Lengyelország jelentősen elmaradt ezen értéktől, bár a magánszektor fogalma eltér országonként (főként a vegyes tulajdonú vállalatok megítélése különbözik).
A privatizáció mindegyik országban a kisvállalatok számának jelentős növekedését okozta, melyek közül számos ment csődbe vagy került felszámolás alá a kilencvenes évek elején, de amelyek fennmaradtak, azok képesek voltak növelni a gazdasági teljesítményt, termelékenységet és hatékonyságot. Az időszakra jellemző volt, hogy a gazdasági növekedés is megugrott (habár az országokon belül jelentős regionális különbségek alakultak ki). A piacgazdaságra való áttérés érdekében ketté választották a központi bank és a kereskedelmi bankok tevékenységét, liberalizált szabályozást vezettek be és a külföldi magánberuházások is növekedtek, a pénzügyi szolgáltatás decentralizációja megtörtént. Ugyanakkor a bankrendszer alulfejlett volt, a központi bank felügyelő és irányító tevékenységében hiányosságok mutatkoztak és nem működött hatékonyan a kis- és középvállalatok hitelezése sem (KSH 1996, Mihályi 2010).
A kilencvenes évek közepére a magántulajdoni rendszer megalapozta a piacgazdaság működését a posztszocialista gazdaságokban, de duális jellegűvé vált.
A duális szerkezet azt jelenti, hogy a gazdaságban egyszerre vannak jelen a magas hatékonyságú külföldi tulajdonban lévő nagyvállalati részlegek és a többnyire hazai tulajdonú kis- és közepes vállalatok, amelyek jellemzője a gyenge hatékonyság és magas foglalkoztatási szerep (Kovács 2010). A rendszerváltó országok költségvetésének közös jellemzőjévé vált 2007-re, hogy mindenhol több éves költségvetési tervezés (2 vagy 3 év) volt, mindegyik ország alkalmazott valamiféle fiskális szabályt, a Számvevőszék függetlenségét rögzítették és kiterjedt belső, pénzügyminisztériumi hatáskörbe tartozó ellenőrző apparátussal rendelkeztek (Báger – Vígvári 2007).
Az országok számos válságot értek meg a rendszerváltásuk óta (5. táblázat), azt láthatjuk, hogy főként rendszerszintű és importált, azaz külső sokkhatásból származó válsággal kellett szembenézniük az átalakulásuk és a 2008-as pénzügyi válság idején. Az átmeneti sokkok jellemzően jelentős eszközár-korrekcióval együtt járó makroprudenciális szempontból releváns események voltak a pénzügyi válság idején.
2.2. táblázat - 5. táblázat A visegrádi országok válságepizódjai (1980-2010)
|
Ország |
Rendszerszintű vagy átmeneti |
Esemény kezdete |
Válság-kezelés vége |
Visszatérés a „normál állapothoz” |
Hazai vagy importált válság |
Válság típusa |
|
Cseh- ország |
Rendszerszintű |
1997.05 |
2000.06 |
1999.01 |
Importált |
Valuta, bank, tranzíciós, makroprudenciális szempontból releváns |
|
Átmeneti |
2007.08 |
2010.08 |
nincs adat |
Hazai |
Eszközár korrekció, makroprudenciális szempontból releváns | |
|
Magyarország |
Rendszerszintű |
1991.01 |
1995.12 |
1996.12 |
Hazai |
Valuta, bank, tranzíciós |
|
Rendszerszintű |
2008.09 |
2010.08 |
2010.08 |
Importált |
Valuta, bank, szignifikáns eszközár korrekció, makroprudenciális szempontból releváns | |
|
Lengyelország |
Rendszerszintű |
1981.03 |
1994.10 |
1994.10 |
Importált |
Valuta, szuverén, tranzíciós, makroprudenciális szempontból releváns |
|
Rendszerszintű |
1992.01 |
1994.12 |
1996.12 |
Importált |
Bank, tranzíciós, makroprudenciális szempontból releváns | |
|
Átmeneti |
2007.11 |
2009.11 |
nincs adat |
nincs adat |
Eszközár korrekció, makroprudenciális szempontból releváns | |
|
Szlovákia |
Rendszerszintű |
1997.12 |
2002.04 |
2002.04 |
Importált |
Bank, tranzíciós, makroprudenciális szempontból releváns |
|
Átmeneti |
2009.01 |
2010.09 |
2010.09 |
Mindkettő |
Bank, eszközár korrekció, makroprudenciális szempontból releváns |
Forrás: ECB (2017) alapján saját szerkesztés
A kilencvenes években még nem foglalkoztak a kelet-közép európai országok kapitalizmus intézményrendszerének sajátosságaival, erre vonatkozó vizsgálatokra csak a kétezres évek közepétől került sor34. A tanulmányokban egymásnak ellentmondó eredmények láttak napvilágot. Farkas (2017) a 2008-as válság küszöbén és azt követően is elemezte az országok intézményi sajátosságait. A termékpiacok, a kutatás-fejlesztés és innováció, a pénzügyi rendszer, a munkaerőpiac, a szociális védelem és az oktatás dimenziói mentén vizsgálta az Európai Unió tagállamait (köztük a V4-eket).
Farkas (2017) szerint a klaszterelemzés segítségével történő vizsgálatban a V4 országoknak nagyon hasonló tulajdonságaik vannak a K+F, a pénzügyi rendszer és a munkaerőpiac tekintetében, különbségek a termékpiacok, szociális védelem és oktatás területén vannak. A kutatás-fejlesztés és innovációk klaszter azonos volt, mindegyik országban alacsony a K+F ráfordítás (különösen az üzleti szektor aránya), átlag alatti az export és a foglalkoztatás a csúcstechnológiában és alacsony a szabadalmak aránya a lakossághoz viszonyítva. A pénzügyi rendszert tekintve a V4-re a következő általános jellemzők figyelhetők meg: fejletlen bankrendszer az átlaghoz képest szerény betét- és hitelállománnyal, kissé átlag feletti a bankkoncentráció, az intézményi befektetők, biztosítók vagyona lényegesen átlag alatti, fejletlen, kis forgalmú tőzsde. A munkapiacot vizsgálva megállapítható, hogy alacsony a határozott idejű vagy részmunkaidőben foglalkoztatottak aránya, alacsony az aktív és passzív munkapiaci eszközökre fordított közkiadások aránya, alacsony szakszervezti szervezettség mellett gyenge kollektív béralkuk, a foglalkoztatás merevsége és a munka járulékos költségei kissé átlag felettiek, a foglalkoztatás átlag alatti.
A szociális védelem tekintetében Lengyelország és Magyarország tartozik egy klaszterbe, illetve Csehország és Szlovákia egy másik klaszterbe (ezen dimenzión mentén történő értékelést részletesen kifejtettem az 1.1 alfejezetben). A termékpiacok tekintetében Lengyelország került másik klaszterbe, a piaci liberalizáció alacsonyabb mértéke miatt. Az oktatási rendszert vizsgálva Csehország, Lengyelország és Szlovákia egy klaszterbe került, ebben a csoportban megfigyelhető a szocialista oktatási rendszer nyoma. Az alacsony végzettségűek aránya a legkisebb, a korai iskolaelhagyók száma is alacsony, valamint a legalább középfokú végzettségűek és a szakmunkásképzésben tanulók aránya a legnagyobb. Magyarország egy másik klaszterbe sorolódott, de az iskolázottsági szintek és a foglalkoztatottsági különbségek is nagyon hasonlóak a másik három országéhoz képest (Farkas 2017). Véleményem szerint a vizsgálati eredmények többsége alapján a V4 országok hasonló intézményi berendezkedéssel rendelkeznek, tehát érdemes lehet őket együtt vizsgálni.
Csehszlovákiában már a szétválás előtt elkezdődött a privatizáció, amely lehetőséget biztosított a piacgazdasághoz elengedhetetlen magántulajdon általánossá válásához. Az első körben a 18 év feletti állampolgárok részjegyeket kaptak, mellyel befektetéshez jutottak a korábbi állami vállalatokban (KSH 1996). Az ingyenes részvényjuttatásra azért is volt szükség, mert nem volt a magánszektornak, különösen a lakosságnak likviddé tehető magánvagyona vagy jelentős bankbetéte. A kiskereskedelmi szektor magánosítása restitúció35, azaz az államosított vagyon visszaadásával valósult meg (Mihályi 2010). A folyamat 1992 decemberében zárult, amelynek során 1492 vállalat könyv szerinti értéken számolva 52 százalékát privatizálták. A szétválást követően a második privatizációs körben a cseh kormány tőzsdén értékesítette a megmaradt állami tulajdonú vállalatokat, odafigyelve arra, hogy a külföldi tulajdonosok ne szerezhessék meg a vállalatok vagyonának, részvényeinek többségét (KSH 1996).
A piacgazdaság kialakításához az árak felszabadítására is szükség volt, a folyamat eredményeként magas inflációval kellett szembenéznie a cseh jegybanknak. 1995-ben és 1996-ban az éves infláció 8-10 százalék körül mozgott, az árváltozásokra a lassan növekvő szabályozott árak és az árfolyam stabilitás gyakorolt hatást (CNB 1998a).
1998 elején kezdte meg a jegybank az inflációs célkövető rendszer36 működtetését, amelynek három fő oka volt. Egyrészt, 1997 májusában a devizapiaci turbulencia és a menedzselt lebegtetési árfolyampolitika a nominális horgony elvesztéséhez vezetett. A rögzített árfolyampolitika segített stabilizálni az import árakat, ami pozitív hatást gyakorolt az árstabilitásra is. Másrészt, a dezinflációs folyamat elősegítése érdekében, a 10 százalék körül stabilizálódott infláció további csökkentése érdekében a várakozásokat is ki kellett mozdítani ebből a zónából. Harmadrészt, a jegybank igyekezett az EU inflációs értékéhez közelíteni a cseh infláció mértékét. Az inflációs célkövető rendszer bevezetésével, a transzparencia és középtávú előrejelzések révén az említett problémák orvosolhatóvá váltak (CNB 1998/a, CNB 1998/b, CNB 1999/a, CNB 1999/b).
Megjegyzés: Az államadósság a bal oldali tengelyen, a deficit a jobb oldali tengelyen van jelezve.
Forrás: Eurostat (2023) adatok alapján saját szerkesztés
A cseh gazdaság viszonylag alacsony GDP-arányos államadóssággal rendelkezett/rendelkezik37 (6. ábra). Ennek egyik oka, hogy a rendszerváltozás után nem örökölt nagy összegű felhalmozott államadósságot. Ugyanakkor nem volt szükség nagymértékű kiigazításokra sem a rendszerváltozás óta. Ha megfigyeljük az adatsort, látható, hogy a rendszerváltozástól az EU csatlakozásig közel megduplázódott az államadósság nagysága. A következő periódusban, 2004-2008-ig az államadósság stabil szintet mutatott, a válság hatására kezdett emelkedésbe, amit csak 2013-ban sikerült megállítani. A hiány adatokra tekintve a 2004-es és 2007-es kiigazítások emelhetők ki. A továbbiakban ezen kiemelt eseményekhez kapcsolódó folyamatokat, kiigazításokat, reformokat mutatom be.
Az 1995-től növekedő államadósság alakulásának hátterében egyrészt a konjunktúra másrészt a laza és prociklikus fiskális politika álltak. A befektetői várakozások és az államkötvénypiaci kínálat növekedése megemelte a kötvény hozamokat is (CNB 2000a, 2000b, 2001a). A prociklikus fiskális politika a kibocsátási rés alakulására negatívan hatott. Az államháztartás finanszírozásával kapcsolatosan kockázatot jelentett a stabilizációs funkció romlása, a régió finanszírozási problémáinak veszélye és a National Property Fund (NPF) egyenlegének problémája. Az NPF az alapokat a kereslet ösztönzésére, transzformációs veszteségek fedezésére és az államadósság visszafizetésére fordította, ami inflációs nyomást eredményezett a gazdaságban.
Az elégtelen adóbevételek miatt az újonnan létrehozott régiós bankoktól felvett hitellel vagy kötvénykibocsátással tudták finanszírozni magukat, ami a konszolidált bruttó államadósság növekedéséhez vezetett (CNB 2001b). A privatizációs bevételekkel és átalakuló intézményeknek nyújtott támogatásokkal kiigazított hiány magas, 5-7 százalék körüli értéket vett fel 2001-ben és 2002-ben (6. ábra) a továbbra is laza fiskális politika miatt. 2002-ben egyszeri tételként, a Cseh Konszolidációs Hivatal (Czech Consolidation Agency) megalakulása miatt a GDP 5 százalékával emelkedett az államadósság, így a 2002-es év végére 25 százalékon állt. A külső eladósodottság mértéke is 1995 óta folyamatosan emelkedett (CNB 2001b, 2001c, 2002).
2003-ban a beáramló FDI mértéke a korábbi évhez képest 74 százalékra csökkent38 (kb. 2583 millió dollár), a munkaerőpiacon strukturális problémák álltak fent39. A lisszaboni stratégiával összehangoltan a kormány a növekedés, versenyképesség, foglalkoztatás, közpénzügyi reformok és a fenntartható fejlődés biztosítása mellett kötelezte el magát. A fiskális reformok második szakaszába lépve olyan adópolitikát vezettek be, amellyel a beruházási aktivitást, a kutatás-fejlesztést és a munkaerőpiaci részvételt ösztönözték. A versenyképesség erősítése érdekében az áfa mértékét 22 százalékról 19 százalékra mérsékelték, míg a társasági adót 31 százalékról 28 százalékra csökkentették 2004-ben (MoFoCZ 2004).
Cél az euró bevezetése, ennek érdekében a kormányzatnak olyan fiskális politikát kellett alkalmaznia, hogy a központi költségvetés hiánya ne haladja meg a GDP 4 százalékát 2006-ban és a 3,5 százalékát 2007-ben, ennek eléréséhez évi 0,7 százalékponttal kell csökkenteni a hiányt 2004 és 2007 között. Az államadósság GDP-arányos mértéke 2003-ban 39,7 százalék volt, amelyből az állami garancia a GDP 10 százalékának megfelelő összeget tett ki. A központi költségvetés adóssága okozta a magas hiányt (az összes garanciákkal kiigazított adósságállomány 93 százaléka a központi költségvetéshez köthető) (MoFoCZ 2004). A kiigazításhoz leginkább a magasabb adóbevételek és az alacsonyabb kiadások, valamint az állami garanciák átsorolása járult hozzá, a kiigazításnak köszönhetően a hiány mértéke a GDP 3,0 százalékát tette ki 2004-ben (a várt érték 5,2 százalékos hiány volt). Az államadósság a GDP 36,8 százaléka volt az év végén (MoFoCZ 2005, Palócz 2010).
A 2004-es költségvetési kiigazítás és a hiány alacsony szinten tartása 2008-ig hozzájárult az államadósság szintjének stabilizálódásához is. A 2005-ös deficitre néhány rendkívüli tétel is hatást gyakorolt, vissza nem térítendő szíriai követelések, az orosz hadseregtől vásárolt katonai technológia és a Gripen repülőgép beszerzések nyilvántartásba vételének módosulása. Az adózás szerkezetének átalakítása miatt az adóbevételeket nehéz volt számszerűsíteni (MoFoCZ 2005). A deficit mértéke így is csökkent, amelyhez a gazdasági növekedés is hozzájárult. A GDP növekedése meghaladta az évi 5 százalékot, a nettó export ehhez 4 százalékponttal járult hozzá (MoFoCZ 2007). A hazai kereslet növekedéséből (főleg a beruházás élénküléséből) származó gazdasági növekedést 2006-ban lehetett érezni. A kedvező gazdasági környezet hozzájárult a vállalati nyereség növekedéséhez és az ebből származó adóbevételek mértéke a GDP 0,3 százalékát tették ki. Ugyanakkor a dohánytermékekre kivetett jövedéki adóból származó bevétel elmaradt a várttól. A gyermekes háztartások közös adózása miatt a személyi jövedelemadó bevételek szintén csökkentek. A szociális kiadások és központi költségvetési beruházások növekedése növelte a kiadásokat (MoFoCZ 2007). 2007-ben a központi költségvetés hiánya jelentős csökkenést mutatott. Ennek hátterében egyrészt az állt, hogy a cseh gazdaság elérte gazdasági ciklusa csúcspontját, így a további bevételek teljes egészében a hiány csökkentésére fordíthatók voltak. A korábbi években képzett tartalékokból származó, el nem költött tartalékokat nem kellett felhasználni. Továbbá az önkormányzatok egyenlege is GDP-arányosan 0,9 százalékkal javult (a bruttó állóeszköz felhalmozás költségeit csökkentette). Kiadási oldalon a szociális kiadások megnövekedése továbbra is jelentős maradt (MoFoCZ 2008). A 2007-es reformcsomagnak köszönhetően a szociális transzferek növekedési üteme csökkent és az állami beruházások növekedése fokozódott (MoFoCZ 2010).
A gazdasági válság miatti visszaesés következtében a GDP-arányos államadósság 2008 óta folyamatosan növekedett. 2009-ben a jövedéki adók kivételével a többi adóból és társadalombiztosítási hozzájárulásból származó bevétel csökkent, emiatt a CO2 kibocsátási kvóta eladásából származó bevétel számított jelentős tételnek (a GDP 0,3 százaléka). A deficit mértéke így elérte a GDP 5,9 százalékát, az államadósság a GDP 35,4 százalékával egyezett meg (MoFoCZ 2010). Megszorító intézkedéseket vezettek be a központi költségvetés szintjén is és a szociális juttatások növekedési üteme tovább csökkent. Az államadósság a korábbi évekhez képest viszonylag magas értékéhez (a GDP 38,5 százaléka) viszonyítva a kamatok kevésbé növekedtek, ami a cseh konszolidációs stratégia pozitív értékelésének köszönhető (MoFoCZ 2011).
2011-re az államadósság elérte a GDP 41,2 százalékát. A likvid pénzügyi eszközökkel (deviza, betétek és tőzsdén jegyzett értékpapírok) kiigazított bruttó adósság, azaz a nettó pénzügyi adósság (net financial debt) a teljes adósság
62 százalékát tette ki. 2011-ben az adóbevételek a GDP 0,5 százalékával elmaradtak a várt értéktől, a beruházások a GDP 0,7 százalékával, míg a belső fogyasztás a GDP 0,4 százalékával csökkent. Az államadósság átlagos lejárata 5,8 év volt, szerkezetét tekintve 9,2 százaléka külföldi devizában denominált (8,0 százalék euróban). A fotovoltaikus40 erőművekre kivetett különadó és az áfa fordított adózási mechanizmusának bevezetése pozitívan hatott a költségvetési bevételekre. A kiadási oldalon a központi költségvetés alkalmazottjainak bércsökkentésére került sor (kivéve a pedagógusokat és orvosokat, akiknek a bére emelkedett), a szociális juttatásokat is csökkentették és megtakarításokat különítettek el az általános költségekre, így a deficit a GDP 3,3 százalékát tette ki (MoFoCZ 2012).
2012-ben a deficit kissé megugrott, ami az egyszeri tőketranszfer-kiadások kiigazítása miatt (71 milliárd cseh korona) következett be. Az előző évhez képest közel 1 százalékkal növekedtek a bevételek, leginkább az adó- (az áfa) és járulékbevételek. A tőketranszfer-bevételek 26,1 százalékkal csökkentek az EU-tól származó beruházási támogatások csökkenése miatt. Egyszeri kiigazítás is történt, az egyházak és vallási közösségek pénzügyi kompenzációja 59 milliárd cseh koronába került. A kiadások 3,4 százalékkal emelkedtek, a kormányzati fogyasztás (ezen belül is a természetbeni juttatások az egészségügyi szektorban) 0,4 százalékkal bővült a megszorító politika ellenére. A kedvezőtlen gazdasági környezetben
(a konszolidációs ráta és a gazdasági növekedés lassulása miatt) az államadósság értéke a GDP 48,5 százalékáig kúszott (MoFoCZ 2013).
2013-tól ismét csökkenő pályára állt az államadósság és a költségvetés egyenlege is folyamatosan javult. A kiigazítások szerényebb mértékben folytatódtak, így a deficit a GDP 1,3 százalékát tette ki 2013-ban (MoFoCZ 2014b). Ez a bevételek növekedésének és a kiadások csökkenésének (ami a kiigazításból származott) is köszönhető volt. A szociális juttatások csak 1,5 százalékkal emelkedtek, melynek hátterében a 2013-ban meghozott korlátozó visszatérítési rendelet (reimbursement decree) állt. A hatások eredőjeként az államadósság GDP-arányos mértéke 46,0 százalékra csökkent (MoFoCZ 2014a). 2014-ben az államháztartási hiány az előző évhez képest kissé emelkedett. Ennek oka, hogy a Betétbiztosítási Alap (Deposit Insurance Fund41) 14,7 milliárd cseh koronát fizetett ki a csődbe jutott szövetkezeti takarékpénztárak ügyfeleinek. Ugyanakkor a jövedéki adók egyszeri elhatárolása (az ESA 2010 módszertanának megfelelően) is jelentős hatást gyakorolt az egyenlegre (26 milliárd korona). Továbbá jelentős bevételhez (8,5 milliárd korona) jutott a mobilszolgáltatóktól a kormány a frekvenciasávokra kötött licencszerződésekből. 2013-hoz hasonlóan a kiadások GDP-arányos értéke is növekedett (bár ennek hátterében a GDP stagnálása is áll) (MoFoCZ 2015).
2015 végére a deficit a GDP 0,6 százalékra csökkent, ami az előző évhez képest
1,3 százalékpontos javulást jelentett. A jó eredmény mögött 40 százalékban eseti intézkedések, míg 60 százalékban a gazdasági teljesítmény javulása állnak. A kormány 2014-es hatalomra lépése óta az EU-s források felhasználásán fáradozott. A 2007-2013-as programozási időszak forrásainak 50 százalékát használták fel ebben az évben, ami jelentősen hozzájárult a GDP növekedéséhez is. Az adó- és járulékbevételek összesen 100 milliárd koronával nőttek, ez a legnagyobb mértékű javulás 1995 óta. Ugyanez mondható el a kormányzati beruházásokról is, rekord mértékű 30 százalékos növekedést produkált az előző évhez képest. A megvalósított projektek legnagyobbika a JAS-39 Gripen szuperszonikus légi járművek lízingszerződése volt. A kiadási oldalon a kormányzat végső és közbenső fogyasztása is növekedett. A számos eseti intézkedés hatására az egészségügyi kiadások növekedtek. Ezen kívül a korábbi években kisebb mértékű indexálást is kompenzálták a nyugdíjasoknak. Az államadósság GDP-arányos értéke 40,3 százalék, megújításának költsége csökkent az alacsony deficit, a pénzügyieszköz-menedzsment hatékonysága, a hozamgörbe csökkenése, a CNB és az ECB hatásos monetáris enyhítése és a kormányzat fiskális politikájának hitelessége miatt (MoFoCZ 2016).
2016-ban többlettel zárt a kormányzati szektor, a GDP-arányos szufficit
0,7 százalék volt (MoFoCZ 2017a). A kormányzati szektor többlete 2017-ben tovább növekedett, elérte a GDP 1,6 százalékát. A bevételek 6,5 százalékkal növekedtek az adó- és járulékbevételek bővülésének köszönhetően. A foglalkoztatás- és átlagbér-növekedés a járulékbefizetésekre is jótékony hatást gyakorolt.
Az indirekt adókból származó bevétel 7,3 százalékkal nőtt, ami a 2016-ban bevezetett áfajelentés (Act No. 360/2014 Coll.) és az eladások elektronikus regisztrációjának (Act No. 112/2016 Coll.) eredménye. A kiadási oldalt tekintve, a kormányzati szektor fogyasztása, ezen belül a munkavállalói kompenzáció és az egészségügyi szektor szociális transzfer kiadásai emelkedtek. Az új nyugdíjindexálásnak köszönhetően a pénzbeli szociális juttatásokra fordított kiadások is nőttek (MoFoCZ 2018).
Csehországban 2018-ban a prosperáló gazdasági környezetben, pozitív strukturális egyenleggel (a GDP 0,4 százaléka) és csökkenő államadósság állománnyal rendelkezett (32,6 százaléka a GDP-nek), a teljes pénzügyi egyenleg és a kibocsátási rés is kedvező volt, a korábban alacsony beruházási aktivitás is erősödött (GDP 4,1 százalékára). Továbbá a nyugdíjrendszer átalakítása és az adóelkerülés érdekében tett intézkedések is megnövelték a költségvetés bevételeit. Így sem a strukturális deficit (GDP – 1,5 százaléka) szabályt, sem az államadósság-szabályt (55 és 60 százalékos küszöbértékek) nem sértették meg. A helyi önkormányzatok adóssága is alacsony (a GDP 5 százaléka, 2013 óta folyamatosan csökkent), így az sem jelent kockázatot az államadósság értékére (The Czech Fiscal Council, 2019). A 6254 településből 456-nél történt a fiskális szabályszegés, de csak három esetében kellett a Pénzügyminisztériumnak eljárást indítani42, mert adósságuk 2017. december 31-én meghaladta az elmúlt négy év átlag jövedelmének 60 százalékát és ezt nem csökkentették 2018-ban az eltérés legalább 5 százalékával, a többiek átlagosan 8,27 százalékkal mérsékelték (MoFoCZ, 2019).
A 2019-es évben a Cseh Költségvetési Tanács megállapította, hogy a COVID-19 okozta gazdasági sokk jelentősen befolyásolja a potenciális kibocsátás és strukturális deficit becslését és a kiadási szabály megítélését. A GDP növekedés azonban még kitartott a 2019-es évre is, a 2,3 százalékos reál növekedéssel, ami a háztartásoknak és a beruházásoknak volt betudható. Az expanzív fiskális politikának köszönhetően a költségvetési többlet a GDP 0,3 százalékra esett vissza, de még így is hozzájárult az államadósság csökkenéséhez. A strukturális hiány 1,1 százalékos értéke nem haladja meg a szabályban meghatározott 1,25 százalékos értéket (30,2 százaléka a GDP-nek) (The Czech Fiscal Council, 2020).
2020-ban már Csehország is elszenvedte a COVID-19 okozta gazdasági növekedés-visszaesést, a GDP 5,8 százalékkal csökkent az előző évhez képest. Ehhez a háztartások végső fogyasztása és a beruházások elmaradása járult hozzá leginkább, csak a kormányzati kiadások43 mérsékelték a visszaesést. A gazdaság a potenciális kibocsátás szintje alá esett, a költségvetési deficit 6,1 százalékra nőtt, a strukturális egyenleg 2,9 százalékos értéke átlépte a rá vonatkozó szabály határát. Az államadósság mértéke növekedett, 37,8 százaléka a GDP-nek. A romló értékeket a Költségvetési Tanács az átmeneti intézkedések hatásának tudta be, ezért ki is dolgozott egy tervet arra vonatkozóan, hogyan normalizálják az értékeket a következő években, ehhez kétszer módosították a törvényben meghatározott küszöbértékeket is. A helyi és regionális önkormányzatok és települések nem gyengítették a költségvetési pozíciót (The Czech Fiscal Council, 2021). A monetáris politika is igyekezett támogatni a gazdaságot, a CNB 2 százalékponttal csökkentette irányadó kamatlábát, az új törvény lehetővé tette a bankszektor likviditásának erősítését, az új jogszabályok a hiteltörlesztés elhalasztásával támogatták a gazdálkodó szervezeteket. Az egyszeri és átmeneti intézkedések összértéke elérte a GDP 2,3 százalékát (MoFoCZ, 2021).
2021-re a költségvetési hiány mértéke a GDP 5,9 százalékát tette ki, amit természetesen főleg a gazdaságélénkítő programok eredményeztek. Bár a költségvetés bevételi oldalán is volt növekedés, a „Adócsomag 2021”-nek44 köszönhetően ez mérsékeltebb volt mint a kiadási oldal növekménye. A pandémia és gazdasági visszaesés enyhítésére hozott intézkedések a GDP 1,7 százalékát tették ki. Mindezek következtében az államadósság növekedett, a GDP 41,9 százalékára (MoFoCZ, 2022).
A lengyel állami szektor válsága már 1975-től állandósult, a nagy adósságteher miatt nem volt képes ellátási feladatainak eleget tenni. A magánszektor egyre nagyobb teret nyert, az árnyékgazdaság a lakosság nyugati kapcsolatai és a legálisan nem elérhető konvertibilis valuták piacára épült. Az átalakulás folyamata 1988-ban megválasztott Rakowski-kormány nevéhez fűződik, amely 1988 ősz-telén elfogadta a gazdasági tevékenységek folytatásáról45, a külföldi közvetlen tőkebefektetésekről46 és a mezőgazdasági felvásárlás demonopolizálásáról47 szóló törvényeket. A bankrendszert is átalakították, a nemzeti bank helyébe 9 körzeti bank került, a magánbank-alapítást is engedélyezték, a pénzváltást magánvállalkozásoknak is engedélyezve legalizálták a valutapiac feketepiacát. A kormány bukásához a magas infláció és a „nómenklatúra-privatizálás”48 is hozzájárult (Mizsei 1991).
A privatizáció első hulláma Lengyelországban 600 nagyvállalatot érintett. Átalakították őket társaságokká és a vállalati tőke 60 százalékát nominálértékben osztották szét a felnőtt lakosság között, 10 százalékát a vállalatok munkavállalói kapták és az államkincstárnál maradt 30 százalék49. Az államkincstárnál maradt állomány célja az állami alkalmazottak és nyugdíjasok kompenzációja, valamint a társadalombiztosítás finanszírozása. Második hullámban 1994-től az állampolgárok részvételi jegyet vásárolhattak a tőzsdén, így megnyílt a külföldi tőke előtt is a lehetőség a privatizációban való részvételre (KSH 1996). Megfigyelhető volt ebben az időszakban az ún. likvidáció gyakorlata is a privatizációs folyamatban (ez kifejezetten lengyel sajátosság), amely azt jelentette, hogy egy külső befektetői csoport megvásárolt különféle eszközöket, amelyeket működtetni tudott (Mihályi 2010). A lengyel bankrendszer átalakítására 1993-ban került sor, kilenc állami bankot 1 millió dollár értékű 15 éves állami kötvénykibocsátással konszolidáltak (KSH 1996).
A GDP-arányos államadósság és a költségvetési egyenleg alakulását 1995-2001, 2001-2013 és 2014-től napjainkig terjedő időszakokra érdemes bontani (7. ábra). Az első időszakra az államadósság leépítése, a második időszakra a növekedés és a harmadik időszakra a mérsékelt csökkenés a jellemző. Ezzel párhuzamosan a hiány változatos mértéket öltött, jelentős kiigazítások 2004, 2007 és 2010-ben történtek. A továbbiakban ezen kiemelt eseményekhez kapcsolódó folyamatokat, kiigazításokat, reformokat mutatom be.
Megjegyzés: Az államadósság a bal oldali tengelyen, a deficit a jobb oldali tengelyen van jelezve.
Forrás: Eurostat (2023) adatok alapján saját szerkesztés
Az államháztartási hiány 1996-ban a GDP 3,4 százaléka, 1997-ben a 2,7 százaléka50 és 1998-ban a 2,4 százaléka volt. 1998-ban pozitív elsődleges egyenleget sikerült elérni, ami 4,7 milliárd zloty értéket jelentett, ez a növekedés az „önfinanszírozó” költségvetés felé való elmozdulást mutatott. Az orosz válság és a lengyel és tengerentúli kamatlábak közötti spread csökkenése miatt a porfólióbefektetők érdeklődése a lengyel állampapírpiac iránt csökkent a korábbi évekhez képest. A külföldi befektetők magas, de egyenlőtlen keresletet mutattak az állampapírpiacon, de mivel elsősorban az 5 éves fix kamatozású kötvényeket vásárolták ezért a gyors piaci kivonulás nem jelentett kockázatot. A privatizációs bevétel 7,1 milliárd zlotys értéket tett ki, ami főként a Telekomunikacja Polska SA és Bank Przemysowo-Handlowy SA privatizálásának köszönhető (NBP 1999).
Lengyelországban adósságra vonatkozó szabályt vezették be 1997-ben. Az alkotmányban rögzítették, hogy az adósság (nemzeti módszertan szerint számolva) nem haladhatja meg a GDP hatvan százalékát. Ezt a szabályt kiegészítették egy védősávokról szóló rendelkezéssel (az államháztartásról szóló törvény kereteiben), amely egy 50 százalékos és egy 55 százalékos védősávval támogatja a 60 százalékos küszöböt. A második védősáv átlépésekor szigorodtak a szabályok, a költségvetési törvénynek biztosítani kell, hogy a két évvel későbbi költségvetés nem lesz deficites. A költségvetési egységek kiadásai közül csak az EU által finanszírozott kiadások haladhatták meg a bevételeket. Az állami bérek és költségvetési kölcsönnyújtás befagyasztására, a nyugdíjak inflációs indexálására került sor (a 20 százalékos reálbérsúlyt nem veszik figyelembe). A kormány konszolidációs programjában a hosszú távú kiadási programokat és a külföldi hitelből megvalósuló projekteket is részletesen áttekintették. A 60 százalékos küszöb átlépése esetén az állami garanciavállalást is betiltják és a kormányzati egységek kiadásai nem haladhatják meg bevételeiket, a konszolidációs programban konkrét adósság csökkentő intézkedéseket fogalmaztak meg (Ódor – P. Kiss 2011).
A privatizációs bevételek a várt dupláját érték el 1999-ben, de a négy fő strukturális reform (társadalombiztosítás, egészségügy, oktatás és helyi önkormányzatok) miatt a kiadási oldal is nagyobb lett a vártnál, ami a gyenge gazdasági növekedéssel párosulva tovább súlyosbította az államháztartás egyensúlytalanságát. A deficit tekintetében az államháztartás finanszírozási elégtelenségeit a beáramló külföldi tőkéből enyhítették. A deficit az év végére mérséklődött, a GDP 3,4 százalékának felelt meg. A nettó államadósságot a helyi önkormányzatok és speciális célú pénzeszközök mozgása a korábbinál nagyobb mértékben befolyásolta. Az új társadalombiztosítási törvény alapján átszervezett Társadalombiztosítási Testület (ZUS) finanszírozási problémáinak enyhítésére a központi kormányzat a kiterjesztett hitelkeret rendelkezésre bocsátása mellett döntött. A társadalombiztosítási és egészségügyi rendszer reformja a GDP 1,2 százalékának megfelelő forrásigénnyel rendelkezett. A külföldi adósságszolgálat költsége 3,3 milliárd dollár volt, amiből 1,0 milliárd dollár a hitelek és hitelviszonyt megtestesítő értékpapírok kamatfizetése, a többi tőke visszafizetés volt (NBP 2000). A kevésbé restriktív fiskális politika a befektetések és gazdasági növekedés visszaesése mellett a monetáris politika szigorodását kényszerítette ki 2000-ben. A kiigazított államháztartási hiány a vártnál magasabban alakult, a GDP 2 százalékával egyezett meg (kiigazítás nélkül 3,0 százalék). A kiadások a vártnál nagyobb mértékben emelkedtek, melyhez a helyi önkormányzatok és a foglalkoztatási alap (Employment Fund) kiadásai járultak hozzá leginkább (NBP 2001).
2001-ben a központi költségvetés GDP-arányos hiánya rekord, 4,5 százalékos értéket vett fel, a kiigazított államháztartási hiány 4,8-ra emelkedett, a megcélzott 1,8-2,1 százalékhoz képest. A bevételek (adó, vám és privatizációs) elmaradása, a kiadások (különösen az adósságszolgálati és nyugdíjrendszert támogató) emelkedése és a kedvezőtlen makrogazdasági környezet (gazdasági növekedés visszaesése, növekvő munkanélküliség) alakították ki a vártnál nagyobb hiányt. A kormány júliusban és decemberben is kénytelen volt felülvizsgálni a nemzeti költségvetést. A magas államháztartási hiány azzal fenyegetett, hogy az államadósság túllépi a törvényileg meghatározott korlátot és adósságcsapda alakul ki (NBP 2002). 2002-ben a fiskális fegyelem tovább lazult, melynek eredménye 5,5 százalékos költségvetési hiány lett. Az elmaradt indirekt és személyi jövedelemadó bevételeket a magasabb társasági és nem-adó jellegű bevételek csak részben kompenzálták. A kiadási oldalon, a fogyasztás, a vállalati támogatások és garanciák és az adósságszolgálat is növekedett. A zloty felértékelődése, a kincstárjegyek és kötvények jövedelmezőségének növekedése csökkentette a gazdasági növekedés bankokon keresztüli finanszírozási lehetőségeit. A Társadalombiztosítási Alap is tovább növelte eladósodottságát a bankrendszer felé. A Munkapiaci Alapnak nyújtott támogatás a banki kölcsönök költségeit, a Munkavállalói Garancia Alap hitelei az államadósságot növelték (NBP 2003).
A költségvetés kiadásai a korábbi évhez képest kisebb mértékben, de növekedtek 2003-ban. A csökkentő tételek az Öregségi és Rokkantsági Nyugdíjpénztári Alap (Old-Age and Disability Pension Fund) támogatásainak csökkenése és a helyi önkormányzatok banki forráshoz való jutása voltak, de az adósságszolgálat magas kamatterhei komoly kiadási tételek maradtak. A kiadás visszafogó restriktív fiskális politika mellett, az alacsony infláció és gazdasági növekedés miatt a bevételek elmaradtak a várt értékektől, különösen a személyi jövedelemadóra vonatkozó becslések voltak túl optimisták. A privatizációból származó 4,1 milliárd zlotyból 3,0 milliárd költségvetési bevételként az államadósságot csökkentette (a harmadik legjobb évnek számított 2003). Az államadósság elérte a GDP 51 százalékát, ezzel átlépte az elővigyázatossági küszöböt – 50 százalék (Ódor – P. Kiss 2011). A költségvetés likviditásának problémája, a GDP-arányos államadósság folyamatos növekedése, az állampapírhozamok emelkedése és a helyzet javulásába vetett bizalom hiánya a zloty euróval szembeni árfolyamára is negatívan hatott 2003 második felében. A helyzetet súlyosbította az euró dollárral szembeni erősödése. Mindezek hatására a Pénzügyminisztérium rövid lejáratú kincstárjegyeket bocsátott ki a hazai piacra 2003 szeptemberében (melyek jövőbeli megújítása további kockázatokat vetett fel). Az államháztartás konszolidációs programjának gyors megalkotására és bevezetésére a befektetők pozitívan reagáltak. Az Államkincstár külföldi eladósodottsága is kb. 20,6 százalékkal emelkedett, így már több mint 30 százaléka az államadósságnak külföldi kézbe került, ami a külföldi tőkétől való függőség növekedését okozta, így a makrogazdasági stabilitást veszélyeztette. A program megoldásai azonban nem voltak elégségesek ahhoz, hogy megakadályozzák az államadósság további növekedését, és a második 55 százalékos küszöb elérését. A magas államadósság elszívta a magánszféra forrásait így a gazdasági növekedést is lassította (NBP 2004).
Az uniós csatlakozás kedvező makrogazdasági környezetet teremtett Lengyelországban. A gazdaság erőteljesen növekedett, szerkezete a modernizáció jeleit mutatta, erősödött a külföldi vállalatokkal a kapcsolat és a Közös Piachoz való hozzáférés is megvalósult, a munkaerőpiac fejlődött. 2004 januárjában a Szejm elfogadta a költségvetési kiadások reformprogramját (Programme for Rationalisation and Reduction of Public Expenditure), amely a költségvetési deficit és államadósság növekedési rátájának csökkentésére vonatkozó lépéssorozatot tartalmazta. A nyugdíj és rokkantsági ellátás új indexálása, a társadalombiztosítási hozzájárulások növelése és a szociális alapok támogatásainak csökkentése révén a fix kiadások mérséklődtek hosszú távon. Az adminisztratív kiadásokat korlátozták és az EU-s támogatások is pozitívan hatottak a deficit csökkentési folyamatra. A bevételi oldalon az adóalap szélesítésével, a szabálytalanságok megszüntetésével, a rejtett gazdaság visszaszorításával, a társasági adó csökkentésével (19 százalékra), a társadalombiztosítási rendszer kiterjesztésével, az állami vasút és szénbányászati szektor szerkezetváltásával a bevételek növekedését várták (RoP 2004). Az elengedhetetlen strukturális reformok bevezetésének köszönhetően a deficit 3,9 százalékra (még mindig meghaladta a 3 százalékos korlátot), az államadósság 43,9 százalékra csökkent 2004-ben (RoP 2006a). A kedvező makrogazdasági környezet, foglalkoztatás és GDP növekedés, munkanélküliség csökkenése, adórendszer hatékonyságának növelése pozitívan hatottak az állami bevételekre is. Az államháztartási hiány 2005-ben
a GDP 2,5 százalékára (2004-ben 3,9 volt), az államadósság GDP-arányos értéke 41,5 százalékra csökkent (az OPF nélkül 47,3) (RoP 2006b).
2005 decemberében a kormányzat elfogadott egy nemzeti reformprogramot (National Reforms Programme for 2005-2008), melynek fő célkitűzése a gazdasági növekedés támogatása a foglalkoztatás növelése által, összhangban a fenntartható fejlődés alapelveivel (RoP 2006b). 2006-ban az államháztartási hiány emelkedett az előző évhez képest, a GDP 3,8 százalékát tette ki. A bruttó államadósság 47,6 százalékra emelkedett, ennek fő okai a helyi önkormányzatok növekvő adóssága és az útalap forrásigénye voltak (RoP 2007). 2007-ben az államháztartási hiány a kedvező makrogazdasági környezet, a magasabb adóbevételek és az alacsonyabb kiadásoknak köszönhetően lecsökkent a GDP 1,9 százalékára. Az államadósság is javult, a GDP 44,9 százalékát tette ki. A kiadási oldalra továbbra az infrastruktúra fejlesztése és a nyugdíjak indexálása erőteljes hatást gyakoroltak, ezeken kívül még az állami szféra béremelése, az aktivitást növelő program (50+ Programme) és a tudományos kutatásokra fordított alap voltak jelentős tételek. A bevételi oldalra az adóterhek csökkentése hatott pozitívan (RoP 2008). Az államháztartási reform részeként 2007 júniusában elfogadták az Államháztartási törvényt. A legfontosabb fiskális szabályokat és szabályszerű költségvetés tervezést az Alkotmányban rögzítették51 (RoP 2007).
A gazdasági válság hatására 2008-ban az államháztartási hiány 3,6 százalékra növekedett. Ennek hátterében a GDP-arányos bevételek csökkenése, a nyugdíjjárulékok és a GDP csökkenése, valamint a kiadások GDP-arányos emelkedése (leginkább a beruházási és foglalkoztatással kapcsolatos kiadásoké) voltak (RoP 2010). 2009-ben a hiány tovább növekedett, 7,3 százalékra, 2010-ben pedig 7,9 százalék volt. A számos egyensúlytalanságot okozó tényező közül a személyi jövedelem- és társasági adóból származó bevételek csökkenése, az alacsonyabb járulékbefizetés növekedése emelhető ki. Annak ellenére, hogy a kiadások csökkentek, az államadósság 2010-ben 55,1 százalékos értékével elérte a második biztonsági sávot. A kiadáskonszolidáció hozzájárult a költségvetési alapok legitimitásának javításához és hatékonyságának növekedéséhez. Az ideiglenes kiadási szabály bevezetése is pozitívan hatott a kiadásokra.
A vállalatok pénzügyi helyzetének javulása ellenére a társasági adóbevételek csökkentek (RoP 2011).
Az államadósság-szabály 2011 elejétől megváltozott, a két biztonsági küszöb emelkedett, 55 és 60 százalékra (a nemzeti módszertan szerint számolva, ami eltér az ESA módszertanától) (RoP 2012). Az adósságszabályon túl bevezették a kiadási szabályt az államháztartási törvény kereteiben. A szabály értelmében az éves reálnövekedés csak egy százalék lehet a költségvetési kiadások diszkrecionális körében. A kamatkiadások, az EU-befizetés, útépítés és -fenntartás, hosszú távú projektek, EU-finanszírozású projektek és védelmi kiadások mind a diszkrecionális körön kívüli tételek (Ódor – P. Kiss 2011). A szabályozással a kiadásokat sikerült kordában tartani. Az államháztartás hiánya csökkent, a GDP 5,1 százalékát tette ki. A bevételek növekedése is megindult, az áfakulcsok emelése (22 százalékról 23 százalékra és 7 százalékról 8 százalékra, az élelmiszerek áfája csökkent 7 százalékról 5 százalékra), a bioüzemanyagok jövedéki adó kedvezményének eltörlése, a dohánytermékek jövedéki adójának emelése, az egyes gépjárműtípusokra vonatkozó áfalevonás megszüntetése, az áfafizetési kötelezettség kiterjesztése az állami beruházásokra és átalány-adólevonás bevezetése a személyi jövedelemadózásban mind hozzájárultak a folyamathoz. Az államadósság GDP-arányos értéke 56,3 százalékot tett ki (a nemzeti módszertannal kb. 47 százalék) (RoP 2012). 2012-ben az államadósság csökkenéséhez hozzájárult a privatizációs bevételek emelkedése miatti alacsony kölcsönigény, a zloty árfolyamának erősödése azon külföldi valutákkal szemben, amelyben az adósság denominálva volt. A helyi önkormányzatok dinamikus eladósodási folyamata (2009-2011) megtört, köszönhetően a bevezetett új fiskális szabályoknak. Az EU módszertannal számolva az államadósság 55,6 százalékra csökkent (RoP 2013).
A gyengülő hazai kereslet, a külkereskedelmi hiány emelkedése, az alacsony infláció és az adóbevételek pro ciklikus természete miatt a fiskális konszolidáció 2013-ban lassult, a deficit ismét emelkedésnek indult, a GDP 4,3 százalékát tette ki. A gazdasági növekedés további gyengülése az áfa- és a társasági adó bevételekre is negatív hatást gyakorolt. A bruttó államadósság a GDP 57,1 százalékát tette ki. Mivel az államadósság átlépte az 50 százalékos határt, ezért a stabilizációs kiadási szabály lépett életbe az átmeneti kiadási szabály helyett (RoP 2014). A 2014-től érvénybe lévő nyugdíjreform a GDP 0,4 százalékával emelte meg az államháztartási hiányt, de 3,2 százalékos értékével még mindig csökkenést mutat az előző évhez képest. A GDP növekedés az áfabevételeken keresztül segítette a költségvetés konszolidációját. A bruttó államadósság GDP-arányos értéke 50,1 százalékra csökkent. A kiadási szabály 50 és 55 százalékos küszöbértékeit 7 százalékponttal csökkentették a 2014 májusi államháztartási törvény módosításával, annak érdekében, hogy az államadósság egy alacsonyabb szinten stabilizálódjon és a lengyel fiskális politika hitelessége is javuljon (RoP 2015).
2015-től az uniós követelménynek megfelelően az ESA2010-es módszertan szerint veszik számba a lengyel gazdasági teljesítményt is. Ekkoriban az államháztartási hiány a GDP 2,6 százalékával egyezett meg, amit a csökkenő kiadások és a növekvő bevételek is támogattak. A kiadási oldalon az állami szektor fogyasztása, a munkaerőköltségek és az adósságszolgálat csökkentek leginkább. Az állami beruházások GDP-arányosan kissé mérséklődtek. A bevételi oldalon a korábbi áfa- és jövedéki adó változások negatív hatásai még 2015-ben is fennmaradtak, az alacsonyabb bevételek ennek tudhatók be. Az államadósság az előző évhez képest kissé növekedett, a GDP 51,3 százalékát tette ki (RoP 2016).
2016-ban a fiskális politika legfőbb célja megvalósult, a családbarát „Family 500 plus52” programot bevezették. A többletkiadásokat a bevételi oldal erősítésével kompenzálták, új bevételi források kerültek kiaknázásra és az adózási hatékonyságot is javították. Az államháztartási hiány 2,4 százaléka volt a GDP-nek. Az adóbevételek növekedtek, de még nem érték el a válság előtti szintet (2007-ben a GDP 22,7 százalékának megfelelő összeg származott adóból, 2016-ban 20,6 százalék). Az adórés53 csökkentése érdekében bevetették a Standard Audit File – Tax (SAF) rendszert54. Az adórendszer átalakítása során módosították a folyékony tüzelőanyagok kereskedelmét szabályozó jövedéki és koncessziós rendelkezéseket, az energiacsomagban a pontos definiálással, a szabályok egyértelművé tételével javították a bevételek hatékony beszedését. A kormányzat végső fogyasztása nominális értékben enyhén emelkedett (GDP-arányosan csökkent), a beruházási kiadásai csökkentek, míg a szociális kiadások növekedtek. Utóbbi oka a már említett Family 500 plus program, amelyben a 18 év alatti második és további gyermekek után 500 zloty értékű támogatást folyósítanak havonta a családoknak. A hátrányos helyzetű családoknak55 az első gyermek után is folyósítják az összeget, ezzel ösztönözve a családokat a gyermekvállalásra. A programon kívül a nyugellátás és rokkantsági nyugdíjak társadalombiztosítási kiadásai terhelték meg a kiadási oldalt. A bruttó államadósság 54,4 százalékra növekedett (RoP 2017).
Az adórendszer reformja és a Nemzeti Bevételi Hivatal (National Revenue Administration) megalakulása pozitívan hatott a 2017-es költségvetés bevételi oldalára. Az áfa, a jövedéki és társasági adó bevételek emelkedtek. Az adórés nagymértékben csökkent, a 2015. évi 24,5 százalékról, 14,1 százalékra. A kiadási oldalon GDP-arányosan enyhe csökkenés volt tapasztalható. A Family 500 Plus és a nyugdíjas ellátások a legjelentősebb tételek, de a kormányzati beruházások is növekedtek az év során. A GDP-arányos államháztartási hiány 1,5 százalékra csökkent, ami az államadósságra is pozitívan hatott, 50,6 százalékra mérséklődött (RoP 2018).
Lengyelországban 2018-ban megtörtént a Family 50056 program kiterjesztése, a buszos közlekedés rekonstrukciója, az adórendszer szigorítása, a társadalombiztosítási és egészségbiztosítási járulékok, valamint a környezetvédelmi adók hatékonyabb beszedése, az adó- és járulékalapok kiszélesítése, az adóék csökkentése és hatékonyabbá tétele, és a nyugdíjrendszer rendszerszintű változtatása. A stabilizáló kiadási szabályból adódó rögzített kiadási kereten belül megtörtént a kiadások priorizálása és racionalizálása. Mindezeknek is köszönhető, hogy 2018-ban a GDP növekedése elérte az 5,1 százalékot és a költségvetési deficit mindössze a GDP 0,4 százalékát tette ki. A gazdasági lassulás és a Brexit külső sokkjával számoltak ugyan az elemzők, de a COVID-19 okozta válsággal nem (RoP, 2019).
A COVID-19 által okozott válságra egy 5 pillérből álló intézkedéscsomagot dolgozott ki a kormány a Bank Gospodarstwa Krajowego-val (BGK), a Lengyel Fejlesztési Alappal (PFR), a Lengyel Pénzügyi Felügyeleti Hatósággal (UKNF) együttműködve. A Lengyel Nemzeti Bank (NBP) elkészítette az ún. Anti-Crisis Shield akciótervet (a továbbiakban: Pajzs). Az intézkedések célja a gazdaság stabilizálása és befektetési impulzus biztosítása, a következő öt terület erősítésével: munkavállalók biztonsága, a vállalkozások finanszírozása, az egészségügyi rendszer támogatása, a pénzügyi rendszer megerősítése és az állami beruházások megvalósítása. A megoldási csomag megvalósításához egy pénzügyi alapot is elkülönítettek (Financial Shield), melyből a mikrovállalkozásoknak 25 milliárd zloty, a KKV-knak 50 milliárd zloty és a nagyvállalatoknak 25 milliárd zloty támogatás lett elkülönítve. A jegybank ezen felül további intézkedéseket tett az árstabilitás megőrzése érdekében: csökkentette a kamatláb és a tartalékolási kötelezettséget, likviditásbővítő műveleteket eszközölt a bankok számára, kincstári kötvényeket vásárolt a másodlagos piacon strukturális nyíltpiaci műveletek keretében és a bankok számlavezetésére kedvezményt adott (RoP, 2020).
A pandémia okozta recesszió57 és a válságkezelő intézkedések hatására 2020-ban a költségvetési deficit elérte a GDP 7 százalékát, az államadósság 57,5 százalékra ugrott, a GDP 2,7 százalékkal csökkent. Összehasonlítva az EU többi országával, a visszaesés mértéke kisebb volt Lengyelországban, ami részben a Pajzs program bevezetésének is köszönhető. A munkaerőpiacot mérő mutatók csak 0,1 százalékponttal romlottak, a munkanélküliség 3,3 százalékos, az aktivitási ráta 56,1 százalékos volt. Az infláció a korábbi három évhez képest növekedésnek indult, 3,7 százalékos (HICP) értéket ért el, amit az előbbieken túl az élelmiszerpiaci kínálat elégtelenségének és a szolgáltatások áremelkedésének volt köszönhető. A jegybank folytatta a 2019-ben meghirdetett programját, a pénzpiacot segítve 19 alkalommal összesen 113,4 milliárd zloty névértékű (kb. a GDP 4,9 százaléka) hitelviszonyt megtestesítő értékpapírt vásárolt 2020 márciusa és 2021 áprilisa között. A pandémia miatti lezárások és gazdasági visszaesés miatt bekövetkező világméretű kockázatkerülő befektetői magatartás 2020 márciusában erőteljes tőkekiáramlást okozott a feltörekvő piacokon, így a zloty is gyengülni kezdett (RoP, 2021).
2021-re, sok EU tagállamot megelőzve, sikerült a pandémia előtti GDP szintet elérnie Lengyelországnak, a költségvetési deficit 1,8 százaléka, míg az államadósság 53,8 százaléka a GDP-nek. A gyors helyreállítás több tényezőnek tudható be: a vállalatok és a háztartások alkalmazkodása a korlátozásokhoz, a fő exportpiacok helyzetének javulása, valamint a makrogazdasági politika erőteljes támogatása.
A bevételek növekedésének köszönhető javulás nemcsak a kedvező gazdasági feltételeknek, hanem a fogyasztói árak növekedésének is következménye. 2022-re az infláció letörése, az adórendszer átalakítása és az Ukrajnának nyújtott támogatások következtében a deficit mértéke várhatóan növekedni fog, a GDP 4,3 százalékára. A folyó fizetési mérleg hiány 0,6 százalékát tette ki a GDP-nek, ami az import oldalról a kereslet növekedésével, a magasabb energia árakkal, a vállalatok jövőbeli áremelés miatti készletezésének és export oldalon az iparban tapasztalható ellátási problémáknak a következménye (RoP, 2022).
A magyar gazdaság eladósodási folyamata még jóval a rendszerváltozás előtt kezdődött. 1968-ban bevezetésre került az úgynevezett Új gazdasági mechanizmus, amely a nyugati típusú gazdaság felé orientálta a gazdasági fejlődést, így a nemzetközi tőkepiacokon is megjelent az ország. Az 1974-es olajárrobbanás, az energiaárak és áttételesen minden termék és szolgáltatás árának növekedését okozta, azaz inflációt generált a nyugati országokban. Magyarországon ekkoriban központi árszabályozás volt, ezért nem alakult ki infláció, de a cserearányaink jelentősen romlottak, a folyó fizetési mérleg hiány rohamos emelkedését külföldi kölcsönökkel finanszírozták. A kölcsönök drágulását okozta, hogy az USA inflációellenes küzdelme jegyében a dollárkamatlábakat jelentősen megemelte, így a magyar államadósság finanszírozási igénye is növekedett, egészen a fizetésképtelenség határáig sodorva az országot (Botos – Schlett 2010, Gém – Palócz 2006).
1982-ben Magyarország az államcsőd elkerülése érdekében belépett a Világbankba és csatlakozott az IMF-hez, ezt követően átmenetileg javult az ország hitelképessége. A nyugathoz való felzárkózás jegyében beruházások növelését kezdték meg a szocialista országok (így Magyarország is), de a beruházási javakat importálni kellett nyugatról, amihez újabb kölcsönök jelentettek forrást, és elkezdődött egy újabb eladósodási hullám. Megszűnt az árstabilitás, 1988-ban a fogyasztói árak
15,5 százalékkal 1989-ben 17 százalékkal emelkedtek (Botos – Schlett 2010, Gém – Palócz 2006). Ebben az időszakban a magyar kormánynak kétszer is lett volna lehetősége a külföldi államadósság átütemezését vagy elengedését kérni a nyugati hatalmaktól, először 1989-ben a keletnémet menekültek befogadása idején, majd az Antall-kormány hivatalba lépésekor. Nem éltek a lehetőséggel így a rendszerváltást követően bruttó 21,1 milliárd nettó 16 milliárd dollár külső adóssággal kellett megküzdeni (Árva 1995). Az átalakulás során az örökölt adósság mellé társult a devizaadósságon keletkezett leértékelési veszteség és a lakosságtól részben átvállalt lakáshitelek értéke is. A kormány a folyamat megfékezése érdekében 1988-1996 között kereslet-visszafogó gazdaságpolitika folytatására kényszerült. A cél az adósság csökkentése, az elért inflációcsökkentés és külkereskedelmi többlet ennek rendelődött alá, a privatizációs bevételeket is az adósságfinanszírozásra fordították (Botos – Schlett 2010, Gém – Palócz 2006).
1989 és 1993 között a korábbi, nem túl intenzív GDP növekedés megtorpant és a GDP csökkenése volt megfigyelhető, összesen 18,1 százalékkal csökkent az időszak alatt. Az államháztartás bázis áron számított bevétele és kiadása is a GDP csökkenést meghaladó mértékben, 24,2 százalék és 20,8 százalékkal esett vissza, ami az államháztartás egyenlegének romlását okozta (Stark 2002). Az államháztartás hiánya a kilencvenes évek elejétől folyamatosan emelkedett, 1994-ben elérte a GDP 8,5 százalékát. Az államadósság GDP-arányos értéke 1993-1995 között elérte a
90 százalékot58. A kialakult helyzethez az 1991-1994 közötti hitel- és bankkonszolidáció is hozzájárult. A 12 kiemelt állami nagyvállalat rossz hiteleit 57 milliárd forintnyi államkötvényből vásárolta meg. 1993 decemberében és 1994 májusában a bankok államkötvénnyel való feltőkésítése59 történt meg. A további államadósság-növekedés megakadályozása érdekében 1995 márciusában bevezettek egy stabilizációs csomagot, mely Bokros-csomag néven terjedt el a köztudatban. A csomag néhány bevételnövelő intézkedését60 később eltörölték, de a monetáris politikai intézkedések fennmaradtak (Gém – Palócz 2006).
1995-ben bevezették a szűk sávos csúszó leértékelés rendszerét, ahol a dezinflációt a középárfolyam leértékelési ütemének lassú, fokozatos mérséklésével lehetett elérni (MNB 2001a). A forintot kezdeti lépésként 9 százalékkal értékelték le, majd előre bejelentett mértékben, amivel kiszámítható és átlátható helyzetet teremtett a jegybank (Gém – Palócz 2006).
A rendszerváltozást követő öt évben a piacgazdaságra történő átállás, az ezt elősegítő piaci reformok, fiskális és monetáris kiigazítások következtében nemcsak a gazdaság hatékonysága javult, hanem az ország jövedelemeloszlásának belső szerkezete is átalakult. Az 1995-ben bevezetett stabilizációs csomag a külső egyensúly javulását hozta magával (a belföldi keresletvisszafogás és az exportteljesítmény növekedés hatására) (MNB 1998a). Az elsődleges egyenleg 1995-ben 3,2 százalékos többletet mutatott, így az ESA módszer szerint számított hiány 8,5 százalékról 6,5 százalékra csökkent (Gém – Palócz 2006).
A monetáris és a fiskális politikát a Magyar Nemzeti Bankról szóló törvény 1997. január 1-jei módosítása61 teljesen kettéválasztotta, amelyben a jegybank számára a közvetlen hitelnyújtás az államnak és az állampapírvásárlás is tiltott tevékenységgé vált (Gém – Palócz 2006).
Megjegyzés: Az államadósság a bal oldali tengelyen, a deficit a jobb oldali tengelyen van jelezve.
Forrás: Eurostat (2023) adatok alapján saját szerkesztés
Ha Magyarország GDP-arányos államadósságát időszakokra szeretnénk bontani, akkor államadósság tekintetében 1995-2001, 2002-2008, 2009-2011, 2012-2019 és 2020-tól napjainkig terjedő időszakot lehet megkülönböztetni (8. ábra). 1995-2001-ig az államadósság mértéke csökkent, majd 2002-2008 között növekedésnek indult, 2009-2011-es időszakban állandó 80 százalék körüli szinten állt, majd 2012-től folyamatosan csökkent, majd 2020-tól ismét emelkedésnek indult. A költségvetés egyenlege szempontjából a már említett 1995-ös Bokros-csomag, 2003-as, 2007-es és 2012-es évek kiigazításai emelhetők ki. A továbbiakban ezen kiemelt események határpontjaihoz kapcsolódó folyamatokat, kiigazításokat, reformokat mutatom be.
A bruttó államadósság GDP-arányos értéke folyamatosan csökkent a 1995-2002-es időszakban. A gazdasági fundamentumokra az elhúzódó ázsiai válság és az orosz válság hatásai közvetlenül és közvetetten (exportlehetőségek szűkülésével, növekvő import versennyel) is hatást gyakoroltak (romlott a külső egyensúly) (MNB 1999). Az állampapírpiac finanszírozása a nettó közvetlen tőkebefektetések és a portfólióbefektetés-jellegű nettó külföldi részvényvásárlásokban öltött testet. A lejárati struktúra javult62, a külföldi adósságon belül a rövid lejáratúak aránya csökkent. A hitelminősítők is pozitívan értékelték a makrogazdasági adatokat, így a Moody’s Baa2-re, a Standard & Poor’s BBB (flat) kategóriába sorolta az országot (MNB 1999). A következő évben a hitelminősítő intézetek tovább javítottak az ország értékelésén63. A befektetői érdeklődés a régió iránt elősegítette, hogy a hitelfelvevők az ország hitelbesorolásánál még kedvezőbb kockázati kamatfelár szintet érhessenek el. 1999-től a lejáró devizaadósság refinanszírozása a Magyar Köztársaság nevében történt, az állami szektor külső adósságának kezelését a Pénzügyminisztérium és az általa felügyelt Magyar Államkincstár Államadósság Kezelő Központja (ÁKK) végezte, az MNB az állam ügynökeként működött közre (MNB 2000).
Szerkezetét tekintve az év végén forgalomban lévő piaci fix kamatozású államkötvények 58,3 százalékot tettek ki (1999-ben), ami elmozdulást mutat a fejlett állampapírpiaccal rendelkező országok adósságszerkezetének irányába (MNB 2000). A forint államadósságot terhelő hozamszintje jelentősen csökkent. A tervezettnél kedvezőbb költségvetési pozíció a gyors növekedésnek és magasabb inflációnak (automatikus stabilizátor) köszönhető. A 2000. évi többletbevételből visszamenőleg emelték a nyugdíjakat (8 százalékkal) és az egészségügyi és szociális ágazat (a GDP 0,15 százalékával megegyező) bérkiegészítést kapott. A fennmaradó (kb. a GDP 1 százalékát kitevő) többletbevételből az államháztartási deficitet csökkentették (MNB 2001a, 2001b). A GFS típusú elsődleges többlet a GDP 1,3 százalékával járult hozzá a bruttó államadósság csökkenéséhez. Az ország hitelminősítését a Moody’s és a Fitch IBCA „A” kategóriára, a Standard & Poor’s A3 kategóriára javította 2000-ben. Ezzel a konvergenciaországok között Magyarország Szlovénia után a második legjobb hitelbesorolással rendelkezett. A kedvező makrogazdasági mutatók és az ezek alapján javuló hitelbesorolás eredményeként a lejáró devizaadósság megújítása alacsonyabb kockázati prémium mellett történhetett meg (MNB 2001a, 2002a).
2001-ben a kormányzat és az MNB adósságtörlesztési célú kifizetései (tőke- és kamatkifizetések és előtörlesztések összege) 2,9 milliárd eurót tettek ki (MNB 2002a). A 2001-es 2,5 százalékpontos elsődleges egyenlegromlás közel fele arányban jelenik meg a GDP64-ben (1,4 százalékkal növeli a GDP-t) és jelentős mértékben növeli a külső egyensúlyhiányt is (MNB 2002b).
A 2002-2008-as időszakban az államháztartás helyzete a korábbi évekhez képest romlott, 2002-ben (és az azt követő időszakban) elsődleges egyenleg negatívvá vált, ami arra utal, hogy nemcsak a rendszerváltozás után örökölt adósságterhek, hanem az azon kívüli folyó tételek is hozzájárulnak a hiányhoz (Gém – Palócz 2006). Az államháztartási hiány 9,4 százalékra emelkedett (az előző évi 4,1 százalékról), óriási inflációs nyomást65 okozva ezzel. A kormány középtávú gazdasági programjának közzétételével (melyben megerősítette a fiskális konvergencia és mielőbbi euró bevezetési igényét66) hozzájárult az árfolyam stabilizálódásához (MNB 2003a, 2003b). A változó makrogazdasági környezetben a Standard and Poor’s leminősítette Lengyelországot, Csehországot és Magyarországot.
A Moody’s viszont A1-es minősítést adott a 8 csatlakozni kívánó ország devizában fennálló államadósságának hitelbesorolására (MNB 2002c).
Az európai konjunktúra gyengülése és a választási ciklussal is összefüggő belföldi keresletnövekedés egyidejűleg volt megfigyelhető 2003-ban, de a gazdasági növekedés nem tűnt fenntarthatónak, ami a gazdaságpolitikát a költségvetési hiány csökkentésére ösztönözte a 2003-as év második felében és 2004-ben is jelenős kiigazítás történt (MNB 2004a). Az államháztartás hiányát nagyrészt a külföldiek finanszírozták, a nettó forintkötvény-kibocsátás több mint 50 százalékát nem rezidensek vásárolták meg (MNB 2004b, 2004c). Régiós összehasonlításban az államháztartás finanszírozási igénye mind a négy országban igen jelentős, de csak Magyarország esetében haladta meg a 60 százalékot 2004-ben (MNB 2005b). 2005-ben a nemzetközi tőkepiacokon bőséges likviditás állt rendelkezésre, így a kockázati felárak történelmi mélypontot értek el a külső adósságállomány folyamatos növekedésének ellenére (MNB 2005c, MNB 2006b). Az ESA alapján számolt 7 százalékot meghaladó államháztartási hiány tartósan és nagy mértékben meghaladta a Stabilitási és Növekedési Egyezmény 3 százalékos célértékét, ezért Magyarország túlzottdeficit-eljárás alá került. A Fitch és JCA leminősítette a magyar adósságot, és a S&P és a Moody’s is kilátásba helyezte a leminősítést a fundamentumok romlásának és a hiteles hiánycsökkentő program hiányának következtében (MNB 2006a, 2006b).
2006-ban a nemzetközi piacokat több átmeneti sokk is érte és a magyar költségvetési és folyófizetési hiány magas értéke miatt a forint egyre sebezhetőbbé vált, a forintárfolyam elszakadt a régiós devizáktól (a magas kockázatú országok eszközáraival mozgott együtt), az év elejéhez képest júliusra 12 százalékkal értékelődött le, amit az állampapírok hozamának növekedése is követett (MNB 2007a). A kormányzat csak nyáron jelentette be a költségvetési kiigazítást, de a piaci szereplők bizalomvesztése miatt a piacok korrekciója csak hónapokkal később következett be. A kiigazítás miatt inflációs sokk, a lakossági reáljövedelem (és fogyasztás) csökkenése, valamint az adó- és járulékterhek következtében a vállalati szektor (elsősorban belföldre termelő kis- és középvállalati szektor) költségeinek emelkedése és jövedelmezőségének romlása következett be (MNB 2007b). A kormányzati intézkedések a gazdasági növekedést fékezték 2007-ben, a GDP 1,0 százalékkal emelkedett (KSH 2010). A hazai fiskális kiigazításból származó sokk és a világpiaci olaj- és élelmiszerárak alakulása miatt 2007-ben az éves átlagos infláció 8 százalékra emelkedett. A monetáris politika nem tudott hatni a 2007-es infláció alakulására, mert ahhoz 2005-ben már látnia kellett volna a fiskális politika kiigazítási szándékát (amit 2006 nyaráig nem hirdettek meg). A kereslet-visszafogó kormányzati intézkedések elősegítették a külső egyensúly javulását, a költségvetési hiány csökkentését és a kedvező kockázati megítélést (MNB 2008a, 2008b).
A devizahitelezésből származó gyors keresletbővülés GDP-növekedést generált, ami a foglalkoztatottságot és a béreket is megemelte, így a fogyasztás és a beruházás növekedése inflációt és fizetésimérleg-hiányt okozott az országban. A fiskális és monetáris politika alkalmazkodási lehetőségei beszűkültek, így a fenntarthatatlanság veszélye fenyegette Magyarországot (és Lengyelországot). Az amerikai válság hatására a korábbi kockázatvállalási hajlandóság drasztikusan visszaesett és a 2004-ben az Európai Unióhoz csatlakozott 10 ország között elkezdődött a differenciálás a befektetők részéről, ami a CDS felárakban és az adósságkockázatok minősítésében is tetten érhető volt (MNB 2008b, 2009a). Magyarország megítélése elszakadt a régiótól, a külső tényezőkön kívül a magas külső és államadósság, a növekedési potenciál hiánya miatt sérülékenynek ítélték a befektetők, bizalmatlanná6767 váltak, ami a CDS felárak növekedésében, az állampapírpiac kiszáradásában és a hozamgörbe emelkedésében is tetten érhető volt. A hitelminősítők októberben és novemberben egy kategóriával6868 rontották Magyarország adósságminősítését, melynek okaként a magas folyó fizetésimérleg-hiány és a rövid lejáratú devizaforrások magas szintjét jelölték meg (MNB 2009a, 2009b).
A 2008-as magyar költségvetés szerkezete eltért az euróövezeti tagállamok és a régiós szomszédok átlagos szerkezetétől is, a folyókiadások aránya magas a teljes kiadáson belül (és nem is csökkent). A produktív kiadások69 aránya, mint például az oktatási és egészségügyi kiadások az összkiadásokhoz és a GDP-hez viszonyítva is csökkennek, míg a nem-produktív kiadások70 (szociális és nyugdíjkiadások) részaránya növekedett. A bevételi oldal tekintetében a hosszú távú gazdasági növekedést gátolja a munkát terhelő adók és járulékok szintjének emelkedése. Az adórendszer tekintetében az EU-s átlagtól magasabb az indirekt adók aránya, míg a direkt adók aránya alacsonyabb. Problémát az adóelkerülés okoz (a GDP-arányos 3,5-4 százalékos EU-s átlaghoz képest becslések szerint 7,5 százalék a kieső adómérték Magyarországon), mert torzítja a társadalmi erőforrás-elosztást és az államháztartás finanszírozását is megnehezíti. A 2006 nyarán bevezetett törvénycsomag a társadalombiztosítási járulékok tekintetében hatékonyan növelte az adóbevételeket (MNB 2008c). Az IMF-fel és az EU-val folytak tárgyalások a kockázati megítélés és a pénzügyi rendszer stabilitásának javítása érdekében, az EKB 2 milliárd eurós, az IMF 12,3 milliárd eurós hitelkeretet biztosított az ország számára (ECB 2009, IMF 2008). Az aktuális finanszírozási igénynél nagyobb összegben történt hitelfelvétel a GDP 5,5 százalékával növelte az adósságot (MNB 2012d.)
2.3. táblázat - 6. táblázat Devizakötvény-kibocsátások a visegrádi országokban (2009-2010)
|
Kibocsátó |
Dátum |
Lejárat |
Deviza |
Összeg (milliárd) |
Kupon |
|
Lengyelország |
2009. okt. 8. |
2019. okt. 15. |
EUR |
0,500 |
4,675 |
|
Csehország |
2009. okt. 21. |
2016. nov. 23. |
CHF |
0,500 |
2,875 |
|
Lengyelország |
2009. nov. 6. |
2012. nov. 13. |
JPY |
23,300 |
1,920 |
|
Lengyelország |
2009. nov. 6. |
2014. nov. 13. |
JPY |
21,500 |
2,340 |
|
Szlovákia |
2009. dec 14. |
2013. márc. 4. |
EUR |
0,105 |
3,500 |
|
Lengyelország |
2010. jan. 22. |
2025. jan. 20. |
EUR |
3,000 |
5,250 |
|
Magyarország |
2010. jan. 26. |
2020. jan. 29. |
USD |
2,000 |
6,250 |
Forrás: MNB (2010b) 21. o. alapján saját szerkesztés
A 2009-es év elejétől a kelet-közép-európai régió külső megítélése jelentősen romlott, hiába voltak EU tagok, egyes bankmentő intézkedések hátrányosan megkülönböztették őket. Magyarország esetében a külső környezet romlását a belső kereslettel nem lehetett ellensúlyozni71, a munkanélküliség növekedése72, a bérdinamika csökkenése, a hitelezés beszűkülése, az adócsomag bejelentése, a csökkenő vállalati profitkilátások (a jövedelmezőségi helyzet a feldolgozóiparban romlott leginkább) mind a fogyasztás visszafogását okozták (MNB 2009b). 2009. január 28-án az MNB és a Svájci Nemzeti Bank euro-svájci frank devizaswap-megállapodást kötött a devizalikviditás-elosztás támogatása érdekében73 (MNB 2010a). A meghozott intézkedések eredményeként a S&P az adósságminősítés kilátásait negatívról stabilra változtatta (MNB 2009c). A beruházási-fejlesztési tevékenység visszaesését a kormányzat infrastrukturális megrendelésekkel igyekezett enyhíteni (út- és autópálya-építések, közmű- és távvezeték-építések, vasútfelújítások, 4-es metró építése) (KSH 2010, MNB 2010b). 2010 januárjában 2 milliárd dollár értékű, 10 éves lejáratú (USD) devizakötvény kibocsátás történt. A régiós országokban is rekord méretű kötvénykibocsátások voltak (6. táblázat), amelyek a hitelminősítések javulásához is hozzájárultak (MNB 2010b).
A piaci befektetők megnyugtatása érdekében a kormány ősszel bejelentést tett, mely szerint elkötelezte magát a 2010. évi 3,8 százalékos (majd a következő években a 3 százalékos) költségvetési hiánycél betartása mellett. A kormányzati intézkedések74 hosszú távon növelték a kockázatokat, a különadó bevezetése az adórendszer kiszámíthatóságát veszélyeztette, kedvezőtlenebb beruházási környezetet teremtve. A nyugdíjpénztári rendszer átalakítása is a költségvetés hosszú távú fenntarthatóságát kérdőjelezte meg (MNB 2010c, 2011a). A kockázatvállalási hajlandóság volatilitása és a befektetők bizalmatlansága miatt kialakult magas kockázati prémium következtében a hitelminősítők a befektetésre nem ajánlott kategóriába sorolták Magyarországot. A kockázati felárak további emelkedését okozta a leminősítés és a befektetők végtörlesztéssel kapcsolatos aggályaiból származó kockázati érzékenység emelkedése (MNB 2012a, 2012b).
2011 végén az adósságráta a GDP 80,6 százalékát tette ki, ami jelentősen meghaladta a maastrichti kritériumokat. Az emelkedés hátterében főleg a nyugdíjrendszer átalakítása állt. A magánnyugdíjpénztári rendszerből a tagok 97 százaléka átkerült az állami (felosztó-kirovó típusú) rendszerbe, így az ő megtakarításaikat államadósság-csökkentésre lehetett fordítani. A Nyugdíjreform és Adósságcsökkentő Alaphoz került a magánnyugdíjpénztárak által kezelt portfólió 90 százaléka, amelynek körülbelül fele állampapír volt, így azt az állami adósságkezelő bevonta, mely lépés következtében a GDP 4,9 százalékával csökkent az államadósság. A portfólió másik fele részleges értékesítésre került, ami szintén adósságcsökkentésre fordítódott. Az államadósság kamatterhe 2000 és 2011 között trendszerűen csökkent, az implicit kamat75
6 százalékponttal lett alacsonyabb (5 százalék körül alakult 2011-ben), amelyre a válság sem gyakorolt erőteljes hatást az IMF-EU hitelkeret igénybevételének köszönhetően (MNB 2012d).
A kormány elköteleződését az alacsony államadósság mellett a 2012. január 1-jén hatályba lépett Alaptörvényben is rögzítették. Az államadósság-szabály kimondja, hogy az adósság mértéke nem haladhatja meg a GDP 50 százalékát76 (MNB 2012d). 2012 elején a globális kockázatvállalási hajlandóság is erősödött és a magyar kormányzat elkötelezettséget mutatott az EU/IMF hitelmegállapodás iránt, így a befektetői bizalom javulásnak indult. A folyamat hamar megtört a nemzetközi (görög népszavazás bejelentése) és hazai tényezők miatt. Ezen volatilis hangulatú időszakban visszaesett az aukciós kereslet, ami miatt az adósságkezelő az elsődleges kibocsátás jelentős csökkentésére vagy törlésére kényszerült. A leminősítés a tulajdonosi szerkezet némi átalakulásához és eladási hullámhoz vezetett (MNB 2012b, 2013a).
2012-ben a külkereskedelmi egyenleg javult, a költségvetési politika fegyelmezetten alakult, a nettó külső adósság és az államadósság csökkenésének üteme folytatódott, bár még mindig magas szinten állt, ami miatt a külső sokkokra továbbra is érzékeny a magyar gazdaság. A forintállamkötvények likviditása javult, a külföldiek teljes állományon belüli részesedése emelkedett (2010 végi 20-25 százalékhoz képest 2012 augusztusában 45 százalékot tett ki), ugyanakkor erőteljesen koncentrált maradt (MNB 2012c). A lakosság77 egyre nagyobb részt vállalt az államháztartás finanszírozásában (2012 során 500 milliárd forinttal növelte állampapír-állományát) (MNB 2013b). A magyar állampapírpiacot is hátrányosan érintette a Fed QE3 programjának kivezetése miatti befektetői hangulat romlása, a 10 éves kötvények hozama 1 százalékponttal, 6,5 százalékra emelkedett augusztus végére május végéhez képest (MNB 2013c, 2014b). Az állampapír és azonnali devizapiac likviditási indexe is folyamatos javulást mutatott (MNB 2014b). 2013-ban sikerült kikerülni a túlzottdeficit-eljárás alól. Ezt követően 3 évig egy átmeneti adósságszabálynak (minimum linear structural adjustment, röviden MLSA) kellett megfelelni, ami 2013-ban, 2014-ben és 2015-ben is sikerült (MNB 2015b, 2016b). A GDP-arányos bruttó államadósság csökkenését a magas reálnövekedés és a szufficites elsődleges államháztartási egyenleg támogatta, míg a reálkamat-fizetés és a reálárfolyam-változás visszafogta (MNB 2015a, 2015b).
A kormányzat a szociális segélyezés átalakítása mellett döntött 2015 elején, négy segélytípust szüntettek meg, amely 23 milliárd forint felszabadítását jelentette. Cél, hogy a foglalkoztatást helyettesítő támogatásban részesülők átkerüljenek a közfoglalkoztatásba (MNB 2015b). A beruházások, a közösségi és magán fogyasztás is növekedett, javultak a munkapiaci folyamatok, ezek összességében a makrogazdasági teljesítmény pozitív megítélésének irányába hatottak. A költségvetési deficit historikusan alacsony értékre csökkent, a GDP 2 százalékára. A bevételek (adó és EU támogatások) és a kiadások (BKV adósságátvállalás, migrációs kiadások) is növekedtek, utóbbiak miatt kétszer is módosították a központi költségvetésről szóló törvényt (MNB 2016b). Az államadósság menedzselése során devizakötvény-visszavásárlás történt és a devizában denominált államadósság jelentős részét forintállampapírok kibocsátásával újították meg (MNB 2016a).
2016-ban az éves átlagos infláció 0,4 százalék volt, a gazdasági élénkülés, a magas külső finanszírozási képesség és a külső adósságállomány csökkenése mérsékelte az ország sérülékenységét, mely hatások eredőjeként a nemzetközi hitelminősítők befektetésre ajánlott kategóriába emelték a magyar államadósságot (MNB 2017a). A kormányzati szektor hiánya tovább csökkent a GDP 2 százalékára 2017-ben. A pénzforgalmi szemléletű egyenleg alakulása az uniós programokhoz kapcsolódó, a központi költségvetés által az önkormányzatoknak megelőlegezett támogatások elszámolása és a pénzforgalmilag realizált uniós bevételek tervezettől elmaradó teljesüléséből adódóan az eredetileg elfogadott 1204 milliárd forintos hiány helyett 1833 milliárd forintot (a GDP 3,4 százalékát) tett ki. A bevételek közül a társasági adó növekedése volt erőteljes, valamint a munkaerőpiaci fellendülés a fogyasztásnövekedésen keresztül is a bevételek növekedését okozta. A kiadási oldalon az egészségügyi kiadások (béremelés és kórházi adósságállomány konszolidációja) és a családi támogatások növelték az egyenleget, a közmunkaprogram kiadásai csökkentek és a kamatkiadások is mérséklődtek. A folyamatok eredőjeként a GDP-arányos államadósság 73,3 százalékra csökkent, a külföldi tulajdon arányának csökkenése tovább folytatódott (37%), a devizaarány is 22 százalék alá mérséklődött (MNB 2017b, 2018a, 2018b).
2.4. táblázat - 7. táblázat A költségvetési egyensúly helyreállítását célzó kiigazítási kísérletek Magyarországon
|
1995-1996 |
2006-2009 |
2010-2012 | |
|
Gazdasági háttér |
termelés jelentős visszaesése, adóbevételek csökkenése, növekvő hiány és államadósság, 1994-es ikerdeficit |
2002-re 9 százalékos ESA hiány, beruházások csökkenése, 2004-től túlzottdeficit-eljárás, |
2010-ben a GDP-arányos államadósság 80 százalék felett, fogyasztás mélyponton |
|
Fókusz |
rövid távú költségvetési szempontok (kiadási oldalra összpontosított) |
rövid távú költségvetési szempontok (bevételnövelés és kiadáscsökkentés) |
strukturális reformok (rövid távon nagyobb részt kiadási oldalon) |
|
Intézkedések |
hatósági áremelések, fogyasztási cikkekre kivetett vámpótlék, iparűzési adó emelése |
adóemelés (áfa, eva, szolidaritási adó, pénzügyi és energiaszektor, gyógyszergyártók), állami beruházások, transzferek és bérek csökkentése |
adóreformok (különadók kivetése, fogyasztási adók emelése, egykulcsos szja, adójóváírás és szuperbruttó megszűntetése, családi adókedvezmény bevezetése, társasági adókulcs csökkentése) szociális támogatási rendszer átalakítása |
|
Következmény |
ikerdeficit csökkenése, meglepetésinfláció, bérek és fogyasztás reálértékének csökkenése, belső kereslet visszaesése |
gazdasági növekedés lassulása, recesszió mélyülése |
adóbevételek csökkenése, külkereskedelmi versenyképesség javulása, bővülő foglalkoztatás, GDP-arányos hiány, államadósság és kamatkiadások csökkenése, gazdasági növekedés fokozódása |
Forrás: P. Kiss (2017) alapján saját szerkesztés
Ebben az időszakban a fegyelmezetlen fiskális politika, a csökkenő seignorage bevétel és a reálváltozók kedvezőtlen alakulása befolyásolta az adósságpályát. Az adósságdinamika felgyorsulásában vélhetően döntő szerep jutott a költségvetési politika prociklikus viselkedésének és a nagymértékű külföldi adósságállomány sebezhetővé tette a gazdaságot a külső sokkokkal szemben. P. Kiss (2017) által értékelt három költségvetési egyensúly helyreállítását célzó kiigazítási kísérlet közül a legutóbbi nevezhető sikeresnek (7. táblázat). Fontos azonban megemlíteni azt a tényt is, hogy a 2005-2009-es időszakban a GDP visszaesése, a devizatartalék növekedése és az árfolyamváltozás is olyan nemzetközi folyamatok eredménye, amelyek hozzájárultak az adósságszint emelkedéséhez (Balatoni – Tóth 2011), de ezen eseményekre a fiskális politikának kevés ráhatása volt.
Magyarország esetében a 2018-as évben a gazdasági növekedés elérte a 4,9 százalékot (az EU-ban a harmadik legmagasabb érték), a költségvetési hiány 2,2 százaléka, míg az államadósság 71 százaléka volt a GDP-nek. Csökkent a külső adósság és a külföldiek által birtokolt devizában denominált adósság aránya is. A társasági adókulcs 9 százalékra csökkentése, a kkv-k adó- és adminisztratív terheinek mérséklődése, valamint a kiszámíthatóbb üzleti környezet hatására növekedtek a beruházások78. A munkavállalói jövedelem növekedése a háztartások fogyasztására és megtakarítási rátájára is kedvezően hatott. Az ipari export csökkenése mellett az import növekedése negatív nettó exportot eredményezett (MK 2019).
2019-ben is sikerült tartani az előző évi gazdasági növekedést, ez a korábbi évek gazdaságpolitikájának volt köszönhető, amit az országkockázati felárak csökkenése is bizonyít. A költségvetési hiány a GDP 2 százalékát, míg az államadósság a 66,3 százalékát tette ki (MK 2020). Az elöregedő társadalomból adódó problémák csökkentésére a fiatalok életkezdését és gyermekvállalását elősegítő ún. Babaváró támogatást vezetetett be a kormány 2019 júliusától (MK 2019).
A COVID-19 válság enyhítésére hiteltörlesztési moratórium, közteherfizetési kötelezettség és tételes adófizetés-elengedés a legérintettebb szektorokban (turizmus, vendéglátás, személyszállítás stb.), valamint a védekezési és eszközbeszerzési kiadások összesen 600 milliárd forintot79 tettek ki 2020-ban. A többletkiadások fedezésére az ÁKK euró kötvénykibocsátásokat eszközölt (MK 2020). A visszaesés miatt csökkent a vállalkozások profitja és az ebből származó adóbevétel is, a külföldi vendégek elmaradása miatt a turisztikai ágazatból származó szolgáltatásexport csökkent a legnagyobb mértékben. Így 2020-ra a költségvetési hiány 8,1 százalékra, az államadósság a GDP 80,4 százalékára növekedett. Az gazdasági növekedés negatív rekordot ért el, de a –5 százalékos értékkel az EU-s átlag (–6,1%) alatt maradt. Pozitívum, hogy az EU kohéziós alapjainak és a Next Generation alapból származó forrásoknak köszönhetően a beruházások nem estek vissza (27,3 százaléka a GDP-nek a beruházási ráta). A gazdaság helyreállítási folyamatokat a jegybanki kötvényvásárlási program szintén igyekezett elősegíteni. A háztartások állampapír-vásárlása80 is jelentősen növelte az adósságfinanszírozás stabilitását (MK, 2021).
2021-ben a gazdasági növekedés mértéke 7,1 százalékos volt, és a második negyedév végére sikerült meghaladni a járvány előtti termelési szintet. A kedvező foglalkozatottsági adatok, a minimálbér-emelés, a 25 év alattiak szja mentessége, a 13. havi nyugdíj visszaépítése és az szja visszatérítés a gyermeket nevelő családoknak mind fogyasztást generáltak, ezáltal elősegítették a növekedést. Természetes módon inflációt is generálva, ami 5 százalék felett alakult, bár ehhez az energiahordozók, a nyersanyagok, a turizmus és vendéglátás ágazatok áremelkedése, az ingyenestankönyv-rendszer kiterjesztése is hozzájárultak. A költségvetési hiány kissé mérséklődött, a GDP 6,8 százalékát tette ki, az államadósságra is pozitív hatást gyakorolt, a GDP 76,8 százalékára csökkent. A költségvetés bevételi oldala az adókedvezmények81 bevezetésének ellenére jól alakult, de a kiadási oldal is jóval meghaladta82 a költségvetésben tervezett értéket. A strukturális hiány mértéke így 3,6 százalék lett, ami jelentősen meghaladta az előírt maximum 1,3 százalékot (MK 2022).
Szlovákia a szétválást követően jóval kevesebb jól működő nagyvállalattal rendelkezett, mint Csehország (KSH 1996), a nehézipar, különösen a hadiipar volt Szlovákia erőssége a közös államban. Szlovákia ásványi és nyersanyagokban szegény, gazdálkodásra kevésbé alkalmas területekkel bír, ami miatt a szlovák gazdaság jelentős külkereskedelmi kapcsolatok kiépítésére kényszerült. A gazdaságátalakító program során a tulajdonjogok biztosítása, az árliberalizáció és a külkereskedelem jelentették a fő prioritásokat. Az adórendszert a piacnak megfelelő módon alakították át, új egészségügyi és nyugdíjrendszert alkottak, a szociális ellátórendszer működését javítva ezzel. A folyamatok támogatása érdekében létrehozták a független jegybankot és dinamikus fejlesztés kezdődött a bankszektor és a pénzpiacok területén (NBS 1994).
Megjegyzés: Az államadósság a bal oldali tengelyen, a deficit a jobb oldali tengelyen van jelezve.
Forrás: Eurostat (2023) adatok alapján saját szerkesztés
A szlovák GDP-arányos államadósság és hiány alakulását vizsgálva, ha időszakokra szeretnénk bontani az adatsort, akkor az államadósságot 1995-2000 között növekedés, 2001-2008-ig csökkenés, 2009-2013-ig ismét növekedés és 2014-től mérsékelt csökkenés jellemezte (9. ábra). A hiány tekintetében fordulópontoknak a 2001-es, 2003-as kiigazítások és 2009-es év, az euro zónához való csatlakozás éve emelhetők ki.
A munkaerőpiac nem megfelelő működése és a privatizációs folyamat akadályai miatt a viszonylag széles körű, látens munkanélküliség (az állami nagyvállalatoknál és közös tulajdonú részvénytársaságoknál sokan úgy dolgoznak, hogy nem termelik meg a bruttó bérüket), melyet bérliberalizációval próbáltak meg orvosolni (NBS 1994). 1994-re a GDP növekedésnek indult, az infláció 11,7 százalékon stabilizálódott (NBS 1995). A gazdasági fellendülés 1995-ben is folytatódott, a visegrádi országok közül a legnagyobb mértékű bővülés (7,4%) volt tapasztalható Szlovákiában. Az infláció mértéke is tovább csökkent, bár az még mindig a legmagasabb maradt a régióhoz képest (NBS 1996). A költségvetési deficit egyre nagyobb lett, így az évek során az államadósság is növekedett (NBS 1997). 1997-ben az orosz gazdaság gyengélkedése rányomta bélyegét a közép-kelet-európai országok gazdasági teljesítményére is. A szlovák növekedés (6%) azonban még mindig a régió egyik legmagasabb értéke volt. Az államháztartás bevételei mindezek ellenére elmaradtak a várt értékektől, egyedül a személyi jövedelemadó teljesített legjobban. A kiadások az oktatási, a regionális bíróságok kiadásai és költségvetési szervek tőkerészesedéseinek emelkedése miatt növekedtek meg (NBS 1998).
1998-ban az orosz válság súlyosan hatott a környező országokra, jelentősen visszavetette azok gazdasági növekedését. A gazdasági növekedés motorja a hazai kereslet maradt Szlovákiában (NBS 1999). A kormány a neoliberális balti országok politikáját kezdte alkalmazni, privatizálva lettek a bankok, a közszolgáltatások, a külföldi működő tőkét az iparba csábították, a kormányzati kiadásokat csökkentették (Dean et al. 2013, Farkas 2017). A szlovák gazdaság hiteleinek lejárata és a beruházások megtérülési rátája közötti időbeli rés miatt a kölcsönök visszafizetésében problémák léptek fel. 1998 októberében a jegybank bevezette a lebegő árfolyamrendszert, ami kezdetben nem hatott jelentősen a dezinflációs folyamatra. A strukturális változások következményeként a munkanélküliek száma növekedett és a folyó fizetési mérleg hiány mértéke is (–10,3%) aggodalomra adott okot (NBS 1999). 1999-ben jelentős jövedéki és hozzáadott érték adó emelés következett be (NBS 2000). A stabilizáció eredményei 2000-től voltak érezhetők.
A beáramló tőke egészen a 2008-as válságig biztosította a tartós gazdasági növekedést, így a gazdaságpolitika a hazai erőforrásokat az államadósság csökkentésére tudta fordítani (Szőke – Mack 2017). A nehézipar maradványaira épülő gazdaság hatékonyan volt képes az autóipari értékláncokba bekapcsolódni a jól képzett munkaerő révén. Az FDI számára azért is volt vonzó Szlovákia, mert 2001 óta alacsony infláció és költségvetési deficit jellemezte (Dean et al. 2013). A 2002-es strukturális reform keretében egykulcsos adórendszer, nyugdíjreform, munkapiaci liberalizáció és oktatási reform is történt (Farkas 2017). A 2004-es EU csatlakozás még inkább megnyitotta a tőke számára az országot, amit sikeresen használt fel a gazdaság fellendítésére.
A 2008-as válság hatására csökkent a beruházási kedv és a GDP alakulása negatív tendenciába fordult. A helyzet kezelésére az állam kénytelen volt az adósság növelésével pótolni a külföldi forrásokat, melynek eredménye az államadósság másfélszeresére duzzadása és a gazdasági növekedés beindulása volt (Szőke – Mack 2017). 2009-ben bevezették az eurót Szlovákiában, így a monetáris politika irányítása az EKB-hoz került. Az év végén, a magas hiányérték miatt túlzottdeficit-eljárás alá került Szlovákia. A szlovák kormány csatlakozott az EU Költségvetési Paktumához, így 2014 óta az előző évre vonatkozó kiegyensúlyozott költségvetési szabályok betartatásának értékeléséről szóló jelentést készít, melyben megvizsgálják azt is, hogy a saját középtávú célkitűzéseik irányába tett előrehaladás elegendő-e. Magának a Költségvetési Paktum szabályainak betartásáért a pénzügyminisztérium felel, és a nemzeti szabály hitelességét egy független költségvetési intézmény általi megfelelőségi ellenőrzés révén biztosítják. Ez az intézmény Szlovákiában a Költségvetési Felelősségi Tanács (Council for Budget Responsibility, röviden: CBR).
A GDP-arányos 52,1 százalékos államadóság 2012-ben meghaladta a GDP 50 százalékában meghatározott küszöbértéket, ezért a pénzügyminiszter 2013 közepén magyarázatot adott a Parlamentnek a küszöb átlépésének okairól. A CBR (2013) szerint a javasolt adósságcsökkentő intézkedések nem voltak elegendőek ahhoz, hogy felmérhető legyen adósságcsökkentéshez való hozzájárulásuk. Ugyanakkor a negatív tendenciák megfékezése érdekében 2012-ben közpénzügyi konszolidációt hajtott végre a kormány, az intézkedéscsomag része volt a pénzintézetek adónövelése, a víz-, gáz- és áramszolgáltatók különadója, progresszív jövedelemadózás bevezetése, az állami juttatások és közalkalmazotti bérek csökkentése és az olajtartalékok értékesítése, melynek eredményeként 2013-ra javult a helyzet (Nagy 2015). A fiskális kiigazítás eredményességét középtávon már javította az új fiskális szabályrendszer és a költségvetési tanács intézményének megalakulása is, amelyről a 2.5 alfejezetben részletes leírás olvasható. Az államadósság növekedését azonban nem sikerült megfékezni, 55,4 százalékos GDP-arányos értékével átlépte a küszöbértéket 2013-ban. A GDP egy százalékában meghatározott hosszú távú fenntarthatósági mutató is elérte a GDP három százalékát és a strukturális hiány GDP-arányos fél százalékában megadott középtávú cél sem teljesült, de a hiánycsökkentés üteme a GDP 0,9 százalékát tette ki (CBR 2014).
A 2013-as jelentős konszolidáció és a 2014-es adósságcsökkentés eredményeként a 2014-es strukturális egyenleg elérte a 2017-s célkitűzéshez vezető kiigazítási pálya által meghatározott szintet, a GDP-arányos értéke 2,8 százalékot tett ki. A pozitív folyamatok eredményeként a CBR nem kezdeményezte további korrekciós mechanizmusok bevezetését (CBR 2015). A folyamatok a következő évben nem mutattak jelentős javulást, a strukturális egyenleg 2015-ben is meghaladta a középtávú célt (GDP-arányos értéke 2,7 százalék volt) és a kiigazított értéke is jelentősen elmaradt a kijelölt pályától, ezért a CBR szükségesnek látta a korrekciós mechanizmusok bevezetését. A Pénzügyminisztérium nem vett figyelembe számos hatást, amelyek hozzájárultak a folyamatok negatívvá váláshoz és nem tett javításukra semmilyen intézkedést (CBR 2016). 2017-re se érte el a strukturális egyenleg az elvárt (0,5 százalékos) szintet, de már 1,18 százalékos értéke a pálya közelében volt, így további korrekciós mechanizmus bevezetését nem kezdeményezte a CBR (CBR 2018).
Szlovákiában a GDP növekedése 2018-ban elérte a 4,1 százalékot, ami a beruházásoknak (Jaguar Land Rover megállapodás) és a háztartások fogyasztásának volt köszönhető. Növekedett a foglalkoztatottság és csökkent a munkanélküliség (6,6%), az átlagbér meghaladta az 1000 eurós szintet. A szolgáltatások árainak növekedése járult hozzá leginkábba a 2,5 százalékos CPI értékhez. A költségvetési hiány a GDP 0,7 százalékát tette ki, ami a magasabb adó és járulékbevételeknek volt köszönhető. Az államadósság 48,9 százaléka a GDP-nek, ami az erős nominális növekedés és kisebb hiány következménye (MoFoSR, 2019).
A gazdasági túlfűtöttség enyhült 2019-ben, a GDP növekedése 2,3 százalékra mérséklődött, ami főleg az exportpiacok zsugorodásával magyarázható. A munkaerőpiac továbbra is stabil maradt, a munkanélküliségi ráta alacsony, a munkabérek emelkedtek. A háztartások ezen növekmény egy jelentős részét fogyasztásra költötték, amely a CPI 2,7 százalékos értékét eredményezte. A közszférában dolgozók béremelése, a magasabb társadalombiztosítási kiadások (173 millió eurós támogatás az egészségügyi rendszernek, 196 milliós katonai eszközbeszerzés, megnövekedett munkanélküliségi segély és táppénzkiadások), elmaradt adó és nem-adó jellegű bevételek (az elektronikus pénztárgépek bevezetésének elhúzódása, a kiskereskedelmi láncok különadójának eltörlése, valamint az energiaszektor lecsökkent bevételei miatt) és a helyi önkormányzatok alacsonyabb többlete83 miatt a költségvetési hiány a GDP 1,3 százalékára nőtt (MoFoSR, 2020).
A koronavírus járvány miatti gazdasági visszaesés 2020-ra 5,2 százalékos GDP csökkenést okozott. A kormányzati intézkedéseknek köszönhetően a munkaerőpiac ellenállónak bizonyult, a háztartások fogyasztása stabilizálódott, az ipari termelés újraindult. A bérek növekedése lassult, de a fogyasztói árak csökkentek (utóbbi az olajárak csökkenésének köszönhető). Az ipar és a külföldi kereslet rugalmasságának köszönhetően a járvány második hulláma már kisebb károkat okozott. A költségvetési deficit 6,2 százaléka a GDP-nek, ami jelentősen meghaladta a várt (0,5%) értéket. A különbség okai egyebek84 mellett, a pandémia vártnál erőteljesebb negatív hatásai85 (és az őket kezelő intézkedések kiadásai és bevétel elmaradásai), egyes költségvetési tételek alulbecslése (IT, honvédelmi, igazságszolgáltatási, büntetésvégrehajtási, valamint a magáncsődkiadások is meghaladták a várt értéket) és az új gazdaságpolitika86. Az államadósság mértéke a GDP 60,6 százalékára növekedett (MoFoSR 2021).
A hazai kereslet növekedésének87 köszönhetően 2021-re részben helyreállt a GDP növekedés értéke, 3 százalékot tett ki a korábbi visszaesés után. Az államadósság elérte minden idők legmagasabb értékét, 63,1 százalékát a GDP-nek, ezzel átlépve a maastrichti szabályt. A költségvetési hiány 6,2 százalékos, a korábbi várakozásokhoz képesett alacsonyabb volt. A pandémiás kiadások fele munkaerő megtartásra fordítódott. A 2020 márciusában bevezetett intézkedéscsomag (Short Time Working Scheme vagy röviden First Aid) folyamatos változtatásával sikerül elérni, hogy a jogosultak és a juttatások száma is növekedjen. Egyösszegű támogatást kaptak azok az egyszemélyes kft-k és egyéni vállalkozók, akiknek árbevétele visszaesett vagy be kellett zárniuk a vállalkozásukat. 2021 júliusáig folytatódott a SOS támogatás is azoknak, akik nem részesedtek a First Aid-ből. Célzott támogatást kaptak a kulturális intézményekben, művészeti iskolákban, a turizmus és vendéglátás területén dolgozók és vállalkozók. A közúti szállítás veszteségére is létrehoztak egy alapot és bérletidíj-visszatérítést is adtak. A táppénz, az ápolási járadék összegét megemelték, a munkanélküli segély időtartamát meghosszabbították, a gyermeket nevelő családoknak egyszeri 333 eurós támogatást adtak, a többgyermekes családok családi pótlékját gyermekenként 100 euróra emelték októbertől. A kiadásokat növelte a koronavírus elleni vakcinák, gyógyszerek, szűrések és a COVID osztályokon dolgozó egészségügyi munkatársak extra juttatása is. A bevételi oldalon a társasági és forgalmi adó bevételek, a magasabb bérekből származó járulék és szja bevételek, az önkormányzatok javuló teljesítménye, a korábban támogatott megújuló energiaprojektek nyereségessé válása is hozzájárult a deficit csökkenéséhez. A pandémián kívüli egészségügyi kiadások mérséklődtek, de a közalkalmazottak létszámának zsugorodásától várt kiadáscsökkenést új kiadások88 megjelenése ellensúlyozta (MoFoSR 2022).
Csehország a rendszerváltozását követően kismértékű államadóssággal rendelkezett, ami mára már megkétszereződött, de még így is alacsonyabb, mint a maastrichti kritériumok által meghatározott 60 százalékos határ, így hosszú ideig nem foglalkoztak a fiskális szabályok és a független fiskális intézmények bevezetésének kérdésével. Viszonylag egyszerű fiskális szabályokat már 2000-től bevezettek, amelyek a nem várt negatív sokkhatások esetén a kiadásokra és a bevételekre vonatkozó előírásokat tartalmaztak. A következő évtől a költségvetés tervezési időszakát is kiterjesztették gördülő hároméves folyamattá. 2003-tól a pénzügyminiszter javaslatára a kabinet hozhat döntést a deficit, aggregált bevétel és kiadás, valamint a kiadási prioritások összegének célértékéről (Yläoutinen 2004). A 2017. évi fiskális jelentésükben azonban már megjelenik a fiskális intézményekre vonatkozó vizsgálat, ami azt mutatta, hogy a cseh kormánynak is érdeke valamilyen független fiskális intézmény létrehozása a jövőben (MoFoCZ 2017a). 2017 februárjától kezdve léptek életbe a hatásosabb fiskális szabályokat és intézményeket létrehozó törvények és rendeletek89 (8. táblázat).
2.5. táblázat - 8. táblázat Jelenleg érvényes fiskális szabályok Csehországban
|
Szabály |
Adósságkorlát |
Hiánykorlát |
Adósságkorlát |
|
Szektor |
Államháztartás |
Államháztartás |
Helyi önkormányzatok |
|
Mutató |
GDP-arányos államadósság |
Strukturális egyenleg a nominális GDP százalékában |
Nominális adósság a teljes bevétel százalékában |
|
Definíció |
Az államadósság nem haladhatja meg a GDP 55 százalékát. |
A kiadások maximális volumene a középtávú költségvetési célnak megfelelően alakuljon. |
Adósságukat a 4 éves bevételük átlagának maximum 60 százalékán kötelesek tartani. |
|
Jogszabályi alap |
Törvény |
Törvény |
Törvény |
|
A folyamatokat figyelemmel kísérő testület |
Független intézmény |
Pénzügyminiszter, Független intézmény |
Pénzügyminiszter |
|
A céltól való eltérést megállapító szervezet |
Független intézmény |
Pénzügyminiszter, Független intézmény |
Pénzügyminiszter |
|
Nem megfelelőségi intézkedés |
A korrekciós mechanizmus automatikusan bekapcsolódik. Vannak előre meghatározott következmények. |
A korrekciós mechanizmus automatikusan bekapcsolódik. Vannak előre meghatározott következmények. |
A korrekciós mechanizmus automatikusan bekapcsolódik. Vannak előre meghatározott következmények. |
|
Hatályos |
2017- |
2017- |
2017- |
Forrás: EC (2022) alapján saját szerkesztés
A kiadási szabály szerint az államháztartás teljes kiadása nem haladhatja meg a következő értéket: az államháztartás konszolidált bevételének előrejelzett értéke csökkentve az üzleti ciklus bevételre gyakorolt hatásával és az egyszeri vagy egyéb átmeneti intézkedések értékével, plusz a várható nominális GDP egy százaléka. A közszféra teljes kiadásainak összegét egy korrekciós komponens csökkenti, amennyiben az adott évben a kiadások értéke meghaladja az előző évi nominális GDP 2 százalékát.
Az adósságszabály szerint, ha az államadósság meghaladja a nominális GDP 55 százalékát, akkor a hosszú távú fenntarthatóság érdekében alkalmazni kell bizonyos intézkedéseket az államháztartás alrendszereinek. Ezen intézkedések közé tartozik, hogy az önkormányzatok és a régiók következő évre vonatkozó költségvetésének kiegyensúlyozottnak vagy többlettel rendelkezőnek kell lennie, a költségvetés hiánnyal is jóváhagyható, ha az Európai Uniótól származó elő- vagy társfinanszírozás miatt keletkezett. Mentesítő záradék is van a törvényhez kapcsolva, mely szerint, ha a gazdasági fejlődés jelentősen visszaesik, azaz a negyedéves szezonálisan kiigazított GDP csökkenés minimum 2 százalék vagy az utolsó negyedévben minimum 3 százalék az előző év azonos időszakához képest, továbbá, ha vészhelyzet, háború, természeti katasztrófák következményeinek megszüntetésére irányuló kiadások elérik a GDP 3 százalékát. Ha a GDP-arányos államadósság eléri a 60 százalékos értéket, akkor az adott időszaki államadósság és a 60 százalékos határ közötti eltérést minimum 5 százalékkal csökkentenie kell a kormányzatnak és a strukturális egyenlegnek évi 0,5 százalékponttal kell csökkennie évente.
Az önkormányzatokra vonatkozó fiskális szabály értelmében az adósságuk összege a mérlegfordulónapon nem haladhatja meg az utolsó négy pénzügyi évében elért átlagos jövedelmének 60 százalékát. Ha meghaladja, akkor a küszöb és a tényleges érték közötti különbséget legalább 5 százalékkal kell csökkenteni. Amennyiben az önkormányzat nem csökkenti az adósságát, akkor a minisztérium döntése alapján a következő naptári évében felfüggesztheti az adóbevételek folyósítását. Ez a felfüggesztés mindaddig tart, amíg az adósság a 60 százalékos érték alá nem csökken vagy az adott önkormányzat kéri, hogy folyósítsák az összegeket az adósság-visszafizetés érdekében. A transzparencia erősítése érdekében a pénzügyminisztérium létrehozott egy információs portált90 is (monitor.mfcr.cz/2018), amely lehetővé teszi a kormányzatról és az önkormányzatokról szóló költségvetési és számviteli információkhoz való hozzáférést.
2018-tól kezdte meg működését 2018-tól kezdte meg működését a Cseh Költségvetési Tanács (kezdetben a National Budget Council nevet használták, de Czech Fiscal Council néven ismert az intézmény manapság). A költségvetési tanács az Európai Uniós törekvésekkel összhangban bevezetett nemzeti költségvetési menedzsment reform részeként jött létre a 23/2017 Költségvetési felelősségről szóló törvény keretében. A három főből álló független szakértői testület elsődleges feladata az állami és egyéb államhoz közeli intézmények 23/2017-es törvénynek való megfelelésének értékelése. A költségvetési tanács által kiadott vélemények és jelentések iránymutatóként szolgálnak a kormány, a képviselőház és a helyi és regionális önkormányzatok költségvetési politikájának felelősségteljes tervezésében és végrehajtásában. A költségvetési tanács a nagyközösség számára is hasznos ismereteket közöl, hogy minden állampolgár megérthesse az államháztartás állapotát és fejlődésének irányát. Továbbá fontos feladata az államháztartás hosszú távú fenntarthatóságáról szóló jelentés elkészítése és a Parlament felé történő benyújtása, melyben a gazdasági és társadalmi fejlődés, foglalkozás és a nemzedékek közötti kohézió állapotára is kitér (UNRR 2018).
A visegrádi országok közül Lengyelországnak van a fiskális szabályok index alapján a második legerősebbnek ítélt91 fiskális keretrendszere, annak ellenére, hogy még nincs költségvetési tanácsa. Lengyelország Csehországhoz hasonlóan kis államadóssággal rendelkezett a rendszerváltozás idején, de a fiskális szabályok bevezetését már 1997-ben megkezdték.
2.6. táblázat - 9. táblázat Jelenleg érvényes fiskális szabályok Lengyelországban
|
Szabály |
Adósságkorlát |
Hiánykorlát |
Kiadási korlát |
Adósságkorlát |
|
Szektor |
Államháztartás |
Helyi önkormányzatok |
Államháztartás |
Helyi önkormányzatok |
|
Mutató |
GDP-arányos államadósság |
Nominális költségvetési egyenleg |
Nominális kiadás növekedés |
Adósságszolgálat rátája |
|
Definíció |
Az államadósság nem haladhatja meg a GDP 60 százalékát. |
A helyi önkormányzatok tervezett folyó kiadásai nem haladhatják meg a tervezett folyó bevételeket. Kivétel az EU-s és EFTA által még nem folyósított kiadások. |
A kiadások növekedése nem haladhatja meg a középtávú GDP-növekedést, kivéve, ha a korrekciós mechanizmus megindult. |
Az adott pénzügyi évben fizetendő kiadások nem haladhatják meg a bevételeket. |
|
Jogszabályi alap |
Alaptörvény, Stabilitási törvény |
Alkotmány vagy törvénynél magasabb jogszabály |
Törvény |
Alkotmány vagy törvénynél magasabb jogszabály |
|
A folyamatokat figyelemmel kísérő testület |
Állami számvevőszék, Parlament, Pénzügyminiszter, Független testület |
Állami számvevőszék, Parlament |
Pénzügyminiszter, Parlament, Független testület |
Kormányzati struktúra |
|
A céltól való eltérést megállapító szervezet |
Parlament, Pénzügyminiszter |
Parlament |
Független testület |
Parlament |
|
Nem megfelelőségi intézkedés |
A korrekciós mechanizmus automatikusan bekapcsolódik. Vannak előre meghatározott következmények. |
A korrekciós mechanizmus automatikusan bekapcsolódik. Vannak előre meghatározott következmények. |
Nincs előre meghatározott intézkedés. |
A korrekciós mechanizmus automatikusan bekapcsolódik. Vannak előre meghatározott következmények. |
|
Hatályos |
2014- |
2011- |
2016- |
2014- |
Forrás: EC (2022) alapján saját szerkesztés
Az elsőként meghozott adósságszabály a nominális államadósság GDP-arányos értékére vonatkozott és az állami számvevőszék és a pénzügyminiszter felügyeletére bízott szabály 2013-ig volt érvényben. 2014-ben került bevezetésre a jelenlegi adósságszabály, melynek definíciója nem változott a korábbihoz képest, csak a szabályt felügyelők és a szabály megsértése esetén alkalmazott intézkedések változtak (9. táblázat).
Magyarországon az első fiskális szabályt 1996-ban vezették be és 2011-ig volt érvényben, ez egy a helyi önkormányzatok adósságára vonatkozó korlát volt, amely meghatározta, hogy a helyi önkormányzat kötelezettségvállalásainak (kölcsönfelvétel és kapcsolódó költségek, kötvénykibocsátás stb.) éves felső határa az adósság visszafizetésére való képességgel arányos mértékű lehet. Ezt követte a 2007-ben bevezetett hiánykorlát, mely csak egy évig működött, utána 2009-től adósságkorlátot vezetettek be. A központi kormányzatra és a szociális védelemre vonatkozóan az elsődleges egyenleg nominális értékére és a reál államadósság százalékos változására vonatkozott a szabály, az ellenőrzésével független testület volt megbízva és előre nem meghatározott intézkedések kerültek volna bevezetésre a szabály megsértése esetén (EC 2017d). A „plafontörvény”92 bevezetése inkább kényszerűség mintsem választás volt, az államadósság növekedésének próbált ily módon gátat szabni. A többi visegrádi országban nem kellett ekkora mértékű államadóssággal küzdeni, ezért is lehet, hogy például Csehországban csak az elmúlt évben kerültek bevezetésre fiskális szabályok.
A „plafontörvény” felhatalmazásával Magyarországon az első költségvetési tanács 2008-ban kezdte meg működését. Egy olyan jelentős háttérszervezet kialakítására lehetőséget kapó intézmény volt, amely közjogi szerepet töltött be (csak Hollandiában és Németországban van hasonló intézmény), ugyanakkor sem szankcionálási, sem közvetlen beavatkozási lehetősége nem volt, csak a meggyőzés eszközével élhetett (Kovács 2016a, Kopits – Romhányi 2010). A törvénykezésben fordulópontot jelentett a 2010-es választás, amely után a kormányzat 2/3-os többséggel rendelkezett. 2011-től elvették az elemző apparátust a költségvetési tanácstól és működési és eljárási szabályait is módosították. Az új KT közjogi szerepe továbbra is megmaradt, de csak véleménynyilvánítási és javaslattételi jogkört kapott (Kovács 2016a).
2014-ben átalakították az adósságszabályt, jelenleg érvényes formájáról 2015-ben döntöttek. A hiánykorlát 2013-tól ismét bevezetésre került először a nominális, majd a strukturális egyenlegre vonatkozóan (10. táblázat) (EC 2017d).
2.7. táblázat - 10. táblázat Jelenleg érvényes fiskális szabályok Magyarországon
|
Szabály |
Adósságkorlát |
Hiánykorlát |
Hiánykorlát |
|
Szektor |
Államháztartás |
Államháztartás |
Államháztartás |
|
Mutató |
GDP-arányos államadósság |
Nominális egyenleg a GDP százalékában |
Strukturális egyenleg a GDP százalékában |
|
Definíció |
Mindaddig, amíg az államadósság meghaladja GDP felét, az Országgyűlés csak olyan költségvetési törvényt fogadhat el, amely az államadósság GDP-arányos csökkentését tartalmazza. |
Az államháztartás hiánya nem haladhatja meg a GDP 3 százalékát.* |
Az államháztartási egyensúlyt olyan szintre kell beállítani, amely lehetővé teszi a középtávú költségvetési célkitűzés elérését. |
|
Jogszabályi alap |
Alaptörvény, Stabilizációs törvény |
Államháztartási törvény |
Törvény |
|
A folyamatokat figyelemmel kísérő testület |
Független testület |
Pénzügyminiszter, Állami számvevőszék, Független testület |
Pénzügyminiszter, Állami számvevőszék |
|
A céltól való eltérést megállapító szervezet |
Pénzügyminiszter és független testület |
Pénzügyminiszter, Állami számvevőszék, Független testület |
Független testület |
|
Nem megfelelőségi intézkedés |
A korrekciós mechanizmus automatikusan bekapcsolódik. |
Nincs előre meghatározott intézkedés. |
Nincs előre meghatározott intézkedés. |
|
Hatályos |
2015- |
2013- |
2014- |
Megjegyzés: * Lényeges a kiegészítés, hogy különbséget kell tenni a pénzforgalmi hiánytól, amelyre nem vonatkozik közvetlen előírás, csak közvetett, az államadósság-szabályon keresztül.
Forrás: EC (2022) alapján saját szerkesztés
Az államadósságra vonatkozó szabály az Alaptörvényben van rögzítve (36. cikk):
„(4) Az Országgyűlés nem fogadhat el olyan központi költségvetésről szóló törvényt, amelynek eredményeképpen az államadósság meghaladná a teljes hazai össztermék felét.
(5) Mindaddig, amíg az államadósság a teljes hazai össztermék felét meghaladja, az Országgyűlés csak olyan központi költségvetésről szóló törvényt fogadhat el, amely az államadósság a teljes hazai össztermékhez viszonyított arányának csökkentését tartalmazza.
(6) A (4) és (5) bekezdésben foglaltaktól csak különleges jogrend idején, az azt kiváltó körülmények okozta következmények enyhítéséhez szükséges mértékben, vagy a nemzetgazdaság tartós és jelentős visszaesése esetén, a nemzetgazdasági egyensúly helyreállításához szükséges mértékben lehet eltérni”.
Az Alaptörvény rendelkezését egészíti ki a Stabilitási törvény ún. vétójogra vonatkozó 24., 25. és 25/A. paragrafusa (2011. évi CXCIV. törvény):
„24. § (1) A Kormány
a) a központi költségvetésről szóló törvény tervezetét és
b) a központi költségvetésről szóló törvény módosítását tartalmazó olyan törvény tervezetét, amely a központi költségvetés bevételi vagy kiadási főösszegét megváltoztatná vagy a költségvetési hiány mértékét növelné
[az a) és b) pont a továbbiakban együtt: tervezet] - részletes számításokkal alátámasztva - megküldi a Tanácsnak.
(2) A Tanács a tervezet kézhezvételét követő tíz napon belül a tervezetre észrevételt tehet, illetve - ha a tervezettel kapcsolatban, annak hitelességére vagy végrehajthatóságára vonatkozóan alapvető ellenvetése van - a tervezettel való egyet nem értését jelezheti.
(3) A Kormány a tervezetet a Tanács észrevételének kézhezvételét vagy a (2) bekezdésben meghatározott határidő eredménytelen elteltét követően nyújthatja be az Országgyűlésnek.
(4) Ha a Tanács a (2) bekezdésben meghatározott határidőig a tervezettel kapcsolatos egyet nem értését jelezte, a Kormány a tervezetet ismételten megtárgyalja, és azt követően nyújtja be az Országgyűlésnek. A Kormány a benyújtással egyidejűleg, a törvényjavaslat indokolásában tájékoztatja az Országgyűlést arról, hogy a Tanács észrevételei alapján milyen módosításokat hajtott végre a törvénytervezetben, illetve indokolja a Tanács észrevételeinek esetleges elutasítását. Ha a Tanács véleményében azt állapította meg, hogy a törvénytervezet szerinti kormányzati szektor egyenlege nem felel meg a 3/A. § (2) bekezdése szerinti követelményeknek, akkor a Kormány a törvényjavaslat indokolásában köteles értékelni a 3/A. § (2) bekezdése szerinti követelmények teljesítését.
(5) Az Országgyűlésnek benyújtott központi költségvetésről szóló törvényjavaslatra a Tanács észrevételt tehet.
25. § (1) A központi költségvetésről szóló törvényjavaslat tárgyalása során a Tanács az Országgyűlés elnökének a házszabályi rendelkezésekben meghatározottak szerinti tájékoztatása alapján vizsgálja a központi költségvetésről szóló törvényjavaslat az Alaptörvény 36. cikk (4) és (5) bekezdésének (a továbbiakban: államadósság-szabály) való megfelelését.
(2) A Tanács véleményét az (1) bekezdés szerinti tájékoztatás kézhezvételét követő egy napon belül – a központi költségvetésről szóló törvényjavaslathoz benyújtott módosító javaslatról történő szavazást követő első tájékoztatás esetében három munkanapon belül – írásban közli az Országgyűlés elnökével.
(3) A Tanács olyan véleményét, amelyben azt állapítja meg, hogy a központi költségvetésről szóló törvényjavaslat megfelel az államadósság-szabálynak, az elfogadáshoz szükséges előzetes hozzájárulásának kell tekinteni, ha annak a Tanács által véleményezetthez képest változatlan szöveggel való elfogadására kerül sor.
(4) Ha a Tanács véleményében azt állapítja meg, hogy a költségvetési törvényjavaslat elfogadása az államadósság-szabály megsértését eredményezné, véleményét részletesen indokolja.
(5) A Tanács (4) bekezdés szerinti véleménye alapján a Kormány a központi költségvetésről szóló törvényjavaslat államadósság-szabálynak való megfelelését biztosító módosító javaslatot nyújt be az Országgyűlésnek a Tanács (4) bekezdés szerinti véleményének kézhezvételét követő három napon belül.
(6) Az (1)-(5) bekezdés szerinti eljárást mindaddig folytatni kell, amíg a Tanács a központi költségvetésről szóló törvényjavaslat elfogadásához szükséges előzetes hozzájárulását meg nem adja. Az előzetes hozzájárulás megtagadása miatt megismételt eljárásban kizárólag a Kormány nyújthat be módosító javaslatot.”
25/A. § (1) A központi költségvetésről szóló törvény módosítását tartalmazó olyan törvényjavaslat elfogadásához, amely a központi költségvetés bevételi vagy kiadási főösszegét megváltoztatná vagy a költségvetési hiány mértékét növelné, a Tanács előzetes hozzájárulása szükséges.
(2) A Tanács a központi költségvetésről szóló törvény módosítását tartalmazó, (1) bekezdés szerinti törvényjavaslat tárgyalása során történő tájékoztatására, az Országgyűlés és a Tanács eljárására, valamint a Kormány kötelezettségére a 25. §-t kell alkalmazni”.
A vétójog alkalmazásának lehetőségére egy alkalommal kerülhetett volna sor, amikor a 2013-as költségvetés tervezetének véleményezésekor a KT a hiánycélt kifogásolta, a makropálya megalapozottságát elutasította és újat kért. Az új előterjesztésben már a módosított makropálya, hiánycél és további egyensúlyt javító bevételi és kiadási intézkedések szerepeltek így nem volt szükség a vétójogra (Kovács 2016b).
A magyar fiskális keretrendszer az egyik legszigorúbb szabályrendszer az unióban, amely a magas államadósság elleni küzdelem következményeként alakult ki, gyakorlatilag kényszerpályára került a döntéshozás az államadósság megfékezése miatt. Az adatsorokból az látszik (lásd 9. ábra), hogy 2012 óta csökkent az államadósság, ami a jól megalkotott fiskális keretrendszer következményének is tekinthető. 2020. március 11-én lépett életbe a veszélyhelyzet a koronavírus miatt93, ezzel gyakorlatilag a kormánynak nem kötelező az államadósságra vonatkozó szigorú szabályok betartása, így lehetséges, hogy az Alaptörvényben meghatározott értéknél jóval magasabb értékek ellenére sem történt jelentős kiigazítás.
Szlovákia fiskális keretrendszere hasonlóan kiterjedtté vált az elmúlt években (11. táblázat), mint Lengyelországé vagy Magyarországé. A szlovák kormányzat 2002-ben kezdte a fiskális szabályok bevetését, a helyi önkormányzatokra vonatkozó adósság- és hiánykorlát bevezetésével, amelyek közül az előbbi még érvényben van, utóbbi változatlan formában 2004-ig volt hatályos, majd 2009-től módosított formában ismét a fiskális keretrendszer részét képzi. A helyi önkormányzatokra vonatkozó adósságszabály szerint két korlátnak kell megfelelni, egyrészt a teljes adósság nominálisan nem haladhatja meg a jelenlegi költségvetési bevétel 60 százalékát (a tőkejövedelmek és a pénzügyi tranzakciókból származó bevételek nélkül); másrészt az adósságok visszafizetésének éves részletei nem haladhatják meg az előző költségvetési év bevételeinek 25 százalékát nominális értékben. A helyi önkormányzatok hiányszabálya mindezt azzal egészíti ki, hogy az önkormányzatok költségvetésének kiegyensúlyozottnak vagy többlettel rendelkezőnek kell lenniük. A tőkemérleg mutathat hiányt, feltéve, hogy ezt a hiányt az önkormányzatok az előző évekből átutalt el nem költött pénzeszközei, kölcsönök vagy a folyó költségvetés többletéből finanszírozzák az adott pénzügyi évben (EC 2017d).
2.8. táblázat - 11. táblázat Jelenleg érvényes fiskális szabályok Szlovákiában
|
Szabály |
Adósságkorlát |
Hiánykorlát |
Adósságkorlát |
Hiánykorlát |
|
Szektor |
Helyi önkormányzatok |
Helyi önkormányzatok |
Államháztartás |
Államháztartás |
|
Mutató |
Az adósságplafon és a felső korlát a visszafizetésekre, az előző költségvetési évben a bevétel százalékában, nominális értékben. |
GDP-arányos költségvetési egyenleg |
GDP-arányos államadósság |
Strukturális egyenleg a GDP százalékában |
|
Definíció |
A helyi és regionális önkormányzatoknak hitelfelvételi limitjei vannak. |
Az önkormányzatok költségvetésének kiegyensúlyozottnak vagy többlettel rendelkezőnek kell lenniük. |
A bruttó államadósság nem haladhatja meg a speciális küszöbértékeket. |
Az államháztartás strukturális hiánya egyenlő vagy alacsonyabb, mint a GDP 0,5 százaléka. |
|
Jogszabályi alap |
Törvény |
Törvény |
Alkotmány vagy törvénynél magasabb jogszabály |
Törvény |
|
A folyamatokat figyelemmel kísérő testület |
Pénzügyminiszter, Független testület |
Pénzügyminiszter, Független testület |
Pénzügyminiszter, Független testület |
Pénzügyminiszter, Független testület |
|
A céltól való eltérést megállapító szervezet |
Pénzügyminiszter |
Pénzügyminiszter, Független testület |
Pénzügyminiszter |
Pénzügyminiszter, Független testület |
|
Nem megfelelőségi intézkedés |
A korrekciós mechanizmus automatikusan bekapcsolódik. |
A korrekciós mechanizmus automatikusan bekapcsolódik. |
A korrekciós mechanizmus automatikusan bekapcsolódik. Vannak előre meghatározott következmények. |
A korrekciós mechanizmus automatikusan bekapcsolódik. Vannak előre meghatározott következmények. |
|
Hatályos |
2002- |
2005- |
2012- |
2014- |
Forrás: EC (2022) alapján saját szerkesztés
Az államháztartásra vonatkozó adósságszabályt 2012-ben vezették be, ezt követte a hiánykorlát 2014-ben és a kiadási korlát 2016-ban. A hatályos adósságszabály szerint az alkotmányos költségvetési felelősségről szóló törvény meghatározza az államháztartás bruttó adósságának küszöbértékét, amelynek túllépése esetén a Parlament bizalmi szavazást kezdeményez. Négy küszöbintervallum van: 50-53 százalék 53-55 százalék 55-57 százalék és 57-60 százalék. A legmagasabb adósságküszöb 2017-ig a GDP 60 százaléka volt, azt követően minden adósságintervallum évente egy százalékponttal csökken, amíg a legmagasabb adósságráta 2027-re el nem éri a GDP 50 százalékát. 2018-ban a felső küszöb a GDP 59 százaléka, a második küszöb a GDP 56 százaléka, és így tovább. A szankcionálási mechanizmusok első szakasza lehetővé teszi a kormányzat számára az adósságszint csökkentésére irányuló saját intézkedéseket. Ha ezek nem elegendőek, és az adósság eléri a felső küszöb alatti GDP 5 százalékának megfelelő értéket, akkor a törvény szerint a költségvetésre vonatkozó szigorúbb szabályok lépnek életbe, főleg a kiadási oldalon. Mivel ebben az esetben a cél az államháztartás adósságának stabilizálása, ezért ebben a szakaszban már az önkormányzatokra is vonatkoznak a szankciók (CBR 2013).
Beépítésre került egy mentesítő záradék, amely olyan eseteket sorol fel, amikor felmentés jár a szankciók alól. Ilyen helyzet a háborús időszak alatt vagy a választási utáni első két évben nem kell alkalmazni azokat a szankciókat, amelyek a felső adósságkorlátnál lépnének életbe. Az utóbbi célja annak biztosítása, hogy az új kormánynak ne kelljen a korábbi határozatok miatt bűnhődnie. A szankciók kivételesen heves és hirtelen recesszió esetén alkalmazhatók, de csak átmenetileg, 36 hónapon keresztül, ezen kívül, ha a közkiadások a természeti katasztrófák, a bankszektor feltőkésítésének vagy a nemzetközi szerződésekből eredő kötelezettségek teljesítésének biztosítására szolgálnak és összegük ugyanazon éven belül eléri a GDP 3 százalékát (CBR 2013).
Az államháztartásra vonatkozó hiánykorlát, alapvetően az államháztartás strukturális hiánya maximum a GDP 0,5 százaléka lehet. Ha az államadósság jelentősen alacsonyabb, mint a GDP 60 százaléka és a hosszú távú fenntarthatósági kockázatok alacsonyak, akkor a strukturális deficit nem haladhatja meg a GDP egy százalékát (EC 2017d).
A szabályrendszer működésének hatékonyságát segítő, ellenőrző szervet, költségvetési tanácsot is létre hoztak, közjogi besorolását tekintve független szervként működik. A fiskális felelősségről szóló 493/2011 számú Alkotmány szerint a CBR négy kiemelt területtel foglalkozik, melyek közül az első az államháztartás hosszú távú fenntarthatóságáról szóló jelentés elkészítése. A második a beszámoló készítése a Parlament számára a költségvetési felelősség és a költségvetési átláthatóság szabályainak való megfelelésről. Továbbá véleményt készíthet a parlamenthez benyújtott jogalkotási javaslatokról és végül az államháztartás alakulásának nyomon követésével és értékelésével kapcsolatos egyéb tevékenységet is végez, például tájékoztatást nyújt a potenciális kockázatokról, alternatív forgatókönyvet mutat be vagy módszertant fejleszt az államháztartás vizsgálatához használható mutatókhoz.
A fiskális keretrendszert erősítendő, az államháztartásra és a helyi önkormányzatokra vonatkozó szabályokat 2016-tól kiegészítették a központi költségvetésre vonatkozó kiadási korláttal, mely szerint az államháztartási törvényben nem szereplő kiadásokat csak akkor lehet végrehajtani, ha azok teljes összege nem haladja meg a költségvetési törvényben jóváhagyott összes kiadás 1 százalékát, és nem növelik a hiányt. A törvény lehetővé teszi a kiadások növekedését a „jó idők”-ben, kezdetben a szabály 15 százalékos határt szabott meg (EC 2017d).
A visegrádi országok specialitása a kilencvenes évek nagy részét felölelő tranzíciós folyamat, amelyben a teljes intézményrendszert át kellett alakítaniuk a piacgazdaság és a későbbi Európai Uniós csatlakozás kívánalmainak megfelelően. Az egykori keleti blokk többi országához viszonyítva képesek voltak megfelelni ennek. Mindeközben a korábbi rendszertől örökölt, illetve az átalakulás sokkja nyomán létrejövő államadósságot is menedzselniük kellett. Ez a példátlan, sokszor kormányzati ciklusokon átívelő konszolidációs feladat egyaránt szólhatott mind a napi működőképesség fenntartásáról mind a hosszú távú stratégiai célok eléréséről. Ilyen feltételek mellett fennállhatnak az államadósság fenntarthatóságának megvalósulását gátló feszültségek.
A visegrádi országok kis nyitott gazdaságok, amelyek esetében az államadósság alakulása nem csupán a fiskális politika fegyelmezettségén, de külső tényezőkön is múlott és múlik, ezért várakozásaim szerint a reálkamat, a reál effektív árfolyam és az infláció is hatást fog gyakorolni az államadósságra így a fiskális fenntarthatóságra. Utóbbival kapcsolatosan ki kell emelni a rendszerváltozás okozta kényszerpályát is, hiszen a piaci árképzés megjelenése miatt megugró infláció, a kötött devizagazdálkodás felszámolásával járó deviza leértékelések, a külkereskedelem nyugati irányba történő re-orientációja és a gazdasági átalakuláshoz köthető recesszió, munkanélküliség és bankkonszolidáció mind-mind a fiskális politika mozgásterét korlátozták.
Az empirikus vizsgálatba bekerült mutatókból azt lehet leolvasni, hogy a vizsgált időszak során több esetben is megfigyelhető az országok egyes adatsorainak különböző tendenciája, de fontos kiemelni, hogy sok esetben még az időszakok közben is tapasztalhatók voltak csökkenések és növekedések, így nehéz volt megállapítani, hogy milyen irányú a változás az adott időszakban (12. táblázat). Az általam kiválasztott mutatók változatossága ellenére az országok pénzügyi rendszeréről Farkas (2017) megállapította, hogy azonos klaszterbe sorolhatók, tehát érdemes lefolytatni az empirikus vizsgálatot. Továbbá azt is megállapíthatjuk, az időszakok összehasonlításában, míg az 1995-2001 időszakban az államadósság és a deficit tekintetében megfigyelhető a magyar-lengyel és cseh-szlovák tendenciák ellentétes volta, ami természetesen az országok sajátosságaiból fakadnak, addig a 2013-2017-es időszakban már egyértelműen látszik, hogy mindegyik ország törekszik a fiskális fenntarthatóságra.
2.9. táblázat - 12. táblázat A visegrádi országok empirikus vizsgálatba bevont mutatóinak alakulása (1995-2022)
|
Időszak | |||||
|
Mutató |
1995-2001 |
2002-2007 |
2008-2012 |
2013-2018 |
2019-2022 |
|
Államadósság |
HU PL |
SK |
HU |
CZ HU PL SK |
CZ HU PL SK |
|
CZ SK |
CZ HU PL |
CZ PL SK | |||
|
Deficit |
HU PL |
CZ PL SK |
HU |
CZ HU PL SK |
CZ HU SK |
|
CZ SK |
HU |
CZ PL SK |
PL | ||
|
Kamatláb |
CZ HU PL SK |
SK |
CZ HU PL SK |
CZ HU SK | |
|
CZ HU PL SK |
CZ HU PL |
PL | |||
|
Árfolyam |
PL |
CZ HU PL |
HU SK | ||
|
CZ HU PL SK |
CZ HU PL SK |
CZ HU SK |
SK |
CZ PL | |
|
GDP növekedés |
HU |
CZ PL SK |
CZ HU PL SK |
CZ HU PL SK | |
|
CZ PL SK |
HU |
CZ HU PL SK | |||
|
Infláció |
CZ HU PL SK |
PL SK |
CZ HU |
CZ HU PL SK |
CZ HU PL SK |
|
CZ HU |
PL SK | ||||
|
Fizetési mérleg |
CZ SK |
CZ PL SK |
CZ HU PL SK |
CZ HU PL |
CZ HU PL SK |
|
HU PL |
HU |
SK | |||
|
Foglalkoztatás |
HU |
PL SK |
HU PL |
CZ HU PL SK |
HU PL SK |
|
CZ PL SK |
CZ HU |
CZ SK |
CZ |
Megjegyzés: az országok két betűs nemzetközi rövidítéseit használtam, adott mutató esetében a dőlt betű a csökkenést, a félkövér betű a növekedést, míg a normál típusú betű a mérsékelt változást mutatja
Forrás: saját szerkesztés
A bevételi és kiadási szerkezet alakulására vonatkozóan összességében megállapítható az országokról, hogy ha a költségvetési deficit tartós növekedését tapasztalták, akkor bevezetettek valamiféle kiadáscsökkentő és bevétel ösztönző intézkedéseket, melyek változó sikerrel jártak.
Az államadósság alakulásával kapcsolatos folyamatok alapján a fiskális fenntarthatóságra vonatkozó várakozásaim szerint az államadósság mértékéből az feltételezhető, hogy Csehország, Lengyelország és Szlovákia fenntartható fiskális politikát folytatott a vizsgált időszakban. A magyar fiskális politika 2012-es év óta jelentős erőfeszítéseket tett a hitelesség irányába, de a 1995-től terjedő időszak egészét tekintve az államadósság szintje egyes időszakokban nem a fenntarthatóság irányába fejlődött, ezért valószínűsíthető, hogy az empirikus vizsgálatban lesznek olyan időszakok, amikor nem lehet fenntarthatónak tekinteni a fiskális politikát.
2.10. táblázat - 13. táblázat A visegrádi országok fiskális keretrendszere (2022)
|
Adósság- szabály |
Hiány- szabály |
Kiadási- szabály |
Hiány-szabály (önkormányzat) |
Adósság (önkormányzat) |
FFI | |
|
Csehország |
X (m) |
X |
X |
X | ||
|
Lengyelország |
X |
X |
X |
X | ||
|
Magyarország |
X (m) |
XX |
X | |||
|
Szlovákia |
X (m) |
X |
X |
X |
X |
Megjegyzés: az X-ek a jelenleg érvényes szabályt mutatják, a (m) a mentesítő záradék létére utal.
Forrás: saját szerkesztés
A fiskális fenntarthatóságról szóló kutatásban a fiskális keretrendszer vizsgálata elengedhetetlen. Sajnos az adatsorok hossza miatt empirikus vizsgálatot nem tudtam végezni a fiskális szabályok és fiskális intézmények hatásáról, de egy szintézis kirajzolódik (13. táblázat). Megfigyelhető, hogy mindegyik országban van adósság szabály (ez EU tagként természetesnek mondható), és Csehország kivételével mindegyik országban van valamilyen mentesítő záradék is. Az egész államháztartásra vonatkozó kiadási szabály Csehországban és Lengyelországban működik, míg Szlovákiában és Magyarországon hiányszabály van érvényben. Külön az önkormányzatokra vonatkozóan Lengyelország és Szlovákia hiányszabályt és adósságszabályt is alkalmaz, míg Csehországban csak adósságszabály van. A szabályok minőségének javulása a 2007-2008-as válság után, 2010-től figyelhető meg leginkább (10. ábra).
Forrás: EC (2022) alapján saját szerkesztés
Független fiskális intézmény Lengyelország kivételével mindegyik országban működik. Magyarország esetében a költségvetési tanács közjogi szerepe is hozzájárul a fiskális keretrendszer erősítéséhez. A keretrendszer fejlődését a korábbi években felhalmozott és fenntarthatatlansággal fenyegető államadósság szint indukálta. A többi visegrádi ország esetében az államadósságtól való félelem kevésbé ösztönözte a szabályok megalkotását, inkább a Stabilitási és Növekedési Egyezmény és módosításainak való megfelelés ösztönözte a szabályok bevezetését és fejlesztését.
A visegrádi négyek közül Magyarország gazdaságpolitikáját szemlélve megállapíthatjuk, hogy kiemelkedő teljesítményt nyújtott az elmúlt években a fiskális fenntarthatóság előmozdítása irányába. Ahogy Matolcsy és Palotai (2016) tanulmánya is rávilágít, az inflációs célkövetés 2001-es bevezetését követően 12 évig nem volt meg a fiskális és a monetáris politika összhangja, aminek hiánya a köztük fennálló szoros kapcsolat és kölcsönhatás miatt jelentős károkat okozott a magyar gazdaságnak. 2013 után azonban a fiskális és monetáris politika összehangolása megtörtént, így nemcsak a fiskális fenntarthatóság, hanem az egész magyar gazdaság makrogazdasági folyamatainak (reálnövekedés, infláció, foglalkoztatottság, államháztartási hiány, külső és belső eladósodottság, sérülékenység, kockázati megítélés) tartós javulása következhetett be a koronavírus-válságig (2020).
Tartalom
A közgazdasági elméletek logikai konzisztenciáját főleg a matematikai eszközök biztosítják (Hild 2000). A fiskális fenntarthatóság mérésére is számos módszer és modell áll rendelkezésre. A kezdeti modellek egyszerűbbek voltak, de idővel a kutatók a statisztika módszertanának segítségével egyre bonyolultabb összefüggéseket is ki tudtak mutatni. A makroökonómiai háttér alapul szolgál a mutatók és mérőszámok értelmezéséhez. A fiskális fenntarthatóságot kétféle módszerrel szokták elemezni egyrészt fenntarthatósági tesztekkel, másrészt fenntarthatósági indikátorokkal. A mutatószámok közül a leggyakrabban, valamint az empirikus vizsgálatban is használt mutatószámok kerülnek kifejtésre.
Zárt gazdaságot feltételezve, a neoklasszikusok elméletének alapköve az árak szabad mozgása, ami biztosítja minden piacon az egyensúly létrejöttét, állami beavatkozás nélkül is. Tehát nincs szükség állami beavatkozásra, mert az torzítja a gazdaság működését. Barro (1989) szerint a munkakínálat növeléséhez való hozzájárulása miatt a kínálati oldali gazdaságpolitika hatásos, hiszen, ha változatlan termelési függvény mellett növekszik a munkakínálat, növekedhet a kibocsátás (kínálat) és az egyensúlyi jövedelem is. A neoklasszikus keretbe fokozatosan épült be az optimális fiskális politika vizsgálata (Kotosz 2016). Keynes szerint az állami beavatkozás a keresleti oldal élénkítésén keresztül jótékony hatással van a gazdaság működésére. A kormányzati kiadások növelésével keresletet teremt, és a rendelkezésre álló jövedelemadókon és transzfereken keresztüli befolyásolásával is hatást gyakorol az összkeresletre. A monetaristák a neoklasszikusok és a keynesi elméleteket ötvözik. Elismerik a gazdaságpolitika hatásosságát rövid távon, de az árak merevségét nem fogadják el, a racionális várakozások helyett az adaptív várakozások mellett érveltek (14. táblázat).
3.1. táblázat - 14. táblázat Kiemelt közgazdaságtani iskolák elméletei az árakról és a kormányzati beavatkozásról
|
Neoklasszikusok |
Keynesisták |
Monetaristák | |
|
Árak |
rugalmasak |
rugalmatlanok |
rugalmasak |
|
Kormányzati beavatkozás |
nem szükséges (kínálati oldal a fontos) |
szükséges (keresleti oldal erősítése) |
szükséges rövid távon (adaptív várakozások) |
Forrás: Barro (1989) és Kotosz (2016) alapján saját szerkesztés
Az újklasszikusok Prescott vezetésével a Ramsey-modell sztochasztikus jellemzőinek vizsgálatával foglalkoztak, amelyet reál üzleti ciklusok modelljének (Real Business Cycle, RBC) neveztek el. Három területen folytattak vizsgálatokat: mikroökonómiai alapok, általános egyensúlyelmélet és a tökéletlenségek kiküszöbölhetősége. Az új-keynesi gondolkodásban a korábbi alapok éltek tovább, de a tökéletlenségek vizsgálata (nominális rigiditás, hatékony bérek, hitelpiaci korlátok) került a középpontba. Modelljeik parciális egyensúlyi szemléletűek. Az új növekedéselméleti nézet követői nem foglalkoztak több területtel (például ingadozások), inkább csak a növekedésre koncentráltak. Egy közös vízió alakult ki az elméletekből, az újklasszikusok módszertani eszközei váltak uralkodóvá, ugyanakkor az új-keynesiánusok a tökéletlenségeket emelték vissza az alapmodellbe (Blanchard 2014).
Barro (1974) az együttélő-generációk modelljében vizsgálta, hogy az államadósság növekedése érzékelhető a háztartások jólétének növekedésében. Kimutatta, hogy az államadósság és adófizetési kötelezettség kockázatokat generál és az államkötvények kockázatainak emelkedése révén a háztartások kockázatait is megemeli. Az adórendszer, a tranzakciós költségek és a magánbiztosítások hatással vannak a kockázatok és a háztartások mérleg kapcsolatára. De a végső következtetés, hogy nincs meggyőző elméleti alap az államadósság marginális szinten tartásának szükségességéről a háztartások jólétének biztosításához.
A keynesi IS-LM modell kis, nyitott gazdaságok történő kiterjesztése a Mundell-Fleming modell. Mivel napjainkban az országok többsége lebegő árfolyamrendszert használ, ezért részletesen e modelltípus működésére érdemes kitérni. A kormányzat, mint a zárt gazdaság esetén, a kis nyitott gazdaságokban is a kormányzati vásárlás vagy adó változtatással avatkozik be a gazdasági folyamatokba. Tegyük fel, hogy expanzív fiskális politikának a hatására IS* görbe eltolódik jobbra (11. ábra), ami a jövedelmet változatlanul hagyja, de az árfolyam emelkedését vonja maga után. Előbbi oka, hogy a nyitott gazdaságban a kamatláb adottság (világpiaci kamatláb az érvényes), ami egyetlen egyensúlyi jövedelmet határoz meg. Utóbbi folyamatért a csökkenő nemzeti megtakarítás és a nettó külföldi beruházás a felelős, ami az árfolyam emelkedését okozza. A nettó export visszaesik az árfolyam emelkedés miatt, ami a belföldi kereslet bővülését is ellensúlyozza. Az expanzív fiskális politikát csak nagymértékű felértékelődés és nettó export csökkenés képes kompenzálni (Mankiw 2005).
Forrás: Mankiw (2005) alapján saját szerkesztés
Carlberg és Hansen (2013) monográfiájukban sorra veszik azokat a neoklasszikus növekedési elméleteket, amelyek a fenntartható és optimális államadóssággal foglalkoznak. Kezdetként bemutatják a zárt gazdaságban a Solow modell működését, majd az együtt élő generációk elméletét és a végtelen időhorizontot feltételező modellt. Majd rátérnek a kis nyitott gazdaságokra, először a Solow modell szerinti működést feltételezve, majd az együtt élő generációk modellkeretben vizsgálódva. Összegzésként megállapítják (15. táblázat), hogy a kormányzat három eszközt képes irányítani: a kormányzati kiadásokat, a költségvetési deficit rátáját és az adókulcsokat. A kormányzati kiadások időben exogénnek tekinthetők, ezért a kormányzat kétféle stratégiát folytathat: rögzített deficit ráta vagy adóráta. Ha a kormányzat az előbbit választja, akkor a kormányzat költségvetési korlátjában az adókulcs endogénné válik. Másrészt, ha a fix adókulcsokat választja, a deficit válik endogénné.
Ha a kormányzat fix deficittel dolgozik, akkor a ráta növekedése csökkenti az egy főre jutó beruházást és tőkeállományt. A deficitnek létezik egy kritikus értéke, ha a deficit alatta marad a kritikus értéknek, akkor a hosszú távú egyensúly stabil lesz. Amint a hiány meghaladja a kritikus értéket, akkor a hosszú távú egyensúly nem tartható fent. Magas deficit esetén a hiány további növekedése az egy főre jutó tőkeállományt nullára csökkentheti. Létezik egy optimális deficit ráta, ahol a teljes fogyasztás és kormányzati vásárlás egy főre jutó értéke maximális. Amikor a megtakarítási ráta elég nagy, akkor az optimális deficit ráta pozitív. Ebben a helyzetben a kormányzatnak kölcsönöznie kell a magánszektortól a tőkeképződés visszatartása érdekében. Ezzel szemben, ha a megtakarítási ráta kicsi, akkor az optimális deficit ráta negatív lesz. Ilyenkor a kormányzatnak kölcsönöznie kell a magánszektort a tőkefelhalmozás ösztönzése érdekében. Gyakorlatilag, kormányzati hitelt kell nyújtania. Ennek eredményeként a fix deficit ráta általában fenntartható.
3.2. táblázat - 15. táblázat A kormányzati stratégiák és a fenntarthatóság kapcsolata
|
Gazdasági modell |
Rögzített egy főre jutó deficit |
Rögzített egy főre jutó adó |
|
zárt gazdaság (Solow modell) |
fenntartható |
nem fenntartható |
|
zárt gazdaság (együtt élő generációk modellje) |
fenntartható |
nem fenntartható |
|
nyitott gazdaság (Solow modell) |
fenntartható |
nem fenntartható |
|
nyitott gazdaság (együtt élő generációk modellje) |
fenntartható |
nem fenntartható |
Forrás: Carlberg és Hansen (2013) alapján saját szerkesztés
Ha a kormányzat fix adókulcsokat szeretne, akkor a hosszú távú egyensúlynak érvényesülnie kell. Kezdetben egyensúlyban lévő költségvetésben, az adókulcsok csökkentésével a deficit mértéke növekszik, így csökken az egy főre jutó beruházás is. Hosszú távon az egy főre jutó államadósság mértéke felrobban, ami az egy főre jutó tőkeállományt nullára csökkenti. Kivételt képez az az eset, amikor a megtakarítási ráta nagyon magas, és ha a deficit extrém alacsony, akkor két hosszú távú egyensúly jöhet létre, az egyik stabil, míg másik nem. Továbbá létezik egy optimális adóráta, ami maximalizálja az összes fogyasztást és kormányzati kiadás egy főre jutó értékét. Amikor a megtakarítási ráta eléggé nagy, akkor az optimális adókulcs a vásárlási ráta alatt marad. Viszont amikor a megtakarítási ráta alacsony, az optimális adókulcs meghaladja a vásárlási rátát. Mindezekből az következik, hogy a fix adókulcs általában nem fenntartható (Carlberg – Hansen 2013).
A fiskális fenntarthatóság méréséhez szükség van az alapvető mérés során használt mutatók közötti összefüggések, kapcsolatok bemutatására. Empirikus vizsgálatokat először az államadósságra ható tényezők közötti kapcsolatok vizsgálatával kezdem. Mivel makrogazdasági adatokkal dolgozom, ezért a változók között összefüggés feltételezhető (Ramanathan 2003). Az államadósság mértékét befolyásoló tényezőket szemlélteti a 7. melléklet ábrája, amely összegzésként szolgál a feltételezett kapcsolatok tekintetében.
A leggyakrabban használt mutatók az államadósság és az elsődleges egyenleg, közöttük azonban nemcsak egyirányú hatás lehet, hanem kölcsönös is. Ebben a kontextusban akkor nevezhető fenntarthatónak az államadósság, ha a múltbeli adatok alapján bizonyítható, hogy az államadósság növekedésének hatására a költségvetés pozíciója javul, ezzel megakadályozza, vagy legalábbis lassítja a további eladósodást (Tóth 2014).
Az államadósság mennyisége befolyásolja az utána fizetendő kamatkiadások mértékét is. Egy nagyobb adósságállománnyal rendelkező országban nagyobbak a kamatkiadások is. A kamat mértékét a kockázatok, a várakozások, a kockázati felárak mind befolyásolják. A GDP-arányos államadósságot alapvetően a következő négy változó befolyásolja: a költségvetés elsődleges egyenlege, a reálkamatok és a reálárfolyam, a gazdasági növekedés és egyéb tényezők (Hoffmann 2011).
A GDP-arányos államadósság megmutatja az adósságteher nagyságát a gazdaság teljesítményéhez viszonyítva. Mértékének növekedéséből a jövő terhére történő költekezésre lehet következtetni. Változását az adósság kiinduló szintje, az államháztartás hiánya, a gazdaság növekedése és az árszínvonal emelkedése is befolyásolja (Czeti – Hoffmann 2006). Egy egyszerű reálmodellben az adósságpálya lefutását a reálkamatok, az elsődleges egyenleg és a gazdasági növekedés határozza meg. Fontos azonban kiemelni, hogy az alacsony GDP-arányos államadósság nem szükséges és nem elégséges feltétele annak, hogy az országban nem alakul ki államcsőd94, amelyre bizonyíték Argentína 1995-ös és Oroszország 1998-as válsága.
Gazdasági növekedésnek95 a nemzetgazdasági teljesítmény időbeli változását nevezzük. A gazdasági növekedés gyorsítása minden ország gazdaságpolitikájának célkitűzései között szerepel, mert növeli a foglalkoztatottság szintjét, a társadalom egyéni és kollektív fogyasztását, javítja életkörülményeit, csökkenti a szociális feszültségeket és megalapozza a gazdaság jövőbeli fejlesztéseit. Természetesen nem szabad a kormányzatoknak túlzásba esni a gazdasági növekedés gyorsítása érdekében, mert az más gazdaságpolitikai célok megvalósulását is akadályozhatja, instabillá teheti a gazdaságpolitikai célrendszert (kivéve az ún. helyreállítási periódus időszakát). A növekedés határa ott van, ahol már hatékonyság96 veszteségek, egyensúlyi zavarok, strukturális aránytalanságok lépnek fel a rendszerben (Stark 2002).
A gazdasági növekedés biztosíthatja az államadósság kedvező keretek közé szorítását. Ha a bevételek növekednek és a kiadások bevételek növekedésének szintje alatt tarthatóak, akkor a gazdasági növekedés által a kamatfizetés nélküli elsődleges egyenleg javulna. Mindezt némiképp ellensúlyozná a kamatok emelkedése. Az adósságszolgálat megtagadása vagy hiperinfláció gerjesztése súlyos károkat okozna a gazdaságoknak, ezért a költségvetési kiigazítások és megszorítások, ad hoc reformok97 szükségesek: kiadáslefaragások, adó bevezetés, nyugdíj, egészségügy és oktatás finanszírozási reformok nyújtanak lehetőséget az államadósság féken tartására (Tarafás 2016).
A GDP növekedés és az államadósság közötti kapcsolatot vizsgálta Reinhart és Rogoff (2010a), akik megállapították, hogy 90 százalékos GDP-arányos adósságig az adósságszint emelkedés növeli a GDP-t, míg e küszöb felett a növekvő adósságállomány csökkentőleg hat rá. A gondolatmenetet tovább tesztelve Reinhart és Rogoff (2010b) 20 fejlett országra több mint 200 éves időintervallumra végzett kutatásukban megállapították, ha a külső államadósság/GDP mutató 30 százalék alatt van, akkor az átlagos GDP-növekedés 3,7 százalékra tehető. Ha a GDP-arányos államadósság 30 és 60 százalék között volt, akkor az átlagos GDP-növekedés 3 százalékos értékre esett. Ha 60 és 90 százalék között mozgott az államadósság/GDP mutató, akkor az átlagos gazdasági növekedés 3,4 százalékot ért el, míg, ha a GDP több mint 90 százalékát meghaladta az államadósság szintje, akkor a reál GDP-növekedése alig 1,7 százalék volt. Ha a vizsgált 24 fejlődő ország értékeit nézzük a különböző intervallumok esetén, a következő értékeket kapjuk rendre: 4,3; 4,1; 4,2; és 1 százalék. Ezek az eredmények több közgazdászban is kétségeket ébresztettek.
Herndon és szerzőtársai (2014) újra lefolytatták 1946 és 2009 közötti időszakra, 20 fejlett országra Reinhard és Rogoff tesztjeit, és megállapították, hogy szelekciós, kódolási, súlyozási és számolási hibát is vétettek a szerzők. A kilencven százalékos küszöbérték felett a reál GDP növekedés 2,2 százalék lett. Továbbá kimutatták, hogy nincs nagy különbség a küszöbérték alatti vagy feletti adósságállománnyal rendelkező országok átlagos és medián GDP növekedésében. Az államadósság és a GDP növekedése jelentősen különbözött országonként és időszakonként, ezért cáfolják Reinhart és Rogoff azon állítását, hogy a GDP 90 százaléka feletti államadósság következetesen csökkenti az ország növekedését. Barcza (2015)98 felhívja a figyelmet, hogy a köztudatban elterjedt értelmezés, mely azt emeli ki a cikkből, hogy a 90 százalék feletti államadósság-ráta visszafordíthatatlan és fenntarthatatlan adósságpályához vezet, téves. Hiszen a cikk célja az államadósság és gazdaságsági növekedés (lassulás) kapcsolatának vizsgálata. Reinhart és Rogoff (2010b) azt állították, hogy a fejlett országokban az infláció és az államadósság szintje között nincs kapcsolat, de a feltörekvő országok inflációja meredeken emelkedik az államadósság növekedése esetén. Ábel és Kóbor (2011) arra is felhívja a figyelmet, ha valamilyen felső korlátot akarunk meghatározni a GDP-arányos államadósságra vonatkozóan, akkor a döntéshozók számára elfogadható megbízhatósági szinten tartható adósságplafont és ehhez kapcsolódó adósságpályát kell tervezni. Továbbá a tervezés során figyelembe kell venni a kockázatokat és a nem kizárható eseményeket is.
Az államadósság küszöbértékeit vizsgálva Fournier és Fall (2017) megállapítják, hogy egy nem-lineáris válaszfüggvénnyel felírt elsődleges egyenleg növekedése növeli a becsült államadósságot és megerősíti a fiskális kifáradás (fiscal fatigue99) kialakulását. A becslések a GDP 120 százaléka környékén mutattak erőteljes államadósság növekedést és 170 százalékos szintnél a fiskális kifáradás kialakulását, ahol az elsődleges egyenleg válaszok már növelték az adósságcsökkenést. A 31 OECD országot vizsgálva az államadósság küszöbértékéről (debt limit) megállapították, hogy állapotfüggő és a kormányzat viselkedése, a monetáris politika, a piaci reakciók és a növekedési kilátások vannak rá leginkább hatással. Továbbá, hogy az euróövezeti országok államadósságai sokkal érzékenyebbek a kamatváltozásokra, mint a nem-euróövezeti országoké100.
Greiner és Fincke (2015) tanulmányukban negatív kapcsolatot mutattak ki a GDP-arányos államadósság és a növekedési ráta között. Panel becslés módszerével megállapították, hogy ez a kapcsolat szignifikánsan negatív bármely általuk vizsgált (1,3 és 5 éves) időintervallumban, kisebb mértékű, de még mindig szignifikáns negatív kapcsolatot kaptak kontrollváltozók beiktatásával.
Azokban az országokban, ahol alacsony az államadósság, a kamatkiadások is alacsonyabbak. A magas államadósság determinálja a későbbi kiadási szinteket is, melyek fedezésére a bevételek növekvő hányadát kell fordítani. A magasabb bevétel elérése adóztatással, vagy ha már a hazai megtakarítások nem elegendők, az eladósodottság kezelése külföldről történő finanszírozással lehetséges, ami a fizetési mérleg romlásához vezet. A megtakarítások csökkenése növelően hat a reálkamatokra, ami a magánberuházások apadását okozza, csökkentve a tőkeállományt, a potenciális kibocsátást és a foglalkoztatottságot (Orbán – Szapáry 2006). Ezt a megállapítást támasztja alá Martínez Carrera és Vergara (2012) is, akik megállapítják, hogy a reálárfolyam változása, különösen a leértékelődése nemcsak a külföldi devizában denominált adósságállomány értékét változtatja meg, hanem hatást gyakorol a magasabb GDP-arányos államadósság magasabb kamatlábakra, a potenciális GDP növekedésére, az elsődleges egyenleg romlására és így a fiskális fenntarthatóságra is. Ezen folyamat végén negatív spirálba kerülhet az ország (Török 2011). Az adósságfinanszírozás költségei a kockázati felár csökkenésével mérséklődhetnek, amelynek eszköze a hosszú távú hozamok tartós ereszkedése. Mindezt a transzparens, prudens és fenntartható költségvetési politika támogatásával lehet megvalósítani.
Az államadósságra ható egyéb tényezők közül a tanulmányok többsége kiemeli az infláció és a folyó fizetési mérleg egyenlegének hatását. A folyó fizetési mérleg a külső adósságállományra van hatással. Keynesi keretben a versenyképesség csökkenésével a fizetési mérleg hiánya növekszik, ami csökkentőleg hat az aggregált keresletre, ami szükségszerűen a költségvetési kiadások, az államadósság és a kamatok növekedéséhez vezet, ami a külső egyenleg további romlását okozza (Holmes 2006). A folyó fizetési mérleg hiány növekedését a periféria országokban a hazai kereslet, a hitel felfutás, a pénzügyi ciklus generálja, kevésbé az árak versenyképessége (Semmler – Tahri 2017). A dél-európai országok (és Írország) jelentős folyó fizetési mérleg hiányt halmoztak fel a válság előtti években, míg az északi euró övezeti országok többlettel rendelkeztek, így válva a rendszer hitelezőivé. A déli államok a válság során, a hirtelen likviditási sokk hatására az északiak pénzügyi támogatására szorultak, ami kemény megszorító intézkedések bevezetését kényszerítette rájuk. De Grauwe (2016) szerint az egyensúlytalanságokért mind az adós, mind a hitelező államok felelősek. Előbbieknek nem szabadott volna ilyen sok hitelt felvenni, míg utóbbiak nem engedhették volna ezt nekik.
Az államháztartás egyenlegére az infláció kétféleképpen hat, egyrészt az inflációs adóból származó jövedelemhez jut az államháztartás, másrészt a belső adóssága után fizetendő kamatnak kompenzálnia kell az inflációt, s a költségvetési intézményeknek is az így jelentkező többletkiadást – legalább részben, ami többletkiadást jelenthet (Erdős 1999). Az alacsony infláció és egyensúlyban lévő államháztartás hozzájárul a fenntartható növekedéshez. Az infláció mérséklődésével kisebb kamatlábak és kockázatok érhetők el. A költségvetési pozíció javulása kisebb finanszírozási terhet ró az államháztartásra (Lukovics – Somosi 2006). Az infláció a belső adósságra gyakorol hatást, mert a belső adósság kamatának az inflációt is kompenzálnia kell. A külső adósság kamatterhében a reálkamat jelenti a döntő súlyt (Erdős 1999). A költségvetés és az infláció közötti kapcsolatot vizsgálva Miklós-Somogyi és Balogh (2010) kilenc év hosszúságú (1999-2007) magyarországi adatsort vizsgálva megállapítja, hogy az infláció növekedésével a költségvetés javult és fordított esetben romlott. Külön a bevételekre és kiadásokra gyakorolt hatások vizsgálatakor azt tapasztalták, hogy a hatások kiegyenlítik egymást és összességében a költségvetési egyenleg alakulására nincs hatással az infláció, csupán közvetett hatás feltételezhető. Mivel a vizsgálatban az államadósság teljes egészére koncentrálok és nem bontom részeire, ezért a vizsgálatba az inflációt is szerepeltetem, mint magyarázó változót.
A munkanélküliség növekedésével a kormányzat kénytelen többet költeni a jóléti kiadásokra, ami megnöveli az adósságállományt (Ono 2015, Battaglini – Coate 2015), ezért az államadósságra ható egyéb tényezők körébe bevonható a munkaerőpiac hatása is. Az Európai Unió fenntarthatósági indikátor rendszerében a foglalkoztatási ráta kerül figyelembevételre a munkanélküliségi ráta helyett (European Union 2015), ezért mi is azt használtuk empirikus vizsgálatunkban.
A költségvetési fenntarthatóság vizsgálatának az a célja, hogy kimutatható legyen, az aktuális politikai irányvonal milyen változást okoz a GDP-arányos államadósságban (növekszik, csökken, stabil marad). A kutatók és a különféle nemzetközi szervezetek is kifejlesztettek módszertanokat a fiskális fenntarthatóság méréséhez. Utóbbiak modelljeihez tartozó adatsorok egy része nem érhető el az adatbázisokból, ezért az eredményeiket nem lehet reprodukálni, így viszonylag röviden mutatom be őket. Ezt követően térek át az általam használt modellek alapjául szolgáló szerzők módszertanának részletezésére.
A Világbank, az Európai Unióhoz és az IMF-hez hasonlóan is évente jelentéseket készít a tagállamok fiskális fenntarthatóságáról. A következő egyenlettel elemzi az államadósság trendjét (The World Bank 2005, 8. o.):
(1)
ahol dt a GDP-arányos államadósság, pdt a GDP-arányos elsődleges deficit, g a reál GDP növekedési rátája, î a hazai és külföldi kamatlábak súlyozott átlaga, π a hazai inflációs ráta (a GDP-deflátor százalékos változása). A π* az USA inflációs rátája (az USA GDP-deflátorának százalékos változása), α a külföldi fizetőeszközben denominált államadósság aránya az összes államadósságban, RXR a reálárfolyam változása (bilaterális, USA dollár per helyi fizetőeszköz) (RXR>0 jelenti a reálárfolyam felértékelődését).
Az Európai Unió értelmezésében a fiskális fenntarthatóság az állami szektor „szolvens” működését jelenti. Háromféle fenntarthatósági indikátort használnak: S0, S1 és S2. Az S0 egy kompozit indikátor, 28 darab költségvetési és pénzügyi-versenyképességi változóval, ezért módszertana különbözik a másik kettő indikátorétól. Az S0 az egy előrejelző indikátor, amely felhívja a figyelmet a rövid távú
(1 éven belüli) fiskális politikából, makro finanszírozási és versenyképességből eredő költségvetési stressz kockázataira. Az S0 küszöbértéke 0,44 (EC 2021).
(2)
ahol j az ország, t az év, n a változók száma, zi az i-dik változó
jelzőereje,
egy indikátor változó, amely egyes értéket vesz
fel, ha a k megfigyelhető a j ország t-dik időpontjában, egyébként
nulla,
, ha fiskális stimulus történt, egyébként nulla.
Az S1 a középtávú, S2 pedig a hosszú távú fenntarthatósági indikátor, az előbb említett szolvencia szempontból mutatja a fiskális fenntarthatóságot. Ezért ezek a kormányzat intertemporális költségvetési korlátjára épülnek101 és segítenek hozzájárulni a fiskális előrejelzéshez a fiskális politika változatlanságát feltételezve. Az S1 időhorizontja 2030 és egy speciális államadósság célja van (a bruttó GDP-arányos államadósság 60%), az S2 végtelen időhorizontú és nincs speciális államadósság cél definiálva hozzá.
(3)
ahol A a szigorú kezdeti költségvetési pozíció (azaz az adósságstabilizáló elsődleges egyenleghez tartozó rés); B a kiigazítás késleltetésének költsége; C az adósságcél miatt szükséges további kiigazítás; és D az öregedési költségek102 miatti további szükséges kiigazítás. A teljes kezdeti költségvetési pozíció az A és B összege, amely tartalmazza a kiigazítás késleltetésének költségeit.
(4)
ahol A a kezdeti költségvetési pozíció B az elöregedés miatti további költségvetési kiigazítás mértéke.
Az országok 2014 óta alkalmazzák és teszik közzé ezen indikátorok elemzési keretét a konvergencia jelentéseikben, ezért lehetséges, hogy az S1 és S2 adatsorok még nem állnak rendelkezésre az Eurostat oldalán. A 16. táblázatban összegyűjtöttem az egyes országokra vonatkozó adatokat a konvergencia jelentéseikből, az Európai Bizottság 3 évente megjelenő Fiskális Fenntarthatóság Jelentéseiből és Államadósság Fenntarthatóság Figyelőből. Az adatokból is látszik, hogy az elmúlt időszakban romlott a visegrádi országok fiskális pozíciója. Összességében rövid távon nincs probléma a fiskális fenntarthatósággal, középtávon már jelentkeznek mérséklendő kockázatok, míg hosszú távon az elöregedő társadalom jelenti a legnagyobb veszélyt a visegrádi országok fiskális politikájára.
3.3. táblázat - 16. táblázat A visegrádi országok S0, S1, S2 értékeinek alakulása (2009-2021)
|
S0 |
S1 |
S2 | ||||||||||
|
CZ |
HU |
PL |
SK |
CZ |
HU |
PL |
SK |
CZ |
HU |
PL |
SK | |
|
2009 |
0,31 |
0,59 |
0,55 |
0,61 |
7,4 |
–0,1 |
3,2 |
7,4 | ||||
|
2010 |
0,21 |
0,40 |
0,43 |
0,35 | ||||||||
|
2011 |
0,28 |
0,24 |
0,38 |
0,30 | ||||||||
|
2012 |
0,19 |
0,28 |
0,32 |
0,26 |
1,3 |
–0,4 |
0,1 |
1,5 |
5,5 |
0,5 |
1,5 |
6,9 |
|
2013 |
0,9 |
5,4 | ||||||||||
|
2014 |
0,09 |
1,3 |
–0,4 |
0,1 |
2,2 | |||||||
|
2015 |
0,11 |
0,16 |
0,27 |
0,21 |
–0,6 |
–0,6 |
1,0 |
–0,7 |
3,2 |
1,5 |
3,5 |
3,5 |
|
2016 |
0,19 |
0,31 |
0,29 |
0,34 |
–1,2 |
0,8 |
1,8 |
–2,1 |
2,9 |
2,7 |
3,8 |
2,4 |
|
2017 |
0,19 |
0,39 |
0,25 |
0,30 |
–3,1 |
1,1 |
0,6 |
–2,6 |
1,7 |
3,4 |
3,1 |
2,4 |
|
2018 |
0,18 |
0,34 |
0,18 |
0,27 |
–2,9 |
1,1 |
–0,7 |
–2,9 |
4,1 |
4,1 |
2,2 |
2,5 |
|
2019 |
0,22 |
0,29 |
0,26 |
0,27 |
–2,9 |
–2,7 |
–2,2 |
–1,8 |
4,8 |
2,7 |
1,9 |
3,6 |
|
2020 |
0,37 |
0,46 |
0,45 |
0,54 |
–0,9 |
–0,3 |
–1,6 |
3,2 |
4,8 |
3,3 |
1,6 |
7,7 |
|
2021 |
0,24 |
0,34 |
0,22 |
0,24 |
2,5 |
1,3 |
–0,6 |
3,2 |
7,7 |
6,1 |
3,5 |
10,6 |
Megjegyzés: a halvány szürke háttér a küszöbértéken túli, de mérsékelt kockázatot rejtő értékeket, a sötét szürke háttér a küszöbértéket jelentősen meghaladó értékeket jelzi, a többi érték a küszöbérték alatt marad a vizsgált évben
Forrás: az országok 2014 és 2018 közötti konvergencia jelentései, az Európai Bizottság fiskális fenntarthatósági és államadósság fenntarthatósági jelentései (EC, 2017, 2018, 2019, 2020, 2021, 2022) alapján saját szerkesztés
Cottarreli és Moghadam (2011) becslései szerint a GDP 60 százalékában meghatározott horgony mind a fejlett, mind a fejlődő országok tekintetében közel van a hosszú távú államadósság szintjéhez. Ugyanakkor kiemelik, hogy nem kell mindenáron ragaszkodni ehhez a referenciaértékhez, hanem a kutatóknak figyelembe kell venniük és vizsgálatukba be kell vonniuk a különféle országspecifikus körülményeket is, és ezek alapján kell megítélniük egy ország fiskális fenntarthatóságát.
Menguy (2008) felhívta a figyelmet arra is, hogy a Stabilitási és Növekedési Egyezmény hátránya, hogy a rövid távú feltételek teljesítésére koncentrál (például jelenlegi költségvetési deficit), pedig a hosszú távú szolvencia fenntartása lenne igazán lényeges az országoknak az államadósságuk szinten tartása érdekében. Hangsúlyozza, hogy új, országonként különböző hiánycélokat meghatározó költségvetési szabályokkal lehetőségük lenne a tagállamoknak az államadósság hosszú távú fenntarthatóságának menedzselésére. Megfelelő költségvetési politikát tudnának folytatni a „jó idők”-ben, és az új szabályok – a nem hatékony prociklikus politikák helyett – nagyobb mozgásteret biztosítanának a „rossz idők”-re is.
A historikus dekompozíciós modell azt mutatja, hogy mely sokkok a legfontosabbak az államadósság felhalmozódásában, mi történik a sokkok hatására az államadóssággal, csökken vagy növekszik. Egy ország gazdaságpolitikája „fenntarthatatlan”, ha az államadósság állománya emelkedik, egyébként „fenntartható”. (Tanner – Samake 2006, 13. o.):
Az államadósság és adóbevételek között teremt kapcsolatot a költségvetési korlát, melynek legegyszerűbb formáját egy két időszakos modell segítségével lehet megragadni. Az első periódus a jelen, ahol T1 az adóbevétel és G1 a kormányzati kiadás. A második periódus a jövő, ahol az adóbevétel T2 és a kormányzati kiadás G2. A reálkamatlábat r-rel jelöljük. Az első periódusban a kormányzati kiadások és az adóbevételek különbsége a költségvetési deficit, amit D-vel jelölünk. A (5) egyenlet a kormányzat költségvetési korlátja, amely azt mondja, hogy a kormányzati vásárlások jelenértékének meg kell egyezni az adók jelenértékével (Mankiw 2005):
(5)
Az egyszerű két időszakos modell gondolatára is építve egy hosszú távú költségvetési egyensúlyra koncentráló modellben az adósság növekedése az elsődleges deficit és a meglévő államadósság után fizetett adósságszolgálat összegével egyezik meg (Romer 2006):
(6)
ahol δDt a t időszak végén fennálló államadósság első differenciáltja (változása), a Gt a kormányzati kiadások, Tt a (nettó) adók, PBt az elsődleges hiány, és rt a reálkamatláb a t időben. A reálkamatlábról feltételezzük, hogy csak egyféle, konstans a t időszak alatt és a meglévő adósság után fizetendő reálhozammal egyezik meg. Mivel a racionális befektetők csak akkor vásárolnak állampapírt, ha a kormányzat hosszú távú költségvetési egyensúlyra törekszik, ezért az elsődleges többletnek nagyobbnak vagy legalább egyenlőnek kell lennie a kezdeti adósság értékével.
(7)
ahol δt a diszkont faktor. Az optimalizáló kormányzat esetén az egyenlőség teljesülése feltételezhető.
A tesztekben, az intertemporális költségvetési korlát feltételezése alapelemként jelenik meg (erre kitérek még az alfejezetben), de Bagnai (2004) szerint nem az egyetlen eszköz a fenntarthatóság tesztelésére. Domar (1944), Buiter (1985) és Blanchard és szerzőtársai (1990) mind egy konstans egyensúlyi helyzet körül dinamikusan stabil adósságrátát képzelnek el. Bár ezt a feltételezést is számos kritika érte, mégis nagyon jól használható a számítások során.
A különféle fiskális fenntarthatóságot vizsgáló módszereket és az őket leíró tanulmányokat Tanner és Samake (2006) két nagy csoportra osztotta. Egyik csoport visszatekintően (retrospectively) a másik előretekintően (prospectively) közelíti meg fenntarthatóságot. A visszatekintő arra a kérdésre keresi a választ, ha a jelenlegi fiskális politika folytatódik a jövőben, akkor az fenntartható lenne-e, vagy szükséges a politikán változtatni. Az előretekintő arra a kérdésre keresi a választ, hogy milyen politikát kellene ma folytatni, hogy megelőzzük a jövőbeli kiigazításokat. Az első kategóriába sorolható Hamilton és Flavin (1986) deficit stacionaritással foglalkozó munkája, Bohn (1991) bevétel és kiadás kointegrációs modellje, Bohn (1998, 2008) munkái az elsődleges többlet és államadósság közötti kapcsolatról. Blanchard és szerzőtársai (1990) költségvetési résről szóló munkája mindkettő kategóriába beletartozik. Míg Barnhill és Kopits (2003), Adrogué (2005) Value-at-Risk modelljei, valamint Celasun és szerzőtársai (2006), Hoffmaister és szerzőtársai (2001) államadósság szimulációs előrejelzései az előretekintő kategóriába sorolhatók.
Az első fiskális fenntarthatósággal foglalkozó vizsgálatok közé sorolhatjuk Barro (1979) tanulmányát. Az Amerikai Egyesült Államok hosszú távú idősorait vizsgálva Barro (1979) kimutatta, hogy az állami kötvénykibocsátás időszakos növekedése pozitív hatást gyakorol az állami kiadásokra (főként háborús időkben), és kontraciklikus hatása van az időszakos jövedelem áramlásokra, és ez a hatás nagyobb, mint amit a szakirodalom említett. A várt infláció a nominális adósság növekedésére egy az egyben hatást gyakorol. A tanulmány következtetései későbbi kutatások kiindulópontjai lettek. Ehhez egy egyszerű optimális költségvetési finanszírozási modellt alkalmazott, a következő függvényekre épített:
(8)
ahol Gt a kormányzati kiadás összege (kamatkiadás nélkül), feltételezhetően exogén, τt az adó bevéltelek reálértéke, a t-edik periódusban. A b a kormányzat kintlévősége a t-edik és t-1-edik periódus végén. Feltételezve, hogy a kezdeti árszínvonal (és a várt is) konstans minden időben, a reál (és nominális) megtérülései ráta r is konstans. A kormányzat költségvetési egyenlete a következő:
(9)
Trehan és Walsh (1991) elméletére alapozva Greiner és Fincke (2015) is azt mondja, hogy “a kormányzat intertemporális költségvetési korlátja meg kell, hogy feleljen annak a követelménynek, hogy az államadósság jelenértéknek aszimptotikusan konvergálni kell nullához” (Greiner – Fincke 2015, 5. o.).
Kornai (1992) a tervgazdaságokra definiálta a puha költségvetési korlátot, amely az állami vállalatok gazdálkodását jellemezte. A puha szó arra utal, hogy az állami vállalatokat az állam újabb és újabb kölcsönökkel támogatja és így tartós veszteség termelése mellett is fenn képesek maradni. Fontos, hogy nem egyedi eseményről, hanem sorozatos kisegítésről van szó. Egy költségvetési korlát puhaságának vannak fokozatai a valóságban, ezek azt hivatottak kifejezni, hogy mekkora szubjektív valószínűséggel lehet számítani a kimentésre tartós veszteség esetén.
A leggyakoribb eljárási mód a Blanchard (1990) által bevezetett elsődleges költségvetési rés számítás, amelyet az elmúlt évtizedekben számos tanulmány és elmélet igazolása során alkalmaztak103103. A fiskális fenntarthatóságra vonatkozó különféle mutatók és modellek (elsődleges költségvetési rés, adósságráta változásának stacionaritása, adósságráta stacionaritása, bevételi és kiadási oldal kointegrációja, fiskális reakciófüggvény) előrejelző képességét vizsgálva Tóth (2014) megállapítja, hogy a statikussága ellenére az elsődleges egyenlegnek van a legjobb előrejelző képessége. Bár a jelenlegi műnek nem célja az előrejelzés, de a vizsgálatba bevont mutatók szempontjából ez releváns megállapításnak tekinthető.
Blanchard (1990) három féle indikátort használ a fenntartható költségvetés mérésére. A legegyszerűbb, előrejelzésre nem alkalmas mutató az „elsődleges rés” (primary gap)
(10)
ahol d az elsődleges egyenleg, r a reálkamatláb, θ a GDP növekedése és b0 az államadósság. Azt javasolja, hogy az r és θ értékét konstansnak használjuk, az előző 10 vagy akárhány év átlagát véve. Empirikus vizsgálatomhoz 1995-től 2017-ig állnak rendelkezésre adatok, ezért 5 éves átlagokat alkalmaztam a mutató számítása során. A mutató megalkotásakor Blanchard azzal a feltételezéssel élt, hogy a reálkamatláb meghaladja a gazdasági növekedés mértékét. Megvizsgálva a rendelkezésre álló adatsort, a visegrádi országokra ez a feltétel csak az esetek körülbelül egyharmadában teljesült, ezért is kerültek a vizsgálatba a mutató alternatív számítási lehetőségei is. A teljesség igénye miatt a mutatókat összehasonlító 8. melléklet táblázatában az eredeti képlettel számolt értéket lehet látni a Blanchard (1990) oszlopokban.
A „középtávú adórés” (medium-term tax gap) azt mutatja meg, hogy mekkora kiigazítás szükséges az adóhányadban az államadósság elvárt stabilitásához.
(11)
Ha n tart a végtelenbe, akkor tn* az fenntartható t* -hoz tart. Ha (r-θ) és n is nem túl nagyok, akkor tn* körülbelül megegyezik a következővel:
(12)
ahol g a kormányzat fogyasztási kiadása, h a transzferek, t a jelen időszaki adóhányad. Blanchard és szerzőtársai (1990) az elmélet tesztelése során n értékének ötöt választottak. A jelenlegi vizsgálatom során én n értékét 3-ra választottam, mivel a rendelkezésre álló adatbázisokban csak 2 évre előre jelzett adatok találhatók.
A „hosszú távú rés” egy alternatív indikátor, az előzőhöz nagyon hasonló, de az n évek száma 20 és 50 év között változhat, az ez elérhető (pl. OECD) előrejelzések szerint. Ezt a mutatót előrejelzésre használják, így hosszú idősorokra van szükség a kiszámításához, amivel a V4-ek nem rendelkeznek, így nem kerülhet kiszámításra az idősorok rövidsége miatt.
A Blanchard (1990) által alkalmazott indikátorokat az elmúlt évtizedekben a kutatók újraértelmezték, átalakították annak érdekében, hogy jobban értelmezhetővé váljanak a kapott eredmények. Chalk és Hemming (2000) munkájában a következő formulát használják:
(13)
ahol d az államadósság stabilizálásához szükséges permanens elsődleges hiány, dt az adott időszaki hiány, bt az adott időszaki GDP-arányos államadósság, n az adott időszaki növekedési ráta és r az adott időszaki reálkamatláb. Ha d – d értéke negatív, akkor az adott időszaki elsődleges hiány túl nagy ahhoz, hogy stabilizálni tudja az államadósságot, azaz a fiskális politika fenntarthatatlan.
A „középtávú adórés”-t Chalk és Hemming (2000) a következőképpen használták:
(14)
ahol t az államadósság stabilizálásához szükséges permanens adóhányad, tt az adott időszaki adóhányad, és gt a kormányzat adott időszaki GDP-arányos kiadásai (kamatok nélkül). Ha tt– t értéke negatív, akkor a jelenlegi adóhányad túl alacsony ahhoz, hogy stabilizálni tudja az államadósságot a jelenlegi kiadási politika mellett.
A Blanchard (1990) féle mutatók számítási lehetőségeit Croce és Juan-Ramón (2003) is megemlítették munkájukban, a következőképpen formalizálva lehet kiszámítani az „elsődleges rés” értékét:
(15)
ahol ps az adott időszak elsődleges egyenlege, ps* az államadósság stabilizálásához szükséges elsődleges egyenleg adott időszaki értéke, r a reál kamatláb, g a növekedési ráta.
A Croce és Juan-Ramón (2003) féle „középtávú adórés”, amely megmutatja, hogy mekkora adóhányadra van szükség az államadósság stabilizálásához:
(16)
ahol t a jelenlegi GDP-arányos adóbevételek átlaga, t* az az adóhányad, mely mellett az államadósság stabilizálódik egy n-éves időhorizonton. Az n év középtáv esetén kettőnek választható.
Uryszek (2016) a közép- és észak-európai országokat vizsgálta, megállapította, hogy az elsődleges hiány túl nagy és a kormányzati bevételek nem elegendőek az államadósság stabilizálásához vagy növekedésének megakadályozásához. Uryszek (2016) a Blanchard (1990) és Chalk és Hemming (2000) munkáira építve a következő egyenletet alkalmazta a „elsődleges rés” kiszámítására:
(17)
ahol d az államadósság stabilizálásához szükséges permanens elsődleges hiány, rt az államadósság kamatlába az adott időszakban, nt az adott időszaki növekedési ráta (reál) és bt az adott időszaki GDP-arányos államadósság. Ha d értéke kisebb, mint a jelenlegi elsődleges egyenleg, akkor a fiskális politika fenntarthatatlan.
Ez a mutató abban különbözik a Blanchard (1990) által megalkotott mutatótól, hogy nem feltételezi, hogy a reálkamatláb meghaladja a gazdasági növekedést, amely feltevés a visegrádi országokra csak az adott időszak egyharmadában volt jellemző. Továbbá az is különbség a korábbi mutatóhoz képest, hogy adott t időszaki értékkel és nem több év átlagával számol a szerző.
A „középtávú adórés”-t Uryszek (2016) a következőképpen módosította:
(18)
ahol t az államadósság stabilizálásához szükséges permanens adóhányad, gt a kormányzat adott időszaki GDP-arányos kiadásai (kamatok nélkül). Ha t értéke magasabb, mint a jelenlegi adóhányad, akkor a jelenlegi adóhányad nem képes stabilizálni az államadósságot a jelenlegi kiadási politika mellett. Feltételezve a kormányzati kiadási politika változatlanságát az adóhányadot növelni kell ilyen esetben.
Bohn (1998) ugyancsak az Amerikai Egyesült Államok historikus adatait elemezve megállapította, hogy pozitív kapcsolat van az elsődleges többlet és a GDP-arányos adósság között. Bemutatta, hogy az addig gyakran használatos elsődleges költségvetési deficit nem ad meggyőző bizonyítékot a fenntarthatóság ellen, mert az alacsony kamatráta, a fenntartható politikákon történő változtatás az elsődleges deficit megugrásával jár általában, főleg hosszú távon. A fiskális reakciófüggvényen alapuló modell, egy gazdaságpolitika változását mutató és egy másik a fiskális célokat tükröző fiskális instrumentum közötti összefüggést vizsgálja. Az elemzés során alkalmazott reakciófüggvény a potenciális GDP arányában mért ciklikusan kiigazított elsődleges költségvetési egyenleget és a GDP-arányos államadósság mutatókat használja fel.
A költségvetési rés mellett egy másik gyakran idézett indikátor, Croce és Juan-Ramón (2003) fiskális fenntarthatósági indikátora (Indicator of Fiscal Sustainability). 12 ország adatsorát tesztelték az 1990-es években az általuk fejlesztett algoritmus segítségével. Az indikátor a (17) egyenletre épül, amelyet a (12) és (13) feltételek egészítenek ki.
(19)
ahol dt az adott időszak GDP-arányos államadósság állományi értéke, dt-1 az előző időszaki értéke, és pst a GDP-arányos elsődleges többlet (egyenleg), βt = (1+rt)/(1+gt) összefüggésből adódó érték, ahol rt a reálkamatláb, gt a reál GDP növekedése.
Az elsődleges többlet két komponensre bontó, egyik az elsődleges egyenleg államadósság célhoz igazított értéke (ps*) (21 egyenlet) a másik a megfigyelt államadósság szint és a célérték közötti különbségre adott válasz (22 egyenlet), ahol a λt paraméter a válasz intenzitása az adott időszakban. Így a (20) egyenlet lineáris kiigazítása révén eljuthatunk a fiskális szabály vagy fiskális politika reakciófüggvényhez
.
(20)
ahol ps* és β* az elsődleges többlet és a diszkontfaktor, amely akkor következik be, ha a d* államadósság célérték elérésére került.
(21)
A (19), (20) és (21) egyenletek felhasználásával a következő egyenlet áll elő:
(22)
Feltételezve, hogy a GDP-arányos államadósság a t-1 időszakban magasabb, mint a hosszú távú célértéke, dt-1>d*, akkor a dt akkor és csakis akkor konvergál a d*-hoz, ha |βt – λt| < 1. Ezért az alábbi összefüggéssel mérhetővé válik a fiskális fenntarthatóság.
(23)
A szerzők a saját IFS mutatójukat jobbnak értékelik, mint a Blanchard (1990) féle mutatókat, mert a „középtávú adórés” számításához szükséges explicit előrejelzés az elsődleges többlet, a reálkamatláb és a növekedés értékéről, implicit feltétel ezekről, hogy a jövőben konstanssá válnak (ezt a naiv feltételezést ellensúlyozza az algoritmus rekurzív jellege).
A kapott eredmények alapján 3 csoportot különítettek el a szerzők. Az elsőbe azok az országok tartoznak, ahol a fiskális politika fenntarthatatlan, itt az IFS értéke az 1-es küszöbértéket az vizsgált időszak legalább 75 százalékában elérte. A második csoportba a fenntartható fiskális politikát folytató országok kerültek, az IFS értékük nem lépte át az 1-es küszöbértéket az esetek legalább 75 százalékában. A harmadik csoportba azok az országok kerültek, amelyek az előző kettőbe nem voltak besorolhatók. Vizsgálatukban Argentína, Brazília és Törökország tartozott a fenntarthatatlan kategóriába az 1990-es években. Belgium, Indonézia, Írország és Mexikó IFS értéke alacsonyabb volt, mint a küszöbérték az esetek legalább 75 százalékában a 90-es években, ezért gazdaságpolitikájuk fenntarthatónak ítélhető a vizsgált időszakban. A harmadik csoportba Olaszország, Dél-Korea, Svédország, Thaiföld és az USA került (Croce – Juan-Ramón 2003).
A lineáris fiskális reakció függvény (FRF) egy másik alakját használja Bohn (1998, 2008) munkájában és erre épít D’Erasmo és szerzőtársai (2015) is. Ezen alak a következőképpen írható fel:
(24)
ahol t az adott, t-1 az előző időszakot jelenti, ρ > 0, μt az elsődleges egyenleget befolyásoló tényezők összessége, ami jellemzően tartalmaz konsanst és a kibocsátásban és költségvetési kiadásokban megmutatkozó átmenteti változásokat is, εt a hibatag (i.i.d).
Az elmúlt körülbelül húsz év számos, az eddig említett tanulmányokon kívül fiskális fenntarthatóságot vizsgáló tanulmány található a 17. táblázatban, rendszerezve a vizsgált országok, időszakok módszerek és eredmények szerint. Ezáltal egy jól átlátható, strukturált képet kaphatunk a témakörről.
3.4. táblázat - 17. táblázat A fiskális fenntarthatóságot vizsgáló tanulmányok
|
Tanulmány |
Vizsgálat alanya |
Vizsgált időszak |
Mutató |
Módszertan |
Eredmény |
|---|---|---|---|---|---|
|
Green et al. (2001) |
Lengyelország |
1991-1998 |
Kormányzati bevétel és kiadás |
VECM, kointegrációs teszt |
Fenntartható |
|
The World Bank (2005) |
15 ország (közöttük Lengyelország) |
1990-2003 |
GDP-arányos államadósság, elsődleges egyenleg |
Dinamikus dekompozíció |
Fenntartható |
|
Westerlund – Prohl (2008) |
OECD országok |
1977-2005 |
GDP-arányos bevétel és kiadás |
Panel kointegrációs teszt többszörös törésekkel |
Fenntartható |
|
Byrne et al. (2011) |
27 feltörekvő ország (többek között Magyarország és Lengyelország) + 15 fejlett ország |
1990-2005 és 1978-2005 |
GDP-arányos elsődleges egyenleg és bruttó államadósság |
PANIC egységgyök teszt, panel becslés stacionárius és nem-stacionárius faktorral |
Feltörekvő országokban a hosszú távú fenntarthatóságot a globális likviditás is befolyásolja |
|
Stoian – Campeanu (2010) |
Bulgária, Csehország, Észtország, Magyarország, Litvánia, Lettország, Lengyelország, Románia, Szlovákia |
2000-2008 |
GDP-arányos elsődleges egyenleg, költségvetési egyenleg és bruttó államadósság |
kointegráció |
Hosszú távon fenntartható a cseh, észt, magyar és litván fiskális politika, a többiek nem |
|
Cruz-Rodríguez (2014) |
18 ország (közöttük Csehország és Magyarország) |
1990-2004 |
GDP-arányos államadósság és elsődleges egyenleg |
Fiskális Fenntarthatósági Index (Croce – Juan-Ramón (2003) alapján) |
12 ország nem fenntartható, az elsődleges egyenleg miatt |
|
Mercan (2014) |
OECD országok |
1980-2012 |
GDP-arányos deficit |
Egység-gyök teszt, Panel kointegráció strukturális törésekkel |
Gyengén fenntartható |
|
Afonso – Jalles (2015) |
OECD országok |
1970-2010 |
GDP-arányos államadósság, bevételek és kiadások |
Panel kointegráció (FMOLS) |
Nem minden esetben fenntartható |
|
Afonso – Rault (2015) |
EU15, EU25, EU26 |
1960-2012, 1998-2012, 2000-2012 |
GDP-arányos bevételek és kiadások |
Egységgyök teszt, Bootstrap panel kointegráció, keresztmetszeti függőség, panel ECM |
Nem fenntartható |
|
Fournier – Fall (2017) |
OECD országok |
1985-2013 |
Elsődleges egyenleg, államadósság |
Panel regresszió |
Nem fenntartható egyes esetekben |
|
Wlodarczyk (2017) |
Visegrádi |
1996-2015 |
GDP-arányos konszolidált államadósság és elsődleges egyenleg |
Markow-lánc kointegrációs modell |
Nem fenntartható |
|
Brady – Magazzino (2018) |
28 EU ország |
1980-2015 |
Bevételek, kiadások, nettó elsődleges egyenleg, államadósság |
Panel egységgyök teszt, kointegráció, véges keverék modellek (FMM) |
Fenntarthatóság hiányát jelzik |
|
Wysocki - Wójcik (2018) |
Lengyelország |
2004-2017 |
Elsődleges többlet, államadósság állomány, kibocsátási rés |
Fiskális reakció függvény |
Elsődleges hiány reakcióideje nőtt a válság hatására |
|
Ramos-Herrara – Prats (2020) |
20 EU ország |
2000-2019 |
Elsődleges költségvetési egyenleg, államadósság |
Panel egységgyök teszt, kointegráció, ARDL, küszöbérték modell, Granger okság |
Rövid távú kiigazítások, hosszú távon fenntarthatatlanná váló adósság |
|
Owusu (2021) |
Közép-Kelet Európa |
1997-2019 |
Strukturális bevételek és kiadások |
Panel kointegráció |
Gyenge értelemben vett fenntarthatóság |
|
Polat – Polat (2021) |
26 EU ország |
1995-2018 |
GDP-arányos elsődleges többlet, államadósság |
Panel egységgyök tesztek, fiskális reakció függvény |
Fenntartható |
|
Ábel – Kóbor (2022) |
Magyarország |
1999-2011 |
Kormányzati kiadások, reál GDP, árszínvonal, HUF/EUR árfolyam, alapkamat, nettó adók |
VECM |
Ha nem lett volna a 2008-as válság akkor is ugyanez az adósságdinamika valósult volna meg |
Forrás: saját szerkesztés a táblázatban szereplő tanulmányok alapján
A jelenlegi vizsgálatom eredményeivel összevetem a 17. táblázatban szereplő tanulmányok eredményeit, de a tanulmányok módszertanának és eredményeinek részletes közélésétől el kell tekintenem a terjedelmi korlátok miatt. A 17. táblázatból látható, hogy a kutatások során a leggyakrabban az egységgyök tesztek és a hosszú távú kapcsolatot mutató kointegrációs tesztek kerültek alkalmazásra.
A visegrádi országok esetén, ha össze szeretnénk hasonlítani az országokat, akkor viszonylag rövid idősorok állnak rendelkezésre, ezért csak a panel típusú vizsgálatokat lehet elvégezni rajtuk. Az eredmények oszlopra tekintve az lehet látni, hogy a 2008-as válság után keletkezett tanulmányok inkább nem fenntarthatónak ítélik az országok fiskális politikáját.
Az elméleti modellek bizonyításához szükséges vizsgálatokat különféle ökonometriai eljárások segítségével lehet elvégezni. A következőkben ezen eljárások módszertanát ismertetem. Bemutatásra kerül a fix és véletlen hatásos panel modell és az egylépéses dinamikus panel modell, valamint a hozzájuk kapcsolódó tesztek.
Az eltérő módszertan miatt feltételezzük, hogy a fiskális fenntarthatóságot mérő mutatók szórása nem azonos, ezért a nem azonos varianciájú t-próbát kell elvégezni.
A vizsgálatokban panel adatokon végezhető modelleket alkalmaztam. A panel regressziót olyan adatbázisokon lehet használni, amelyekben több egység (jelen esetben ország) és több időszak jellemzőit gyűjtöttük össze és szeretnénk elemezni. A panel modellek a varianciát idő és egyed dimenziók mentén bontják fel (Kotosz 2016). Kettőnél több időszak esetén nem differenciaképzés a megszokott becslési eljárás, hanem minden adatból kivonásra kerül az egyedre jellemző időbeli átlag, de ez nincs hatással az értelmezésre. A panel regresszió előnye, hogy nem kell megfigyelhetőnek lennie az egyén specifikus időben állandó tulajdonságoknak, mert az állandó tényezők kiesnek a becslésre került egyenletből (Major 2013).
Az államháztartási bevételek és kiadások vizsgálatai során panel vektorautoregressziós (VAR) modellt futtattam. Megkülönböztetünk véletlen-hatásos (random effect) és fix-hatásos (fixed effekt) modelleket. A panel adatokra a fix hatások modellje (fixed effect model) volt illeszthető, ezért ezt részletezem a továbbiakban. A modell a független változók hatását mutatja a függő változóra úgy, hogy feltételezi, hogy a változók különböznek egymáshoz képest, ugyanakkor időben állandóak. A modell futtatásának feltétele, hogy a folyamatok stacionerek és a hibatagok egymástól függetlenek (autokorrelálatlanok) legyenek (Kiss 2017, Park 2005). Egy sztochasztikus folyamat, akkor stacioner, ha eloszlása nem függ az időtől és a tértől. Az autokorreláció akkor áll fent, ha azonos változó különböző, máskor vagy máshol megfigyelt értékei között összefüggés van (Nagy – Balogh 2013). A modellek paramétereit Greene (2003) alapján mutatom be. Az alap modell a következőképp írható fel
(25)
ahol i a megfigyelési egység, t az idő, y a függő változó, X a magyarázó változó, amely nem tartalmaz konstanst, a különbözőség vagy egyedi hatás a Ζi'α , és z tartalmazza a konstanst és az egyedi vagy csoport specifikus változókat (amelyeket vagy megfigyelhetünk, vagy nem) a regressziós együttható, és εit a hibatag. Ha zi megfigyelhető minden egyed esetében, akkor úgy kezeljük, mint egy lináris modellt és alkalmazható a legkisebb négyzetek összege. Leggyakrabban a következő három típusát használhatjuk:
1. Pooled regresszió (pooled regression): Ha zi csak konstanst tartalmaz, ekkor az OLS konzisztens és hatásos becslést ad α-ra és β-ra.
2. Fix-hatás regresszió (fixed effects): Ha zi nem megfigyelhető, de korrelál xit-vel akkor a β legkisebb négyzetek becslése elfogult (biased) és nem következetes (inconsistent), ezért feltételezhető, hogy van kihagyott változó (omitted variable). A modell a következőképpen írható fel:
(26)
ahol . A fix hatás feltevés eset és αi a csoportspecifikus konstans. A „fix” kifejezés azt jelenti, hogy α értéke időben nem változhat, nem azt, hogy nem-sztochasztikus.
3. Véletlen hatásos regresszió: Ha a nem-megfigyelt egyedi különbségekről feltételezhető, hogy nem-korrelált a benne foglalt változókkal a (26) egyenlet a következőre módosul:
(27)
ahol ui a csoport-specifikus véletlen elem.
Tehát a fix és véletlen hatás között a különbségtétel egyszerűen fogalmazva azt jelenti, hogy kísérlettel megvalósítható megfigyelések elemzése a fix-hatás modellel, míg a megfigyeléssel nem megvalósítható megfigyelések elemzése véletlenhatás-modellel lehetséges (Balázsi et al. 2014).
Annak eldöntésére, hogy a három említett modell közül egy adott folyamatra melyiket használjuk három teszt, az F-teszt, a Breusch-Pagan teszt és a Hausman teszt nyújt segítséget az elemzőknek. Az F-teszt nullhipotézise, hogy a keresztmetszeti adatoknak közös interceptje van. Ha a nullhipotézis elfogadható (p-érték 0,05 alatti), akkor pooled OLS a megfelelő modell, ha elvetésre kerül a nullhipotézis, akkor a fix-hatás modellel írható le a folyamat (Cottrell – Lucchetti 2016).
A Breusch-Pagan teszt hasonló az F-teszthez, a nullhipotézise, hogy az ui varianciája nulla. Ha a teszt p-értéke 0,05 feletti, akkor a nullhipotézist nem tudjuk elutasítani, azaz a pooled OLS modell kell alkalmazni az elemzés során. Ha a nullhipotézis elvethető (p-értéke 0,05 alatti), akkor a véletlenhatás-modell a megfelelő.
A Hausman teszt arra ad választ jelen esetben, hogy a fix vagy a véletlenhatás modellt válasszuk. A teszt nullhipotézise, hogy a fix-hatás modell a megfelelő, alternatív hipotézise, hogy a véletlenhatás-modell a megfelelő az adatok elemzésére. A teszt H-értéke a fix és véletlenhatás közötti „távolsággal” egyezik meg, ez khi-négyzet eloszlást követ, ahol a szabadságfok megegyezik az X mátrix idő-változójának regresszorainak számával. Ha a H értéke nagy (vagyis p-értéke 0,05 alatti) akkor a véletlenhatás-modell nem konzisztens és a fix-hatás a megfelelő. Formalizálva a leírtakat (Cottrell – Luchetti 2016):
(28)
ahol
a fix-hatás becslés koefficiense,
a véletlenhatás becslés koefficiense,
a különbségvektor, ezért
.
A VAR modellen kívül egylépéses dinamikus panel modellt is alkalmaztam. Abban az esetben, ha a változók száma nagy és az idősor hossza viszonylag rövid, valamint az eredményváltozó autokorrelált, elfogadott a dinamikus panel modellek használata. A módszer alapját egy AR(1) folyamat jelenti, ahol az yit eredményváltozót saját késleltetett értékeivel magyarázzuk (így kezelve az endogenitás problémáját) a fix hatású panel regresszióknál elfogadott μi változó specifikus, illetve vit zérus középértékű korrelálatlan hibatagok segítségével (Blundell – Bond 1998, Arellano – Bond 1991):
(29)
Ezt egészíti ki az xit magyarázó változók beemelése a modellbe:
(30)
az alábbi megkötésekkel:
(31)
A modell túlidentifikáltságát Sargan-teszttel kell ellenőrizni, melynek teszt statisztikája a következőképpen írható fel:
(32)
ahol
az i egyed transzformált (például
differenciált) reziduumai. A vizsgálat nullhipotézise szerint S
aszimptotikusan khi-négyzet eloszlást követ és szabadságfoka
megegyezik a túlidentifikáló feltételek számával.
A vizsgálati eredményeket megerősítendő a panel adatokon elvégeztem a Heckman-féle két-lépéses szelekciós vizsgálatot is. Az eljárással megállapítható, hogy milyen X'i tényezők vezettek az államadósság fenntarthatóságához, illetve milyen tényezők befolyásolták az államadósság alakulását. Két regressziós egyenlet egymással kapcsolatban van, miután az államadósság mértéke változhat fenntartható és fenntarthatatlan módon is. A modell szelekciós egyenlete (33) fejezi ki a fenntarthatóság teljesülését (Z*=1 esetek), míg a regressziós modell (44) az államadósság változását. A kettő közötti kapcsolatot a lambda mutató szignifikanciája jelzi.
Szelekciós mechanizmus (1. lépés):
különben 0; ahol Zi = 1 a fenntarthatóságot
jelöli (33)
Prob(Zi=1| wi )=ϕ(w'i γ) (34)
Prob(Zi=0| wi )=1–ϕ(w'i γ) (35)
Regressziós modell (2. lépés):
Yi = X'i β+εi Zi =1 esetén ahol Yi a dinamikus feltételes korreláció (36)
A szelekciós egyenlet hibatagja ui és a regressziós egyenlet hibatagja εi. Amennyiben a közöttük mért ρ korreláció (corr[ui,εi] = ρ) értéke 0, az OLS-modell β együtthatói specifikációs hiba mentesek, tehát a modell alkalmazható. Ebben az esetben a Heckman-féle λ paraméter szignifikáns, a modell használhatóságát jelzi (Greene 2003, Wooldridge 2012).
Az utóbbi években az empirikus vizsgálatok panel egységgyök (ADF) teszteket, kointegrációs (VECM) és autoregresszív osztott késleltetésű (ARDL) modelleket használnak (lásd 17. táblázat). A panel egységgyök próbák közül többféle létezik, a vizsgált modellekben a Fisher-féle kibővített ADF teszt eredményeit kerültek felhasználásra104. Az ADF teszt alapegyenlete bármilyen típus esetén (Maddala – Wu 1999):
(37)
Ahol azt vizsgáljuk, hogy ρ1= 0 vagy ρ1<0.
Az ARDL modellek előnye, hogy a különféle adatsorok, stacionárius (I(0)) és első rendben differenciált (I(1)) keveredhetnek benne. Míg a VECM modellek esetén csak egyforma rendben integrált I(1) adatsorok megengedettek. Az ARDL modell esetében az alábbi általános egyenletet írhatjuk fel (Pesaran et al. 1999):
(38)
Ahol i=1,2,…,N, és yi=(yi1,…,yiT)' egy T×1 vektor, ami az i-edik csoport függő változójára vonatkozó megfigyelések vektora, Xi=(xi1,…,xiT)' egy T×k mátrix, ami a regresszorokra vonatkozó megfigyelések mátrixa, amelyek csoportonként és időszakonként is változnak, ι=(1,…1)' egy T×1 vektor, ami egyes értékekből áll, és az és j időszakkal késleltett értékei, yi,–j és Χi,–j az yi és Χi j időszakkal késleltett értékei, ∆yi= yi–yi,–1,∆Xi=Xi–Xi,–1,∆yi,–j és ∆Xi,–j az Δyi ésΔΧi j időszakkal késleltett értékei, valamint εi =(εi1,…,εiT)'.
Az eddig bemutatásra került makroökonómia háttér, mutatószámok, mérési modellek és ökonómia eljárások tudatában lehetőség van saját modell építésére is. Az átláthatóság kedvéért ebben az alfejezetben összegyűjtöttem az általam alkalmazott empirikus vizsgálatokban alkalmazott modelleket.
Megvizsgáltam a visegrádi országok költségvetésének bevételi és kiadási oldala között fennálló oksági kapcsolatot, melyhez fix-hatásos panel regressziós modellt választottam:
(39)
ahol az Rit az adott t időszaki bevétel, Git az adott t időszaki kiadás és Git-1 az előző időszaki kiadás és Rit-1 az előző időszaki bevétel.
Az államadósságra ható tényezők beazonosítását végeztem el a 3.2 alfejezetben, ezek a szakirodalom által korábban már elméletileg és empirikusan is vizsgált tényezők, melyek a következők: költségvetési hiány, reálkamatláb, GDP növekedés, infláció, foglalkoztatás és folyó fizetési mérleg hiány. A vizsgálat lefolytatásához a változók nagy száma miatt a dinamikus panel modell került alkalmazásra, amely a következő módon került felírásra:
(40)
ahol az adott időszaki államadósságot Dt, az előző időszaki államadósságot Dt–1, a deficitet Bt–1, a reálkamatot rt–1, a reál effektív árfolyamot REERt–1, a GDP növekedést ΔGDPt–1, a folyó fizetési mérleg hiányt CAt–1, az inflációt πt–1 és EMPt–1 a foglalkoztatotságot jelöli. A konstans ω, a γ értékek a koefficiensek, hibatag μi+vit.
Az elméleti áttekintés alapján úgy tűnt, hogy a visegrádi országok fiskális politikája rövid távon fenntartható volt a rendszerváltozástól napjainkig. Ennek bizonyítására szintén dinamikus panel modellt alkalmazása mellett döntöttem és az eredmények megerősítésére Heckman-féle szelekciós panel modellt használtam. A dinamikus panel modell:
(41)
ahol σ a konstans, δ a koefficiensek, μ a hibatag, ΔIFS az IFS változása, a ΔREER a reál effektív árfolyam változása, a Δπ az infláció változása, a ΔCA a folyó fizetési mérleg egyenleg változása, és a ΔEMP a foglalkoztatottsági ráta változása a t-i időszakban (t > i).
Míg a Heckman-féle szelekciós modell a következőképpen néz ki, ha Zi,t = 1, azaz, ha nem fenntarthatatlan a fiskális politika:
(42)
ahol α1 a konstans, α2-től α11-ig a koefficiensek, ut a hibatag, a t-1 az előző időszaki, míg t-2 az azt megelőző értékét jelenti az államadósság D, a deficit B, a reálkamat r, a GDP növekedés ΔGDP és az IFS mutató IFS értékének.
A Heckman-féle szelekciós modell második lépése, a regressziós egyenlet, feltéve, hogy Zi,t = 1:
(43)
ahol Yit a feltételes korreláció, β1 a konstans, β2-től β11-ig a koefficiensek, ut a hibatag, a t-1 az előző időszaki, míg t-2 az azt megelőző értékét jelenti az IFS mutató (IFS), a reál effektív kamatláb (REER), az infláció (π), a folyó fizetési mérleg hiány (CA) és a foglalkoztatottság (EMP) értékének.
A koronavírus járvány hatását vizsgálva a panel ARDL modell elméleti egyenlete a következőként írható fel:
(44)
Tartalom
Az előző fejezetben leírt módszertanok alapján elvégzett empirikus vizsgálatok eredményeit mutatom be ebben a fejezetben. Az első alfejezetben az államadósságra ható tényezőkre vonatkozó vizsgálat, a másodikban a fiskális fenntarthatósággal kapcsolatos vizsgálatok eredményei kerülnek bemutatásra.
Az államháztartás bevételi és kiadási oldalának egymásra hatását fix-hatásos modell segítségével vizsgáltam meg az alkalmazott modellt a (39) egyenlet írja le.
A vizsgálat elvégzéséhez GRETL programot használtam. A vizsgálathoz a GDP-arányos bevétel és kiadás értékeit használtam, az adatok forrása az AMECO adatbázis volt. A vizsgálatot egy viszonylag hosszú időszakra, 1995-2024 közötti adatokon tudtam lefolytatni, mert az AMECO adatbázisában 3 évre előre alkalmazott becslések is megtalálhatók.
A GDP-arányos teljes bevétel (AMECO adatbázisbeli kód: URTG) a következő tételek összegeként adódik: végső felhasználásra kerülő értékesített piaci kibocsátás, nem-piaci kibocsátás, kapott egyéb termelési támogatások, kapott termelési és import adók, kapott tulajdonosi jövedelmek, kapott jövedelem és jóléti adók, kapott társadalombiztosítási hozzájárulások, kapott egyéb transzferek, kapott tőketranszferek (AMECO 2018).
A GDP-arányos teljes kiadás (AMECO adatbázisbeli kód: UUTGE) a következő tételek összegeként számítódik: közbenső fogyasztás, bruttó felhalmozás, fizetendő munkavállalói jövedelem, egyéb termelési adó, támogatás, vagyonjövedelem (property income), jövedelem- és vagyonadók, természetbeni társadalmi transzfereken kívüli szociális juttatások, piaci szolgáltatókon keresztül a háztartásoknak nyújtott termékek költségével kapcsolatos természetbeni társadalmi transzfer kifizetések, egyéb fizetendő transzferek, a magánnyugdíjpénztárak nettó vagyonváltozása miatti korrekció, fizetendő tőketranszferek, nem-termelt nem-pénzügyi eszközök beszerzése (AMECO 2018).
A modell alkalmazásának feltétele, hogy a folyamatok stacionerek legyenek, amit Fisher-ADF teszt segítségével lehet tesztelni. A teszt eredménye szerint (18. táblázat) a kiadás stacioner és a bevétel első differenciált értéke is az. A vizsgálat lefolytatható a változók differenciált értékeire.
4.1. táblázat - 18. táblázat A visegrádi országok Fisher-ADF teszt eredményei
|
Változó |
I(0) t-statisztika |
I(0) p-érték |
I(1) t-statisztika |
I(1) p-érték |
|
Kiadás (G) |
–3,3953 |
0,0001 |
– |
– |
|
Bevétel (R) |
–2,3096 |
0,0830 |
–5,3915 |
0,0000 |
Forrás: saját számítás
A fix-hatás modell kiválasztása, F-teszt, Breusch-Pagan teszt és Hausman teszt segítségével történt. Az F-teszt105 arra adott választ, hogy az OLS és a fix-hatás modell közül melyik a megfelelőbb. A p-érték 0,05 alatti értéke alapján a fix-hatás modell tűnt a megfelelőnek. A Breusch-Pagan teszt106 az OLS és a véletlen hatás közötti választási lehetőséget mutatja, ahol a véletlen hatásos modell tűnt megfelelőnek (p-érték 0,05 alatti). Az első két teszt eredményét hasonlítja össze a Hausman teszt107, azaz, hogy a fix és véletlen hatásos modell közül melyik a megfelelőbb, a p-érték 0,05 alatti értéke a fix-hatás modellt ítélte megfelelőbbnek. A fix-hatás modell eredményeit mutatja a 19. táblázat.
4.2. táblázat - 19. táblázat A visegrádi országok bevételeit mennyiben magyarázzák a kiadások (fix-hatás modell)
|
Koefficiens |
Standard hiba |
t-próba |
p-érték | |
|
Konstans |
7,7585 |
2,5696 |
3,019 |
0,0034*** |
|
G |
0,2785 |
0,0559 |
4,984 |
<0,0001*** |
|
G(–1) |
−0,1370 |
0,0583 |
−2,349 |
0,0213** |
|
R(–1) |
0,6519 |
0,0768 |
8,489 |
<0,0001*** |
Forrás: saját számítás
A költségvetési bevételre az adott és előző időszaki kiadás és az előző időszaki bevétel is hatást gyakorol (19. táblázat). Az adott időszaki kiadás növeli, míg az előző időszaki kiadás csökkenti az adott időszaki bevételt. A fix-hatás modell Durbin-Watson teszt értéke 1,9015 az kettőhöz közeli, tehát nem autokorrelált a modell, így torzítatlan és hatásos. Mindezekből arra következtethetünk, hogy az egyes évek költségvetései egymásra épülnek, ami útfüggőségre utal. Tehát érdemes olyan tényezőket bevonni az empirikus vizsgálatba, amelyek a bevételi és kiadási oldalon keresztül is hatást gyakorolnak az államháztartás egyenlegének alakulására. A következőkben ezen tényezőkre vonatkozó vizsgálatot mutatom be.
Ebben az alfejezetben bemutatott vizsgálat korábbi eredményei, melyek a 1997-2015 időszakra vonatkoztak publikálásra kerültek a Pénzügyi Szemle folyóiratban, lásd Sávai és Kiss (2017). Összevetésre került a V4 és KlubMed országcsoport, utóbbi csoport nem képezi a könyv tárgyát így kihagyom a rájuk vonatkozó eredmények bemutatását. Az empirikus vizsgálat célja, hogy megvizsgáljam az államadósságra ható legfontosabb tényezők alakulását. Az adatsorok rövidsége miatt előrejelzés nem készíthető. Mivel makrogazdasági adatokkal dolgozom, ezért a változók között összefüggés feltételezhető, a hibatagok autókorreláltsága fennállása a becslés torzítatlanságát nem befolyásolja (Ramanathan 2003). Az empirikus vizsgálatot egylépéses dinamikus panel modellel végeztem, Gretl program segítségével, az alkalmazott modellt az (40) egyenlet írja le.
A modell túlidentifikáltságát Sargan-teszttel ellenőriztem, melynek eredménye alapján nincs túlidentifikálva a modell (p>0,05 értéket kaptam eredményül). A vizsgálat során felhasznált változókat és forrásukat az 20. táblázat mutatja.
4.3. táblázat - 20. táblázat Az államadósság mértékét meghatározó tényezőkre vonatkozó vizsgálat során felhasznált mutatók
|
Mutató neve |
Mértékegység |
Forrás |
|
GDP-arányos államadósság |
százalék |
AMECO adatbázis |
|
GDP-arányos államháztartási hiány, röviden: Deficit |
százalék |
Eurostat adatbázis |
|
Reálkamat |
százalék |
AMECO adatbázis |
|
Reál effektív árfolyam |
százalék (bázis 2010) |
Világbank adatbázis |
|
Gazdasági növekedés |
százalék |
Világbank adatbázis |
|
Infláció |
százalék |
Világbank adatbázis |
|
Folyó fizetési mérleg hiány |
százalék |
Világbank adatbázis |
|
Foglalkoztatási ráta |
százalék |
Világbank adatbázis |
Forrás: saját szerkesztés
A GDP arányos államadósság mutatóhoz a konszolidált bruttó államadósságot108 vettem figyelembe, melynek számbavételére az Európai Bizottság Éves Makrogazdasági Adatbázisa (AMECO) az az Integrált Nemzeti Számlák Európai Rendszerét (ESA) alkalmazza. A központi költségvetés konszolidált államadósságát a Szabályozó Tanács a 475/2000 rendelete alapján módosított 3605/93 rendelet 1. cikk 5. bekezdése szerint definiálják. Az államadósságon az államháztartási szektor (S.13) év végén fennálló teljes adósságállományát értjük nominális értéken, kivéve azokat a kötelezettségeket, amelyek az államháztartási szektor (S.13) által tartott pénzügyi eszközök. Államadósság összetevője a készpénz és betét állomány (AF.2)109, a részvényen kívüli értékpapírok, kivéve a pénzügyi derivatívákat (AF.33)110 és a hitelek (AF.4)111. Az év végi nominális értéken kerülnek számbavételre a kötelezettségek. A külföldi devizában denominált kötelezettségeket és egyéb külföldi devizában nyilvántartott megállapodásokat nemzeti valutára váltják az év utolsó napján az irányadó piaci árfolyamnak megfelelően (AMECO 2018).
Az államháztartási hiány adatok az Eurostat Government Finance Statistics (GFS) adatbázisából származnak, ahol a túlzott deficit eljárás (Excessive Deficit Procedure, röviden: EDP) során alkalmazott módszertan alapján számítják. A túlzott deficit eljárás során az ESA összesítési szabályokat veszik figyelembe. Az adatok nemzeti valutában, euróban és a GDP százalékában is bemutatásra kerülnek. A vizsgálat során a százalékpontos értékeket vettem figyelembe. A kormányzat deficit/többlete a kormányzat nettóhitelező/hitelfelvevő pozíciójával egyezik meg. Az ESA szabvány definíciója szerint az államháztartás teljes bevételének és kiadásának különbségéből származik (Eurostat 2016).
A reálkamat mutató a rövid lejáratú reálkamatot jelöli és a következőképpen számítják
ahol a nominális kamat az egyes országok (általában 3 hónapos) bankközi kamatait jelöli, a GDP deflátor a piaci áron számított GDP és a konstans áron számított GDP hányadosa százalékban kifejezve, az ESA 8.89 módszertannak megfelelően (AMECO 2018).
A gazdasági növekedés a GDP éves százalékos növekedését jelenti, hazai valutában számítva 2010-es áron, amit amerikai dollárra számítanak át. Az összegzés módszere az éves súlyozott átlag (The World Bank 2018).
Az inflációt a Világbank a fogyasztói árindex éves százalékos változásával méri, Laspeyres formulát alkalmazva, az adatokat az IMF112 Nemzetközi Pénzügyi Statisztikái (IFS) és adatai szolgáltatják. Az összegzés módszere a mediánszámítás (The World Bank 2018).
A folyó fizetési mérleg egyenlege a GDP értékéhez viszonyítva kerül számbavételre. A Világbank az IMF évkönyvének adatait használva, ahol a folyó fizetési mérleg egyenlege a nettó termék és szolgáltatás export, a nettó elsődleges és másodlagos jövedelmek összegéből adódik. Az IMF havi adatokat gyűjt be az országoktól és ezeket éves adatokká aggregálják az éves folyó fizetési mérleg egyenleg megállapítására.
A vizsgálat során felhasznált foglalkoztatottsági adatok113 is a Világbanktól származnak, aki a Nemzetközi Munkaügyi Szervezet (ILO) statisztikákat felhasználva éves súlyozott átlagot számít. A teljes népességhez viszonyítja a foglalkoztatottak számát. Foglalkozatott, aki minimum 15 éves és munkaképes korú. A magas arány azt jelenti, hogy a népesség nagy része foglalkoztatott. Az alacsony arány azt is jelezheti, hogy a fiatalok inkább tanulnak (The World Bank 2018).
A reál effektív árfolyam ráta a hazai, választott országcsoport vagy az euro övezet árainak vagy költségindikátorainak relatív mozgásával korrigált nominális effektív árfolyam ráta. A Világbank adatainak forrása az IMF IFS adatbázisa, amelyek 2010 évi bázisra vannak számítva. A reál effektív árfolyam ráta a nominális effektív árfolyamráta (azaz a valuta értéke néhány külföldi devizák súlyozott átlagához viszonyítva) és az ár-deflátor vagy költségindex hányadosa (The World Bank 2018).
Az adatbázis idősorát 1995-től 2015-ig terveztem, de mivel több ország esetében hiányoztak adatok az 1995-ös évre, ezért erre az évre alkalmaztam a listaszerű törlést (listwise deletion), ahogy Park (2005) és Sávai és Kiss (2016) is javasolják. Az államadósság adatok 1997-től 2015-ig, míg a magyarázó változók idősorai egy évvel késleltetve 1996-tól 2014-ig terjedő időszakra lettek bevonva a vizsgálatba.
4.4. táblázat - 21. táblázat A visegrádi országok egylépéses dinamikus panel modelljének eredményei
|
SSR: 2028,848 |
Sargan teszt: Khi-négyzet(59) = 56,1094 [0,5827] | |||
|
Koefficiens |
Standard hiba |
z |
p-érték | |
|
Előző időszaki államadósság |
0,4511 |
0,0780 |
5,7825 |
<0,0001*** |
|
Konstans |
1,2139 |
0,1724 |
7,0419 |
<0,0001*** |
|
Deficit |
−0,5012 |
0,1269 |
−3,9487 |
<0,0001*** |
|
Reálkamat |
0,4842 |
0,1754 |
2,7597 |
0,0058*** |
|
Reál effektív árfolyam |
−0,0281 |
0,0367 |
−0,7659 |
0,4437 |
|
GDP növekedés |
−0,3661 |
0,1338 |
−2,7372 |
0,0062*** |
|
Folyó fizetési mérleghiány |
−0,2350 |
0,0390 |
−6,0256 |
<0,0001*** |
|
Foglalkoztatottság |
−0,6580 |
0,0534 |
−12,3227 |
<0,0001*** |
|
Infláció |
0,3701 |
0,1340 |
2,7624 |
0,0057*** |
Forrás: saját számítás
A panelvizsgálat eredményeit a szakirodalommal összevetve megállapítható, hogy a kapott magyarázó változók együtthatóinak előjelei megegyeznek a modellben elvárttal (21. táblázat). A reál effektív árfolyam kivételével a magyarázó változóink szignifikánsak lettek. Minden érték százalékpontban volt megadva, ami az eredmények értelmezése során azt jelenti, hogy ha az egyes magyarázó változóink értéke 1 százalékponttal változik, akkor hány százalékponttal változik a GDP-arányos államadósság értéke. A deficit és a folyó fizetési mérleg hiány előjele negatív, azaz, ha az államháztartási hiány vagy a külső mérleg hiány emelkedik, akkor az államadósság is, ami megegyezik Hoffmann (2011), Deli és Mosolygó (2009), valamint Czeti és Hoffmann (2006) eredményeivel. A folyó fizetési mérleg hiányának szignifikáns értéke az ország törékenységét mutatja. A reálkamat, a GDP növekedés és a foglalkoztatottság emelkedése mérsékli az adósságot, úgy ahogy Tarafás (2016), Ono (2015) Battaglini és Coate (2015) is megállapították tanulmányaikban. A növekvő infláció, növekvő államadóssághoz vezet, ami egybevág Miklós-Somogyi és Balogh (2010) eredményeivel.
A következőkben a néhány, a 3.4 alfejezetben kiemelt módszertan alapján a visegrádi országokra fiskális fenntarthatóság szempontjából lefolytatott vizsgálatok eredményeit mutatom be. Egylépéses dinamikus panel modell (41 egyenlet) és az eredmények megerősítése érdekében Heckman-féle szelekciós panel modell (42 és 43 egyenlet) került alkalmazásra.
A 8. mellékletben látható táblázatban összegeztem a Blanchard (1990), Chalk és Hemming (2000), Croce és Juan-Ramón (2003) és Uryszek (2016) által alkalmazott mutatók visegrádi országokra vonatkozó értékeit. A 8. melléklet értékei alapján megállapítható, hogy a mutatók hasonló eredményeket adtak az országok fenntarthatósága szempontjából. Rövid távon, az elsődleges rés alapján megállapíthatom, hogy a visegrádi országok az esetek többségében nem folytattak fenntarthatatlan fiskális politikát. Chalk és Hemming (2000) féle mutató két év (Magyarország 2009-es és 2012-es éve), az Uryszek (2016) féle mutató 12 év (Csehországban 4 év, Magyarországon 2 év, Lengyelországban 3 év és Szlovákiában 3 év) esetében állapította meg a fenntarthatatlanságot. Magyarországon a 2009 és 2012 évre vonatkozóan azt lehet feltételezni, hogy az államadósság megugrása miatt következett be a fenntarthatatlan állapot. A válság hatásának lecsengése látszik az Uryszek (2016) féle mutató által fenntarthatatlannak ítélt években is. Továbbá a nem válság előtti években a nagyobb volumenű költségvetési kiadásnövekedés okozta a mutatók fenntarthatatlanná válását.
A középtávú adórésre vonatkozó adatsorok nem mutattak ilyen jó eredményeket, ugyanis az országok mindegyikének fiskális politikája fenntarthatatlannak bizonyult a mutatók alapján.
Az adatsorokat összevetettük kétmintás nem azonos varianciájú t-próba segítségével, annak érdekében, hogy kiderüljön valóban ugyanazt mérik-e. A Blanchard (1990) féle számítási módszerrel számolt értékeket hasonlítottam a későbbi számítási módszerekhez.
4.5. táblázat - 22. táblázat Az elsődleges résre vonatkozó mutatók kétmintás nem azonos varianciájú t-próba eredményei
|
Chalk – Hemming (2000) |
Croce – Juan-Ramón (2003) |
Uryszek (2016) | |
|
Csehország |
0,0000 |
0,6431 |
0,0003 |
|
Magyarország |
0,0000 |
0,3755 |
0,0000 |
|
Lengyelország |
0,0000 |
0,7590 |
0,0000 |
|
Szlovákia |
0,0000 |
0,2991 |
0,0000 |
Forrás: saját számítás
A Chalk és Hemming (2000) és az Uryszek (2016) által alkalmazott elsődleges rést114114 számító mutatók nem vágnak egybe a Blanchard (1990) által alkalmazott mutató értékével (a p-érték kisebb, mint 0,05) (22. táblázat). Míg a Croce és Juan-Ramón (2003) által alkalmazott mutató azonosnak tekinthető a Blanchard (1990) által alkalmazottal, így a későbbi vizsgálatokban a Croce és Juan-Ramón (2003) által számított elsődleges rést fogom összehasonlítani a szintén általuk kifejlesztett IFS mutató értékével.
Nemcsak az elsődleges résre, hanem a középtávú résre115 vonatkozóan is elvégeztem a kétmintás nem azonos varianciájú t-próbát, itt is Blanchard (1990) féle számítási módszerrel számolt értékeket hasonlítottam a későbbi számítási módszerekhez.
4.6. táblázat - 23. táblázat A középtávú résre vonatkozó mutatók kétmintás nem azonos varianciájú t-próba eredményei
|
Chalk – Hemming (2000) |
Croce – Juan-Ramón (2003) |
Uryszek (2016) | |
|
Csehország |
0,0000 |
0,0000 |
0,1386 |
|
Magyarország |
0,0000 |
0,0000 |
0,6814 |
|
Lengyelország |
0,0000 |
0,0000 |
0,7651 |
|
Szlovákia |
0,0000 |
0,0000 |
0,0831 |
Forrás: saját számítás
A Chalk és Hemming (2000) és a Croce és Juan-Ramón (2003) által alkalmazott középtávú rés mutatók nem vágnak egybe a Blanchard (1990) által megalkotott középtávú rés mutatóval. Míg az Uryszek (2016) középtávú rés mutatója egybevág a Blanchard (1990) féle mutatóval (23. táblázat), így, ha lenne hosszabb idősor az országok makrogazdasági adatairól, akkor ezt a mutatót is tesztelhetném.
A következőkben a Croce és Juan-Ramón (2003) által kifejlesztett IFS mutatót alkalmaztam a fiskális fenntarthatóság mérésére. A vizsgálatot negyedéves adatokra alkalmazták a szerzők, ezért én is negyedéves adatokat használtam. Lengyelországról csak 2002 negyedik negyedévétől állnak rendelkezésre államadósság adatok, így ez lett az idősor kezdőpontja. A periódust 2017 negyedik negyedévével zártam. Az IFS mutatóval végzett vizsgálat előtt a felhasználható adatok miatt módosításra került a korábban bemutatott modell idősora is. A 2003-2017 időszakra vonatkozó adatok és a belőlük számított eredmények arra is választ adnak, hogy az EU csatlakozás után mely tényezők befolyásolják a visegrádi országok államadósságának alakulását (24. táblázat). A 2003-2017-es időszakra lefolytatott vizsgálat eredményei azt mutatják, hogy a reálkamat, a GDP növekedés, a folyó fizetési mérleghiány, a foglalkoztatottság és az infláció alakulása befolyásolják az államadósságot a visegrádi országokban. Összehasonlítva a hosszabb adatsorral az eredményeket megállapítható, hogy befolyásoló tényezők többsége az EU csatlakozás után is szignifikáns marad, bár a szignifikancia szintek összességében csökkentek.
4.7. táblázat - 24. táblázat A visegrádi országok államadósságát meghatározó tényezők vizsgálatának eredményei (2003-2017)
|
SSR: 453,4483 |
Sargan teszt: Khi-négyzet(34) = 31,3531 [0,5980] | |||
|
Koefficiens |
Standard hiba |
z |
p-érték | |
|
Előző időszaki államadósság |
0,2555 |
0,2069 |
1,235 |
0,2168 |
|
Két időszakkal korábbi államadósság |
−0,0187 |
0,1248 |
−0,150 |
0,8808 |
|
Konstans |
−0,1892 |
0,0385 |
−4,912 |
<0,0001*** |
|
Deficit |
−0,0090 |
0,2223 |
−0,040 |
0,9678 |
|
Reálkamat |
−0,5597 |
0,2544 |
−2,200 |
0,0278** |
|
Reál effektív árfolyam |
0,0937 |
0,0695 |
1,347 |
0,1779 |
|
GDP növekedés |
−0,2249 |
0,0945 |
−2,379 |
0,0174** |
|
Folyó fizetési mérleghiány |
−0,2030 |
0,1049 |
−1,936 |
0,0529* |
|
Foglalkoztatottság |
−0,8051 |
0,4061 |
−1,983 |
0,0474** |
|
Infláció |
0,5202 |
0,2856 |
1,822 |
0,0685* |
Forrás: saját szerkesztés
A reálkamat számításhoz ugyanazon adatbázis (OECD) nominális kamatláb és fogyasztói árindex adatait használtam fel. Az adatok hozzáférhetősége miatt szezonálisan nem kiigazított adatokkal dolgoztam (25. táblázat).
4.8. táblázat - 25. táblázat Az IFS mutató számításához felhasznált mutatók
|
Mutató |
Mértékegység |
Adatforrás |
|
Államadósság |
ráta |
Eurostat |
|
Nominális kamatláb |
ráta |
OECD |
|
Fogyasztói árindex |
ráta |
OECD |
|
Reálkamatláb |
ráta |
OECD adatok alapján saját számítás |
|
Reál GDP növekedési üteme |
ráta |
OECD |
Forrás: saját számítás
A módszertani fejezetben vázolt (23) egyenlet alapján kiszámítható az országok IFS mutatója, amelynek részértékeit a 9. mellékletben mutatom be, a szemléletesség érdekében itt a 9. ábrán csak az IFS, béta és lamda értékek kerültek ábrázolásra. Az országokra együttesen állapítottam meg a β* értékét, amely 1,0199. A d* értékét azonban egyformán 0,6-nek választottam, mert a vizsgált országok az EU tagjai és a maastrichti kritériumok 60 százalékos GDP-arányos államadósságot írnak elő számukra.
4.1. ábra - 12. ábra Az IFS mutató és komponenseinek alakulása a vizsgált országokban (2003-2017 utolsó negyedévei)


Forrás: saját számítás
A kiszámított IFS mutató értéke alapján a visegrádi országok a harmadik típusú klaszterbe sorolhatók, azaz se nem fenntarthatatlan, se nem fenntartható fiskális politikát folytatnak (12. ábra).
Az IFS érték számításához felhasználásra kerültek az államadósság, elsődleges egyenleg, reálkamatláb és gazdasági növekedés mutatók, ezért az endogenitás kiküszöbölése érdekében a 3.2 alfejezetben bemutatott államadósságra ható tényezők közül csak a reál effektív árfolyam, az infláció, fizetési mérleg egyenleg és a foglalkoztatottság IFS-re gyakorolt hatását vizsgáltam meg. Az IFS értékek közül a negyedik negyedéves adatokkal dolgoztam.
A vizsgálatot Gretl program segítségével végeztem el. Az (40) egyenlet alapján elvégzett dinamikus panel modell vizsgálat a következő eredményeket hozta (26. táblázat).
4.9. táblázat - 26. táblázat A visegrádi országok IFS mutató értékét meghatározó tényezőinek egylépéses dinamikus panel modell segítségével végzett vizsgálati eredményei
|
SSR: 10,03732 |
Sargan teszt: Khi-négyzet(33) = 28,3709 [0,6970] | |||
|
Koefficiens |
Standard hiba |
z |
p-érték | |
|
IFS(-1) |
0,0914 |
0,1628 |
0,561 |
0,5747 |
|
IFS(-2) |
0,0196 |
0,0746 |
0,263 |
0,7923 |
|
Konstans |
−0,0221 |
0,0236 |
−0,937 |
0,3490 |
|
Reál effektív árfolyam(-1) |
−0,0085 |
0,0149 |
−0,567 |
0,5707 |
|
Reál effektív árfolyam(-2) |
−0,0118 |
0,0156 |
−0,758 |
0,4484 |
|
Infláció(-1) |
0,0177 |
0,0189 |
0,935 |
0,3498 |
|
Infláció(-2) |
−0,0207 |
0,0312 |
−0,665 |
0,5063 |
|
Folyó fizetési mérleghiány(-1) |
0,0747 |
0,0268 |
2,784 |
0,0054*** |
|
Folyó fizetési mérleghiány(-2) |
0,0008 |
0,0101 |
0,083 |
0,9339 |
|
Foglalkoztatottság(-1) |
0,0799 |
0,0236 |
3,387 |
0,0007*** |
|
Foglalkoztatottság(-2) |
−0,0463 |
0,0693 |
−0,667 |
0,5048 |
Forrás: saját számítás
A kapott eredmények alapján a folyó fizetési mérleghiány és a foglalkoztatottság gyakorol hatást az IFS mutató értékére. Az eredményeket megerősítendő két-lépéses Heckman-féle szelekciós panel regressziót is elvégeztem, amely arra ad választ, hogy milyen tényezők befolyásolják az IFS mutató 1-es küszöbérték átlépését. Feltételezve, hogy a mutató kiszámításához használt tényezők (államadósság, elsődleges egyenleg, reálkamatláb, növekedés) hatással vannak a mutatóra, ezért a vizsgálatba ezen tényezők is bevonásra kerültek.
A Heckman-féle szelekciós panel modell segítségével végzett vizsgálat eredményei megerősítik a dinamikus panel regresszió által mért hatásokat, azaz, hogy az IFS mutatót a folyó fizetési mérleghiány és a foglalkoztatottság befolyásolja (27. táblázat). Ezeken kívül az előző időszaki érték van hatással a változására. A Heckman-féle szelekciós modell alapfeltétele, hogy lambda értéke szignifikáns legyen. Ebben az esetben ez nem valósul meg, azaz megállapítható, hogy az IFS mutató alakulása nem függ a számítása során felhasznált tényezők értékétől.
4.10. táblázat - 27. táblázat A visegrádi országok IFS mutató értékét meghatározó tényezőinek kétlépéses Heckman-féle szelekciós panel modell segítségével végzett vizsgálatának eredményei
|
Koefficiens |
Standard hiba |
z |
p-érték | |
|
Konstans |
−0,6791 |
0,3955 |
−1,717 |
0,0859* |
|
IFS(-1) |
0,5874 |
0,2661 |
2,207 |
0,0273** |
|
IFS(-2) |
0,2268 |
0,2839 |
0,799 |
0,4243 |
|
Reál effektív árfolyam(-1) |
0,0092 |
0,0473 |
0,195 |
0,8453 |
|
Reál effektív árfolyam(-2) |
−0,0020 |
0,0364 |
−0,054 |
0,9568 |
|
Infláció(-1) |
0,1194 |
0,0925 |
1,291 |
0,1968 |
|
Infláció(-2) |
−0,1339 |
0,0899 |
−1,490 |
0,1363 |
|
Folyó fizetési mérleghiány(-1) |
0,2097 |
0,0634 |
3,306 |
0,0009*** |
|
Folyó fizetési mérleghiány(-2) |
−0,0263 |
0,0481 |
−0,546 |
0,5850 |
|
Foglalkoztatottság(-1) |
0,2123 |
0,2206 |
0,963 |
0,3357 |
|
Foglalkoztatottság(-2) |
−0,3384 |
0,1629 |
−2,077 |
0,0378** |
|
lambda |
0,5167 |
0,3335 |
1,550 |
0,1213 |
|
Szelekciós egyenlet | ||||
|
konstans |
−0,8951 |
0,2773 |
−3,228 |
0,0012*** |
|
Államadósság(-1) |
−0,0403 |
0,0899 |
−0,448 |
0,6541 |
|
Államadósság(-2) |
0,2166 |
0,1078 |
2,010 |
0,0445** |
|
Deficit(-1) |
−0,1149 |
0,1693 |
−0,679 |
0,4974 |
|
Deficit(-2) |
0,1133 |
0,1512 |
0,750 |
0,4535 |
|
Reálkamat(-1) |
0,1181 |
0,1977 |
0,597 |
0,5502 |
|
Reálkamat(-2) |
0,0152 |
0,1591 |
0,096 |
0,9239 |
|
GDP növekedés(-1) |
−0,0701 |
0,0879 |
−0,798 |
0,4250 |
|
GDP növekedés(-2) |
0,1426 |
0,0903 |
1,579 |
0,1143 |
|
IFS(-1) |
1,1075 |
0,5641 |
1,963 |
0,0496** |
|
IFS(-2) |
1,7452 |
0,8838 |
1,975 |
0,0483** |
Forrás: saját számítás
Az IFS mutatóval végzett vizsgálat során kapott eredményeket összehasonlítottam a Blanchard (1990) által kifejlesztett elsődleges egyenleg és középtávú adórés mutatókkal. Az egybe vethetőség biztosítása érdekében a vizsgálatba azokat a számítási módokat vontam be, amelyeket Croce és Juan-Ramón (2003) vázolt fel tanulmányában, a feltételezésemet mely szerint a Blanchard (1990) féle elsődleges rés és a Croce és Juan-Ramón (2003) által felvázolt elsődleges rés mutatók megegyeznek a két mintás t-próba eredményei is igazolták (lásd korábban a 22. táblázatot).
A vizsgálatot egylépéses dinamikus panelregresszióval végeztem. Az elsődleges egyenleget a Croce és Juan-Ramón (2003) tanulmánya alapján PGI-vel jelöltem. A Sargan-test nem mutatott túlidentifikáltságot, így megfelelő modell került kiválasztásra. A vizsgálat eredményeit a 28. táblázat tartalmazza.
4.11. táblázat - 28. táblázat A visegrádi országok PGI mutató értékét meghatározó tényezőinek egylépéses dinamikus panel modell segítségével végzett vizsgálati eredményei
|
SSR: 187,5682 |
Sargan teszt: Khi-négyzet(41) = 42,3851 [0,4111] | |||
|
Koefficiens |
Standard hiba |
z |
p-érték | |
|
PGI (-1) |
−0,1637 |
0,1068 |
−1,532 |
0,1255 |
|
Konstans |
0,0522 |
0,0074 |
7,070 |
<0,0001*** |
|
Reál effektív árfolyam |
0,0627 |
0,0207 |
3,027 |
0,0025*** |
|
Infláció |
0,1877 |
0,0941 |
1,994 |
0,0462** |
|
Folyó fizetési mérleghiány |
−0,0154 |
0,0380 |
−0,404 |
0,6863 |
|
Foglalkoztatottság |
0,9189 |
0,2741 |
3,352 |
0,0008*** |
Forrás: saját számítás
A vizsgálat eredményei alapján megállapítható, hogy a PGI mutatóra hatást gyakorol a reál effektív árfolyam, az infláció és a foglalkoztatottság is. A 2003-2017-es időszakra a PGI mutató jobb indikátornak bizonyulhat, mint az IFS mutató, ha a fiskális politika fenntarthatóságra gyakorolt hatását szeretnénk vizsgálni.
A fiskális fenntarthatóság mérésére szolgál egy panel ARDL modell is, először tesztelésre kerültek a modell alkalmazásának feltételei, ehhez Fisher féle ADF egységgyök tesztet alkalmaztam. A panelre alkalmazott Fisher-féle ADF egységgyök teszt alkalmazásával (29. táblázat) megállapítható, hogy mivel az államadósság és a hiány eltérő rendben stacionáriusak, ezért panel ARDL modellt lehet rájuk alkalmazni.
4.12. táblázat - 29. táblázat Az egységgyök tesztek eredményei
|
Változó |
Szint |
Differenciált |
Késleltetések száma |
|
Államadósság (D) |
nem stacionárius |
stacionárius |
0 |
|
Hiány (B) |
stacionárius |
– |
0 |
Forrás: AMECO adatok alapján saját számítás
A panel ARDL modell hosszú távú kapcsolatot tud kimutatni a változók között. A vizsgált minta hossza 27 év, az 1995-2021 közötti évek, mert bár már elérhetők a 2022, tapasztalatok szerint ezeket visszamenőlegesen módosítani szokták az adatszolgáltatók. Ebben az adatsorban már benne szerepel a koronavírus járvány hatása is. Mivel még nem telt el kellően hosszú idő egy ARDL modell alkalmazhatóságához a koronavírus óta, így nem lehet kifejezetten kiszűrni annak a hatását. Összehasonlítani lehetséges a kapott eredményeket a korábbi vizsgálatok eredményeivel.
A Hausman teszt alapján a PMG modell hatékonyabb mind az MG vagy DFE változatok (30. táblázat). A kapott értékek alapján nincs szignifikáns hosszú távú kapcsolat az államadósság és a költségvetési hiány között. A rövid távú kapcsolat tekintetében az államadósság változása és a költségvetési hiány változása között negatív kapcsolat van, mely 1 százalékos szignifikancia szinten szignifikáns is. Az államadósság emelkedése a hiány mértékének növekedésével jár együtt rövid távon. Tehát megnehezíti a finanszírozást az állomány növekedése.
4.13. táblázat - 30. táblázat Az ARDL modellek eredményei
|
PMG |
MG |
DFE | ||||
|
Koefficiens |
Standard hiba |
Koefficiens |
Standard hiba |
Koefficiens |
Standard hiba | |
|
Hosszú távú koefficiens | ||||||
|
Dit |
–0,0105 |
0,0254 |
0,0682 |
0,0482 |
0,0482 |
0,0399 |
|
Hibakorrekciós koefficiens |
–0,4410 |
0,0910** |
–0,4734*** |
0,1018 |
–0,3680*** |
0,0648 |
|
Rövid távú koefficiensek | ||||||
|
∆Dit |
–0,2668 |
0,0572*** |
–0,2576*** |
0,0690 |
–0,2035*** |
0,0296 |
|
Konstans |
–0,6952 |
0,2074*** |
–2,3009** |
1,0827 |
–1,6948*** |
0,6910 |
|
Hausman |
Megjegyzés: *** 1 százalékos szinten szignifikáns, ** 5 százalékos szinten szignifikáns
Forrás: AMECO adatok alapján saját számítás
Az országonként elkülönített eredmények (31. táblázat) alapján az látszik, hogy mindegyik ország esetén megtalálható a szignifikáns negatív kapcsolat rövid távon és az államadósság csökkenéséve javul a költségvetési egyenleg is. Kisebb nyomás nehezedik a hiányra, ha kisebb az államadósság. Ezek az eredmények egybevágnak Ramos-Herrara és Prats (2020) eredményeivel is, tehát a COVID-19 válság nem változtatott a korábban tapasztalt alkalmazkodási pályán.
4.14. táblázat - 31. táblázat Az ARDL modell eredményei országonként
|
Koefficiens |
Standard hiba |
p-érték | |
|
Hosszú táv Rövid táv |
–0,0105 |
0,0254 |
0,679 |
|
Csehország | |||
|
ECT |
–0,6327 |
0,1242 |
0,000 |
|
Államadósság_D1 |
–0,4173 |
0,0686 |
0,000 |
|
konstans |
–0,4135 |
0,4872 |
0,396 |
|
Lengyelország | |||
|
ECT |
–0,4796 |
0,1407 |
0,001 |
|
Államadósság_D1 |
–0,2903 |
0,0660 |
0,000 |
|
konstans |
–0,7097 |
0,6888 |
0,303 |
|
Magyarország | |||
|
ECT |
–0,1943 |
0,0986 |
0,049 |
|
Államadósság_D1 |
–0,1581 |
0,0439 |
0,000 |
|
konstans |
–0,3810 |
0,4768 |
0,424 |
|
Szlovákia | |||
|
ECT |
–0,4574 |
0,1328 |
0,001 |
|
Államadósság_D1 |
–0,2013 |
0,0485 |
0,000 |
|
konstans |
–1,2766 |
0,7087 |
0,072 |
Megjegyzés: a függő változó a költségvetési egyenleg, a D1 a rövid távú modell egy időszakos késleltetése, ECT a hibakorrekciós paraméter
Forrás: saját számítás
Az alfejezetet összegezve tehát megállapítható, hogy az általam tesztelt, szakirodalomban sokszor megjelentő fiskális fenntarthatóság mérőszámai különféle eredményeket adtak a vizsgált országcsoport gazdaságpolitikájára. Összehasonlítva a visegrádi országok eredményeit a szakirodalommal megállapítható, hogy az általam kapott eredmények a válság után keletkezett tanulmányokkal (Cruz-Rodríguez 2014, Afonso – Jalles 2015, Afonso – Rault 2015, Wlodarczyk 2017) azonos eredményt mutatnak, azaz, hogy nem lehet fenntarthatónak ítélni az országcsoport fiskális politikáját.
Ha válság előtti és utáni időszakokra bontanám az adatsoromat, akkor az látszana belőle, hogy a válság előtt még fenntarthatóságot mutatnak az eredmények (Green et al. 2001, The World Bank 2005, Westerlund – Prohl 2008). Ugyanakkor már a 1978-2005-ös időszakot vizsgálva Byrne és szerzőtársai (2011) felhívja a figyelmet a feltörekvő országok (Magyarország és Lengyelország szerepelt a vizsgálatban) sérülékenységére és hogy mennyire függ az országok fiskális fenntarthatósága a globális likviditás alakulásától, amiről tudjuk, hogy egy-egy ország fiskális politikája nem tud közvetlenül befolyásolni. Továbbá az is látszik a legfrissebb adatokra épülő vizsgálatból, hogy a koronavírus járványnak lehetnek olyan hatásai, amelyek veszélyeztetik az országok fiskális fenntarthatóságát. Ezen hatások már a 2. fejezetben, országonként elemzésre kerültek.
Ebben a fejezetben körbejártam a visegrádi országok költségvetési bevételi és kiadási oldalának kapcsolatát, azonosítottam az államadósságra ható tényezőket, majd néhány a fiskális fenntarthatóságra vonatkozó mutatókat definiáltam és vetettem alá az államadósságra ható tényezőkkel kapcsolatos vizsgálatoknak.
A fix-hatásos panel regressziós modellel vizsgálva megállapítható, hogy a visegrádi országok költségvetésének bevételi és kiadási oldala között oksági kapcsolat áll fent. Azaz a visegrádi országok kormányzatai által alkalmazott költségvetési megszorítások vagy lazítások hatást gyakorolnak a mind a bevételi, mind a kiadási oldalra, így a költségvetési hiány alakulására is, ami hozzájárul az államadósság változásához is. Ez azt bizonyítja, hogy az államadósság vizsgálatakor a kiadási és a bevételi oldalon keresztül is hatást gyakorolhatnak a vizsgálatokba bevont különféle befolyásoló tényezők. A vizsgálatba bevont tényezők hatásmechanizmusait részletesen ismertettem a 3.2 alfejezetben.
A következő lépés az államadósságot befolyásoló tényezők dinamikus panel regresszióval történő vizsgálata volt. A vizsgálati eredmények alapján azt lehet megállapítani, hogy a visegrádi országok államadósságát a reálkamatláb, a reál effektív árfolyam és az infláció is befolyásolják, amelyre a fiskális politika nem képes közvetlen hatást gyakorolni. A vizsgálatba bevont számos tényező közül olyanok is szignifikáns hatást gyakoroltak az államadósságra melyeket a fiskális politika nem, vagy igen kis mértékben tud befolyásolni. A vizsgálatba bevont magyarázó változók szignifikánsak lettek, kivéve a reál effektív árfolyamot. A deficit és a folyó fizetési mérleg hiány előjele negatív, azaz, ha az államháztartási hiány vagy a külső mérleg hiány emelkedik akkor az államadósság is emelkedik. A folyó fizetési mérleg hiányának szignifikáns értéke az ország törékenységét mutatja. Kis nyitott gazdaságok esetében a folyó fizetési mérleg alakulására számos külső tényező is hat, amelyre a fiskális politika nem képes hatást gyakorolni. A reálkamat, a GDP növekedés és a foglalkoztatottság emelkedése mérsékli az adósságot az eredmények szerint. A növekvő infláció, növekvő államadóssághoz vezetett. A reálkamat és az infláció és végső soron a GDP növekedése is olyan tényezők, amelyeknek jelentős részére a fiskális politika kis mértékben tud hatni.
Végül megállapítható, hogy a visegrádi országok fiskális politikája rövid távon nem volt fenntarthatatlan a rendszerváltozástól napjainkig. Ugyanakkor az empirikus vizsgálatok alapján az is kiderült, hogy a visegrádi országok diszkrecionális fiskális politikáját nem a rövid távú fenntarthatóság kívánalmainak való megfelelés irányította. Fontos azonban megemlíteni az is, hogy a különféle mutatók egymásnak ellentmondó eredményeket adtak, ahogyan ezt Pápa és Valetinyi (2008) is megállapították korábban. Az ellentmondás mögött a vizsgált adatbázis és a választott ökonometriai módszerek is állhatnak.
A könyv témája a fiskális fenntarthatóság vizsgálata. A kutatási kérdésem, arra keresi a választ, hogy a visegrádi országok költségvetési politikája fenntartható volt-e a rendszerváltozásuk óta.
A kutatási kérdés megválaszolásához szükséges volt tisztázni a gazdaságpolitika, fiskális politika, fiskális fenntarthatóság, államadósság, államháztartási hiány fogalmait és a hozzájuk kapcsolódó különféle mérhető mutatókkal való kapcsolatukat, bemutatásra kerültek a fiskális fenntarthatósághoz szorosan kapcsolódó független fiskális intézmények is.
Az alkalmazott vizsgálati módszerek elméleti áttekintésében a korábbi szakirodalom empirikus vizsgálatokat is végző tanulmányai kerültek bemutatásra, kiemelve néhány (az empirikus vizsgálat szempontjából releváns) tanulmányt és az általuk alkalmazott modelleket. A könyv a fiskális fenntarthatóságról szóló elméletek szintetizálásával, és empirikus bizonyításával járult hozzá a már meglévő szakirodalomhoz. A szakirodalom alapján megfogalmazásra és az empirikus eredmények alapján arra következtetésre jutottam, hogy a visegrádi országok államadósság-szabályainak szigorodása figyelhető meg az Európai Unió államadósság válságát követően.
Az országok gazdaságpolitikájának és fiskális keretrendszerének áttekintése alapján megállapítható, hogy Lengyelországban már 1997-ben megalkottak az államadósság mértékére vonatkozó szabályt, az önkormányzatokra vonatkozóan Magyarországon 1996-ban, Szlovákiában 2002-ben vezettek be, ezeket követték a hiánykorlátra vonatkozó szabályok (Magyarországon 2007-től Szlovákiában 2014-től). Csehország esetében fiskális szabályok törvénybe foglalása a 2008-ban kezdődő válság után majdnem tíz évvel történtek meg. A folyamatra leginkább a pénzügyi válságot követő államadósság válság és a válságmenedzsment során bevezetett új szabályozási környezet (Európai Szemeszter, Fiskális Paktum stb.) hatottak ösztönzőleg a visegrádi országok fiskális szabályainak szigorodásában és számuk növekedésében. Tehát összességében azt lehet mondani, hogy az uniós szabályok szigorodása következtében, ezeknek eleget téve próbálják formálni fiskális keretrendszerüket a visegrádi országok. Ugyanakkor a folyamat előrehaladásában nagyon fontos tényező a saját gazdaságpolitikai helyzetük és elkötelezettségük a fiskális fenntarthatóság mellett.
A különféle időszakokra lefolytatott vizsgálatok eredményeként megállapítható, hogy az államadósságra a visegrádi országokban a korábbi évek államadóssága, az államháztartási hiány mértéke, a reálkamat, a reál effektív árfolyam, a gazdasági növekedés, az infláció, a folyó fizetési mérleg hiánya és a foglalkoztatási ráta is hatást gyakorol. A fiskális politika közvetlenül csak a bevételi és kiadási oldalra képes hatni. Áttételesen tud a felsorolt tényezőkre hatást gyakorolni, leginkább a reálkamat, a reál effektív árfolyam és az infláció mértéke az, amit közvetetten és kis mértékben tud változásra bírni. Ha az államadósságot olyan tényezők befolyásolják, amelyekre a fiskális politika nem képes közvetlenül hatni, akkor kijelenthető, hogy a fiskális fenntarthatóság nem csak belső ezen belül fiskális politikai hatások révén valósul, vagy nem valósul meg, hanem olyan külső, a nemzeti gazdaságpolitikától független jelenségek pl.: gazdasági nyitottság miatti árfolyam kitettség is befolyásolják, amelyek alakulására közvetlenül nem képes a nemzeti gazdaságpolitika hatni, azonban az államadósság szerkezetének változtatásával ezt képes optimalizálni. Példának a hazai államadósság esetében megvalósított önfinanszírozási és a devizás kitettség lecsökkentését célzó programját emelném ki. Hasonló eredményre vezethet az eurózónába történő belépés, ahol homogenizálódik a korábban euróban és nemzeti devizában fennálló adósságállomány (pl.: Szlovákia).
A fiskális fenntarthatóságot vizsgáló mutatók alapján az elsődleges költségvetési rés csak néhány év esetén mutatott ki fenntarthatatlanságot. Ha középtávon értelmezett mutatókkal vizsgáltam az adatsorokat, akkor a fenntarthatatlannak bizonyultak a visegrádi országok fiskális politikái. Az eredmények alapján arra a következtetésre jutottam, hogy a visegrádi országok fiskális politikája rövid távon nem volt fenntarthatatlan a rendszerváltozástól napjainkig. A visegrádi országok diszkrecionális fiskális politikáját nem a rövid távú fenntarthatóság kívánalmának való megfelelés irányította.
A szakirodalom áttekintése és a vizsgálatok eredményei alapján számos korábban vizsgált és tényszerűen kezelt megállapítás megkérdőjelezhetővé válik. Lehet-e számszerű követelmények közé szorítani a deficitet és az államadósságot? A szabályozás ebbe az irányba tartott az elmúlt évtizedekben, de a gazdasági változás, a külső környezet alakulása ettől eltérő irányba tolja a nemzetgazdaságok államháztartását. Véleményem szerint meg kell találni az intézményi és módszertani garanciáit a számszerűsítés hatékonyságának biztosítására. A költségvetés tervezés és végrehajtás tudományos megalapozottsága, a maastrichti kritériumok megerősítése, az Európai Szemeszter bevezetése és a költségvetési tanácsok, mint politikai innovációk mind ebbe az irányba mutatnak. A nem EU tagállamok számára példaként állnak ezen intézményi megoldások. Ugyanakkor az EU-val kapcsolatosan felmerül a kérdés, hogy a fiskális szabályrendszer megalkotása, működtetése és felügyelete tekintetében mekkora hatásköre legyen az EU tagállamok kormányainak és mit delegáljanak közösségi szintre. Eddig az eurózóna országok fiskális keretrendszerének közösségi szintű szabályozása került kialakításra, megerősítésre a Költségvetési Paktum keretében. A nem eurózóna tagok önkéntesen választhatták a szerződésekhez, megállapodásokhoz való csatlakozást, így például Magyarország nem ratifikált egyes elemeket.
Mivel a tagállamok arra vállaltak kötelezettséget a csatlakozási szerződésükben, hogy az eurót, mint közös pénznemet fogják használni a jövőben, lemondva az önálló monetáris politikáról, ezért a fiskális politikát, mint gazdaságpolitikai eszközt már kevésbé hajlandók kiengedni szuverén hatáskörből. Ugyanakkor az elmúlt évtizedben meghozott szabályok a közösségi fiskális politika felé próbáltak meg elmozdulni, mindezt úgy, hogy a politikai unió létrehozását nem tűzték ki célul. Talán mindezt látva a nem eurózóna országok számára már kevésbé vonzó alternatívaként jelent meg a közös pénznem bevezetése. Mindaddig, míg a politikai unió kialakítása nem célja a tagállamoknak olyan közösségi szabályokat kell létrehozni, amely minden tagország számára ad lehetőségeket a nemzetállami gazdaságpolitikára.
A visegrádi országokra vonatkozó vizsgálat rávilágított a fiskális fenntarthatósággal kapcsolatos elméletek hiányosságaira is, ami további viták alapja lehet. Utóbbi gondolathoz kapcsolódóan kritikaként felvetem, hogy megkérdőjelezhető az, hogy a meglévő mutatók mennyire képesek megragadni a fiskális fenntarthatóságot, hiszen az empirikus eredmények rávilágítottak, hogy egyazon gazdaságpolitika rövid és középtávon (a hosszú távról nem beszélve) más-más szempont szerint értékelődnek, így lehet, hogy nincs is olyan fiskális politika, ami bármilyen, időben állandó módon képes a fiskális fenntarthatóságra hatást gyakorolni. És mindezek mellett felmerül, hogy ha a fiskális fenntarthatóságot a nemzeti gazdaságpolitikán kívüli tényezők is befolyásolják, akkor ezekre az eseményekre, folyamatokra hogyan tud felkészülni egy fiskális politika?
Továbbá megfogalmazható az is kérdésként, hogyha az eredeti fiskális fenntarthatóság definíció az államadósság viszonylagos állandóságát várja el hosszú távon a fiskális politikától, akkor miért is kerülnek ellentmondásba a rövid és középtávon mért mutatók? Véleményem szerint ezek olyan kérdések, amelyekre nincs jó vagy rossz válasz, az általam végzett kutatás alapján azt tudom megállapítani, hogy rövid távon a politikai erők hatása jobban érvényesül a fiskális döntésekben, ami középtávon már kevésbé érezhető, hosszú távon pedig viszonylag elhanyagolható mértéket ölthet.
Ha a hosszú távú fiskális fenntarthatóság mutatóihoz 15-30 évre előrejelzett adatokat is felhasználunk (pl. 2030-ra előrejelzett hiány, vagy kiadás és bevétel növekedés) akkor modellezési szempontból felmerül annak az igénye, hogy legyen megfelelő mennyiségű adatunk a megbízható előrejelzés elkészítéséhez, ami elengedhetetlenné teszi a hosszú idősorok létezésének igényét. Ilyen hosszúságú adatsorok csak néhány olyan kivételes statisztikai adatbázissal rendelkező ország, mint például USA esetében állnak rendelkezésre. Mindaddig, míg nincsenek legalább 60-80 évre vonatkozó adatsoraink egy-egy országra addig csak a rövid és középtáv vizsgálható, ami eltérő módon viselkedhet, mint a hosszú táv. A hosszú távú fiskális fenntarthatóságot mérő mutatók alkalmazhatóságával kapcsolatosan az is felmerül kérdésként, hogy az egyensúlyi problémák megoldása az országokban akár azonnali (rövid távú) beavatkozásokat igényel a kormányzat részéről, tehát a hosszú távú fiskális fenntarthatóság elemzése csak kutatói szempontból lehet igazán releváns, a gazdaságpolitikusok számára esetleg nagyvonalú iránymutatásként szolgálhat. A gazdaságpolitikusok számára a rövid és középtávra alkalmazható modellek és mutatók lehetnek igazán hasznosak.
Ábel I. – Kóbor Á. (2011): Növekedés, deficit és adósság – fenntartható keretben. Közgazdasági Szemle, 58(6), 511-528. o.
Ábel, I. - Kóbor, Á. (2022). Macroeconomic Components of the Risks to Fiscal Sustainability in Hungary. Risks, 10(11), 201. 1-13. https://doi.org/10.3390/risks10110201
Adrogué, R. (2005): Central America: Global integration and regional cooperation. IMF Occasional Paper, 243, 59-68. o.
Afonso, A. – Hauptmeier, S. (2009): Fiscal behaviour in the European Union: rules, fiscal decentralization and government indebtedness. ECB Working Paper, 1054. https://doi.org/10.2139/ssrn.1399284
Afonso, A. – Jalles, J. T. (2015): Fiscal sustainability: a panel assessment for advanced economies. Applied Economics Letters, 22(11), 925-929. o. https://doi.org/10.1080/13504851.2014.987913
Afonso, A. – Rault, C. (2015): Multi-step analysis of public finances sustainability. Economic Modelling, 48, 199-209. o. https://doi.org/10.1016/j.econmod.2014.10.011
Aghion, P. – Marinescu, J. (2007): Cyclical budgetary policy and growth: what do we learn from OECD panel data? NBER Macroeconomics Annual, 22, 251-278. o. https://doi.org/10.1086/ma.22.25554967
Alberola, E. – Kataryniuk, I. – Melguizo, Á. – Orozco, R. (2018): Fiscal policy and the cycle in Latin America: the role of financing conditions and fiscal rules. Ensayos sobre politica economica, 36(85), 101-116. https://doi.org/10.32468/Espe.8506
Alesina, A. – Roubini N. (1992): Political Cycles in OECD Economies. Review of Economic Studies, 59(4), 663-688. o. https://doi.org/10.2307/2297992
Alesina, A. – Ardagna, S. (2010): Large changes in fiscal policy: tax versus spending. Tax policy and the economy, 24(1), 35-68. o. https://doi.org/10.1086/649828
Alesina, A. – Campante F. R. – Tabellini, G. (2008): Why is fiscal policy often pro-cyclical? Journal of the European Economic Association, 6(5), 1006-1036. o. https://doi.org/10.1162/JEEA.2008.6.5.1006
Alesina, A. – Tabellini, G. (1990): A positive theory of fiscal deficits and government debt. Review of Economic Studies, 57(3), 403-414. o. https://doi.org/10.2307/2298021
AMECO (2018): Economic and Financial Affairs. Online: https://economy-finance.ec.europa.eu/economic-research-and-databases/economic-databases/ameco-database_en Letöltve: 2018. november 29.
Andrle, M. – Bluedorn, J. – Eyraud, L. – Kinda, T. – Koeva Brooks, P. – Schwartz, G. – Weber, A. (2015): Reforming fiscal governance in the European Union. IMF Staff Discussion Note, 15/09. https://doi.org/10.5089/9781498338288.006
Arellano, M. – Bond, S. (1991): Some tests of specification for panel data: Monte carlo evidence and an application to employment equations. The Review of Economic Studies, 58(2), 277-297. o. https://doi.org/10.2307/2297968
Aristovnik, A. – Berčič, B. (2007): Fiscal sustainability in selected transition countries. Munich Personal RePEc Archive. https://mpra.ub.uni-muenchen.de/122/1/MPRA_paper_122.pdf Letöltve: 2017. október 13.
Árva L. (1995): Külföldi beruházások, fizetésimérlegegyensúly, adósságtörlesztés. Közgazdasági Szemle, 42(12), 1147-1156. o.
Ayuso-i-Casals, J. – Hernández, D. G. – Moulin, L. – Turrini, A. (2009): Beyond the SGP: features and effects of EU national-level fiscal rules. In Ayuso-i-Casals, J. – Deroose, S. – Flores, E. – Moulin, L. (eds): Policy Instruments for Sound Fiscal Policies. Palgrave Macmillan UK, London, 204-240. o. https://doi.org/10.1057/9780230271791_10
Baerg, N. R. – Hallerberg, M. (2016): Explaining instability in the stability and growth pact: The contribution of member state power and euroskepticism to the euro crisis. Comparative Political Studies, 49(7), 968-1009. o. https://doi.org/10.1177/0010414016633230
Báger G. – Pulay Gy. –Vigvári A. (2010): A magyar államműködés főbb jellemzői és szükséges változtatásának irányai. Pénzügyi Szemle, 55(2), 217-243. o.
Báger G. – Vígvári A. (2007): Államreform, közpénzügyi reform, Nemzetközi trendek és hazai kihívások. https://asz.hu/storage/files/files/Szakmai%20kutat%C3%A1s/2007/t74.pdf?ctid=737 Letöltve: 2016. október 13.
Baksay G. – Kicsák G. – Szalai Á. (2016): Public debt. MNB Handbooks, 4.
Baksay G. – P. Kiss G. (2009): Törvény a fiskális felelősségről – az első felvonás. MNB-Szemle, 4(1), 15-22.o.
Balassone, F. – Franco, D. – Zotteri, S. (2011): Achilles catches up with the tortoise: An expenditure rule to bride the gap between fiscal outturns and targets. Banca d’Italia. https://www.bancaditalia.it/pubblicazioni/altri-atti-convegni/2011-rules-institution/Balassone_Franco_Zotteri.pdf?language_id=1 Letöltve: 2018. október 13.
Balatoni A. – Tóth G. Cs. (2011): Fenntartható makrogazdaság és államadósság-kezelés. NFFT Műhelytanulmányok, 2.
Balázsi L. – Divényi J. K. – Kézdi G. – Mátyás L. (2014): A közgazdasági adatforradalom és a panelökonometria. Közgazdasági Szemle, 61(11), 1319-1340. o.
Balcerowicz, L. (2010): Sovereign debt in the EU in the comparative perspective. Peterson Institute for International Economics Paper, https://www.piie.com/publications/working-papers/sovereign-bankruptcy-european-union-comparative-perspective Letöltve: 2016. október 13.
Barcza Gy. (2015): Az államadósság szerepének változása a közgazdaságtanban és a magyar adósságkezelés alapelvei. Pénzügyi Szemle, 60(4), 444-457. o.
Barnhill, T. F. – Kopits, G. (2003): Assessing fiscal sustainability under uncertainty. IMF Working Paper, 79. https://doi.org/10.2139/ssrn.879155
Barr, N. (2009): A jóléti állam gazdaságtana - A nagy ellátórendszere működésének összefüggései. Akadémiai Kiadó, Budapest.
Barro, R. J. (1974): Are government bonds net wealth? The Journal of Political Economy, 82(6), 1095-1117. o. https://doi.org/10.1086/260266
Barro, R. J. (1979): On the determination of the public debt. The Journal of Political Economy, 87(5), 940-971. o. https://doi.org/10.1086/260807
Barro, R. J. (1989): The neoclassical approach to fiscal policy. In Barro, R. J. (ed): Modern Business Cycle Theory. Basil Blackwell, Oxford.
Battaglini, M. – Coate, S (2015): A political economy theory of fiscal policy and unemployment. Journal of the European Economic Association, 14(2), 303-337. o. https://doi.org/10.1111/jeea.12136
Beetsma, R. – Cimadomo, J. – Furtuna, O. –Giuliodori, M. (2015): The confidence effects of fiscal consolidations. Economic Policy, 30(83), 439-489. o. https://doi.org/10.1093/epolic/eiv007
Beetsma, R. – Debrun, X. (2007): The new Stability and Growth Pact: A first assignment. European Economic Review, 51(2), 453-477. o. https://doi.org/10.1016/j.euroecorev.2005.12.002
Beetsma, R. – Debrun, X. (2016): Fiscal councils: Rationale and effectiveness. IMF Working Paper, 86. https://doi.org/10.5089/9781484322901.001
Benczes I. – Kutasi G. (2010): Költségvetési pénzügyek. Akadémiai Kiadó, Budapest.
Benczes I. (2016): A fiskális paktum helye és szerepe a válságrendezésben. Külgazdaság, 60(3-4), 51-77. o.
Berta D. – Tóth G. Cs. (2017): Költségvetési szabályok. MNB Oktatási füzetek, 14.
Bessenyei I. (2012): Az államadósság kezelésének prevenciós és rehabilitációs stratégiái. Pécsi Tudományegyetem Műhelytanulmányok, 2012/1, https://journals.lib.pte.hu/index.php/workingpapers/article/view/5939/5665
Bethlendi A. (2017): Államcsődök – zavaros vizeken? Polgári Szemle, · 13( 4–6), 69-82. o. https://doi.org/10.24307/psz.2017.1206
Bjørnland, H. C. – Thorsrud, L. A. (2019): Commodity prices and fiscal policy design: Procyclical despite a rule. Journal of Applied Econometrics, 34(2), 161-180. https://doi.org/10.1002/jae.2669
Blanchard, O. – Chouraqui, J.-C. – Hagemann, R. P. – Sartor, N. (1990): The sustainability of fiscal policy. New answers to an old question. OECD Economic Studies, 15, 7-37. o.
Blanchard, O. – Dell’Ariccia, G. – Mauro, P. (2010): Rethinking Macroeconomic Policy. Journal of Money, Credit and Banking, 42(1), 199-215. https://doi.org/10.1111/j.1538-4616.2010.00334.x
Blanchard, O. – Giavazzi, F. (2004): Improving the SGP through a proper accounting of public investment. CEPR Discussion Paper, 4220.
Blanchard, O. (1990): Suggestions for a new set of fiscal indicators. OECD Economics Department Working Papers, 79.
Blanchard, O. (2014): Végtelen várakozások. Alinea Kiadó, Budapest.
Blundell, R. – Bond, S. (1998): Initial conditions and moment restrictions in dynamic panel data models. Journal of Econometrics, 87(1), 115-143. o. https://doi.org/10.1016/S0304-4076(98)00009-8
Bod P. Á. (2008): Bevezetés a pénzügyek és a pénzpolitika világába. Mundus Magyar Egyetemi Kiadó, Budapest.
Bodnár G. (2020): Az endogén fejlődés tényezőinek vizsgálata rurális térségekben. JATEPress, Szeged.
Bohle, D. – Greskovits B. (2012): Capitalist Diversity on Europe’s Periphery. Cornell Studies in Political Economy, Cornell University Press, London.
Bohn, H. (1991): Budget balance through revenue or spending adjustments – Some historical evidence for the United States. Journal of Monetary Economics, 27(3), 333-359. o. https://doi.org/10.1016/0304-3932(91)90013-E
Bohn, H. (1998): The behavior of U.S public debt and deficits. The Quarterly Journal of Economics, 113(3), 949-963. o. https://doi.org/10.1162/003355398555793
Bohn, H. (2008): The sustainability of fiscal policy in the United States. In Neck, R. – Sturm, J.-E (Eds.): Sustainability of public debt. MIT, Cambridge, 15-50. o. https://doi.org/10.7551/mitpress/7756.003.0003
Botos K. (2013): Gazdasági növekedés munkahelyek nélkül? Pénzügyi Szemle, Online, Online: http:// www.penzugyiszemle.hu/fokuszban/gazdasaginovekedes-munkahelyek-nelkul
Botos K. – Schlett A. (2010): Államháztartástan. Szent István Társulat, Budapest.
Buiter, W. H. (1997): Aspects of fiscal performance in some transition economies under fund-supported programs. IMF Working Paper, 31. https://doi.org/10.5089/9781451980073.001
Buiter, W. H. (1985): A guide to public sector debt and deficits. Economic Policy, 1(1), 13-61. o. https://doi.org/10.2307/1344612
Buti, M. (2006): Will the New Stability and Growth Pact succeed? An Economic and Political Perspective. European Economy Economic Papers, 241.
Byrne, J. P. – Fiess, N. – MacDonald, R. (2011): The global dimension to fiscal sustainability. Journal of Macroeconomics, 33(2), 137-150. o. https://doi.org/10.1016/j.jmacro.2011.01.002
Brady, G. L., & Magazzino, C. (2018). Fiscal Sustainability in the EU. Atlantic Economic Journal, 46(3), 297-311. https://doi.org/10.1007/s11293-018-9588-4
Breitung, J. (2000): The local power of some unit root tests for panel data. In Baltagi. B. H., Fomby, T. B. – Carter Hill, R. (szerk) Nonstationary Panels, Panel Cointegration, and Dynamic Panels (Advances in Econometrics, Volume 15), Emerald Group Publishing Limited, Bingley, 161-178. o. https://doi.org/10.1016/S0731-9053(00)15006-6
Breitung, J. – Das, S (2005): Panel unit root tests under cross-sectional dependence. Statistica Neerlandica, 59(4), 414-433. o. https://doi.org/10.1111/j.1467-9574.2005.00299.x
Calmfors, L. – Chote, R. – Teulings, C. (2010): Hungary’s fiscal council must stay independent. Financial Times, 2010. december 6. https://www.ft.com/content/69d5e212-00d0-11e0-aa29-00144feab49a Letöltve: 2016. július 13.
Calmfors, L. (2006): The revised stability and growth pact – a critical assessment. The Journal for Maney and Banking of the Bank Association of Slovenia, 55, 23-27. o.
Calmfors, L. (2012): The Swedish Fiscal Policy Council: watchdog with a broad remit. CESIFO Working Paper, 3725. https://doi.org/10.2139/ssrn.1998068
Carlberg, M. – Hansen, A. (2013): Sustainability and Optimality of Public Debt. Springer-Verlag, Berlin Heidelberg. https://doi.org/10.1007/978-3-642-32967-8
CBR (2013): Report on compliance with the fiscal responsibility and budget transparency Rules for the year 2012 https://www.rrz.sk/en/report-on-compliance-with-fiscal-responsibility-and-transparency-rules-june-2013/ Letöltve: 2018. október 13.
CBR (2014): Evaluation of compliance with the balanced budget rule in 2013. https://www.rrz.sk/en/evaluation-of-compliance-with-the-balanced-budget-rule-in-2013/ Letöltve: 2018. október 13.
CBR (2015): Evaluation of compliance with the balanced budget rule in 2014. https://www.rrz.sk/en/evaluation-of-compliance-with-the-balanced-budget-rule-in-2014/ Letöltve: 2018. október 13.
CBR (2016): Evaluation of compliance with the balanced budget rule in 2015. https://www.rrz.sk/en/evaluation-of-compliance-with-the-balanced-budget-rule-in-2015/ Letöltve: 2018. október 13.
CBR (2018): Evaluation of compliance with the balanced budget rule in 2017. https://www.rrz.sk/en/evaluation-of-compliance-with-the-balanced-budget-rule-in-2017/ Letöltve: 2018. október 13.
Celasun, O. – Debrun, X. – Jonathan Ostry, J. (2006): Primary surplus behaviour and risks to fiscal sustainability in emerging market countries: A „Fan-Chart” approach. IMF Working Paper, 67. https://doi.org/10.2139/ssrn.898728
Chalk, N. – Hemming, R. (2000): Assessing fiscal sustainability in theory and practice. IMF Working Paper, 81. https://doi.org/10.5089/9781451850352.001
Checherita-Westphal, C. – Ždarek, V. (2017): Fiscal reaction function and fiscal fatigue in the euro area. ECB Working Paper Series, 2036.
Choi, I. (2001): Unit root tests for panel data. Journal of International Money and Finance, 20(2), 249-272. o. https://doi.org/10.1016/S0261-5606(00)00048-6
Clark, W. R. (2009): Capitalism, not Globalism: Capital Mobility, Central Bank Independence, and the Political Control of the Economy. University of Michigan Press, Ann Arbor.
CNB (1998a): Inflation report, July 1998. https://www.cnb.cz/export/sites/cnb/en/monetary-policy/.galleries/inflation_reports/1998/1998_october/download/ir_july_1998.pdf Letöltve: 2017. augusztus 30.
CNB (1998b): Inflation report, October 1998. https://www.cnb.cz/export/sites/cnb/en/monetary-policy/.galleries/inflation_reports/1998/1998_october/download/ir_october_1998.pdf Letöltve: 2017. augusztus 30.
CNB (1999a): Inflation report, July 1999. https://www.cnb.cz/export/sites/cnb/en/monetary-policy/.galleries/inflation_reports/1999/1999_july/download/ir_july_1999.pdf Letöltve: 2017. augusztus 30.
CNB (1999b): Inflation report, October 1999. https://www.cnb.cz/export/sites/cnb/en/monetary-policy/.galleries/inflation_reports/1999/1999_july/download/ir_october_1999.pdf Letöltve: 2017. augusztus 30.
CNB (2000a): Inflation report, July 2000. https://www.cnb.cz/export/sites/cnb/en/monetary-policy/.galleries/inflation_reports/2000/2000_july/download/ir_july_2000.pdf Letöltve: 2017. augusztus 30.
CNB (2000b): Inflation report, October 2000. https://www.cnb.cz/export/sites/cnb/en/monetary-policy/.galleries/inflation_reports/2000/2000_october/download/ir_october_2000.pdf Letöltve: 2017. augusztus 30.
CNB (2001a): Inflation report, January 2001. https://www.cnb.cz/export/sites/cnb/en/monetary-policy/.galleries/inflation_reports/2001/2001_january/download/ir_january_2001.pdf Letöltve: 2017. augusztus 30.
CNB (2001b): Inflation report, July 2001. https://www.cnb.cz/export/sites/cnb/en/monetary-policy/.galleries/inflation_reports/2001/2001_july/download/ir_july_2001.pdf Letöltve: 2017. augusztus 30.
CNB (2001c): Inflation report, October 2001. https://www.cnb.cz/export/sites/cnb/en/monetary-policy/.galleries/inflation_reports/2001/2001_october/download/ir_october_2001.pdf Letöltve: 2017. augusztus 30.
CNB (2002): Inflation report, April 2002. https://www.cnb.cz/export/sites/cnb/en/monetary-policy/.galleries/inflation_reports/2002/2002_april/download/ir_april_2002.pdf Letöltve: 2017. augusztus 30.
Collignon, S. (2004): The end of th Stability and Growth Pact? International Economics and Economic Policy, 1(1), 15-19. o. https://doi.org/10.1007/s10368-004-0009-6
Combes, J-L. – Minea A. – Sow M. (2017): Is fiscal policy always counter- (pro) cyclical? The role of public debt and fiscal rules. Economic Modelling, 65(1), 138-146. o. https://doi.org/10.1016/j.econmod.2017.05.017
Cordes, T. – Kinda, T. – Muthoora, P. – Weber, A. (2015): Expenditure rules: Effective tools for sound fiscal policy? IMF Working Paper, 15/29. https://doi.org/10.5089/9781498390576.001
Cottarreli, C. – Moghadam, R. (2011): Modernizing the framework for fiscal policy and public debt sustainability analysis. International Monetary Fund, https://www.imf.org/external/np/pp/eng/2011/080511.pdf Letöltve: 2017. augusztus 30. https://doi.org/10.5089/9781498338639.007
Cottrell, A. – Luchetti R. J. (2016): Gretl User’s Guide. http:// gretl.sourceforge.net/gretl-help/gretl-guide.pdf Letöltve: 2017. augusztus 30.
Croce, E. – Juan-Ramón, H. V. (2003): Assessing fiscal sustainability: A cross-country comparison. IMF Working Paper, 145. https://doi.org/10.5089/9781451856569.001
Cruz-Rodríguez A. (2014): Assessing fiscal sustainability in some selected countries. MPRA Paper, 54975.
Csaba I. – Tóth I. Gy. (1999): A jóléti állam politikai gazdaságtana. Osiris Kiadó, Budapest.
Czeti T. – Hoffman M. (2006): A magyar államadósság dinamikája: elemzés és szimulációk. MNB-tanulmányok, 50.
D’Erasmo P. – Mendoza E. G. – Zhang J. (2015): What is a sustainable public debt? NBER Working Paper, 21574. https://doi.org/10.3386/w21574
De Grauwe, P. (2003): The Stability and Growth Pact in need of reform. Mimeo. University of Leuven, https://www.researchgate.net/publication/237308330_THE_STABILITY_AND_GROWTH_PACT_IN_NEED_OF_REFORMLetöltve: 2017. augusztus 30.
De Grauwe, P. (2016): The legacy of the Eurozone crisis and how to overcome it. Journal of Empirical Finance, 39, 147-155. o. https://doi.org/10.1016/j.jempfin.2016.01.015
De Jong, J. F. – Gilbert, N. D. (2020). Fiscal discipline in EMU? Testing the effectiveness of the Excessive Deficit Procedure. European Journal of Political Economy, 61, 101822. https://doi.org/10.1016/j.ejpoleco.2019.101822
Debrun, M. X. – Kinda, M. T. (2014): Strengthening post-crisis fiscal credibility: Fiscal councils on the rise – A new dataset. International Monetary Fund Working Paper, 14/58. https://doi.org/10.5089/9781475516135.001
Debrun, X. – Moulin, L. – Turrini, A. – Ayuso-i-Casals, J. – Kumar, M. S (2008): Tied to the mast? National fiscal rules in the European Union. Economic Policy, 23(4), 299-362. o. https://doi.org/10.1111/j.1468-0327.2008.00199.x
Debrun, X. (2011): The theory of independent fiscal agencies: Where are we? And where do we go from there? Wirtschaftspolitische Blätter, 58(1), 81-92. o.
Deli L. – Mosolygó Zs. (2009): Már 2009 után csökkenhet az államadósság rátája. ÁKK tanulmány, Budapest. Online: http://www.akk.hu/object. E56891E9–7A72–4306–89FE-E02EE138AA7A.ivy
Deroose, S. – Moulin, L. – Wierts P. (2006): National expenditure rules and expenditure outcomes: Evidence for EU Member States. Wirtschaftspolitische Blatter, 1, 27-42. o.
Domar, E. (1944): The „burden of debt” and the national income. American Economic Review, 34(4), 798-827. o
Drazen, A. (1998): Towards a political-economic theory of domestic debt. In Calvo, G. – King, M. (eds): The Debt Burden and its Consequences for Monetary Policy. International Economic Association Series. Palgrave Macmillan, London, 159-178. o. https://doi.org/10.1007/978-1-349-26077-5_6
EC (2006): The long-term sustainability of public finances in the European Union. European Economy, 4.
EC (2014): Az EU gazdasági kormányzásának ismertetése. MEMO/13/979, https://www.consilium.europa.eu/hu/policies/joining-the-euro-area/convergence-criteria/
EC (2017a): Az euróövezethez való csatlakozás konvergenciakritériumai. https://ec.europa.eu/commission/sites/beta-political/files/convergence-criteria-for-joining-euro_hu.pdf Letöltve: 2018. október 13.
EC (2017b): Debt Sustainability Monitor 2016. European Economy, 047.
EC (2017c): 10 years since the start of the crisis: Back to recovery thanks to decisive EU action. https://ec.europa.eu/rapid/press-release_IP-17-2401_en.pdf Letöltve: 2019.07.31
EC (2017d): Fiscal rules database. https://ec.europa.eu/info/publications/fiscal-rules-database_en Letöltve: 2018. szeptember 14.
EC (2018): Debt Sustainability Monitor 2017. European Economy, 071.
EC (2021): Fiscal Sustainability Report 2021. European Economy, 171.
EC (2022): Fiscal governance database. https://ec.europa.eu/info/publications/fiscal-rules-database_en Letöltve: 2023. március 31.
ECB (2009): Annual Report 2008. https://www.ecb.europa.eu/pub/pdf/annrep/ar2008en.pdf?0da1f91236eeb11eed9f832a4a874095 Letöltve: 2018. július 5.
ECB (2011): The reform of economic governance in the euro area – Essential elements. Monthly Bullentin, https://www.ecb.europa.eu/pub/pdf/other/art1_mb201103en_pp99-119en.pdf Letöltve: 2018. július 5.
ECB (2012): A Fiscal Compact for a stronger Economic and Monetary Union. Monthly Bullentin, https://www.ecb.europa.eu/pub/pdf/other/art1_mb201205en_pp79-94en.pdf?ea087c02b73d02418533c67ea0d36c1c Letöltve: 2018. július 5.
ECB (2017): A new database for financial crises in European countries. ECB/ESRB EU crises database. Occasional Paper Series, 194.
ECB (2018): Konvergenciakritériumok. https://www.ecb.europa.eu/ecb/orga/escb/html/convergence-criteria.hu.html Letöltve: 2018.október 12.
Égert, B. (2015): The 90% public debt threshold: the rise and fall of a stylized fact. Journal Applied Economics, 47(34-35), 3756-3770. o. https://doi.org/10.1080/00036846.2015.1021463
Erdős T. (1999): Az infláció és néhány közgazdasági kategória kapcsolata. Közgazdasági Szemle, 46(7-8), 629-656. o.
Európai Unió Tanácsa (2017): Infografika - Kinek mi a feladata az európai szemeszter során? https://www.consilium.europa.eu/hu/infographics/european-semester/ Letöltve: 2019. július 10.
European Union (2015): Sustainable development in the European Union. 2015 monitoring report of the EU Sustainable Development Strategy. Eurostat Statistical Books, Luxemburg, http://ec.europa.eu/eurostat/documents/3217494/6975281/KS-GT-15-001-EN-N.pdf Letöltve: 2018. szeptember 14.
Eurostat (2016): Products Dataset. General government deficit/surplus. http://ec.europa.eu/eurostat/web/products-datasets/-/tec00127 Letöltve: 2016. november 9.
Eurostat (2023): Eurostat database. https://ec.europa.eu/eurostat/data/database Letöltve: 2023. június 15.
Fábián G. – Mátrai R. (2012): A nemkonvencionális jegybanki eszközök magyarországi alkalmazása. MNB-Szemle, 7(2), 14-23. o.
Falkner, G. (2002): How intergovernmental are intergovernmental conferences? An example from the Maastricht Treaty reform. Journal of European Public Policy, 9(1), 98-119. o. https://doi.org/10.1080/13501760110104190
Farkas B. (2015): A kapitalizmus változatai Közép- és Kelet-Európában. Köz-gazdaság, 3, 105-112. o.
Farkas B. (2017): Piacgazdaságok az Európai Unióban. Akadémai Kiadó, Budapest. https://doi.org/10.1556/9789634540304
Farkas B. (2021): A közgazdasági gondolkodás rövid története. Akadémiai Kiadó, Budapest https://doi.org/10.1556/9789634547426
Ferkelt B. (2015): Az eurózóna helyzete 2015-ben: Egyben tartható a monetáris unió? Prosperitas, 2(1), 5-19. o.
Fincke, B. – Greiner, A. (2012): How to assess debt sustainability? Some theory and empirical evidence for selected euro area countries. Applied Economics, 44(28), 3717-3724. o. https://doi.org/10.1080/00036846.2011.581213
Fournier, J-M. – Fall F. (2017): Limits to Government debt sustainability in OECD countries. Economic Modelling, 66, 30-41. o. https://doi.org/10.1016/j.econmod.2017.05.013
Frankel, J. A. – Végh, C. A. – Vuletin, G. (2013): On graduation from fiscal procyclcality. Journal of Devlopment Economics, 100(1), 32-47. o. https://doi.org/10.1016/j.jdeveco.2012.07.001
Galí, J. – Gambetti, L. (2009): On the sources of the great moderation. American Economic Journal: Macroeconomics, 1(1), 26-57. https://doi.org/10.1257/mac.1.1.26
Galí, J. – Perotti, R. (2003): Fiscal policy and monetary integration in Europe. Economic Policy, 18(37), 533-572. o. https://doi.org/10.1111/1468-0327.00115_1
Gavin, M. – Perotti, R. (1997): Fiscal policy in Latin America. NBER Macroeconomics Annual, 12, 11-72. o. https://doi.org/10.1086/654320
Gelpern, A. – Setser, B. (2004): Domestic and external debt: the doomed quest for equal treatment. Georgetown Journal of International Law, 35(4), 795-814. o.
Gém E. – Palócz É. (2006): Államháztartáspolitika In Czibere K. – Fertő I. – Gém E. – Halász G. – Kováts F. – Lakatos L. – Mocsári J. – Palócz É. – Pesti S. – Till Sz. (szerk.): Szakpolitikák a rendszerváltás utáni Magyarországon 1990-2006. Rejtjel Politológiai Könyvek 26, Rejtjel Kiadó, Budapest, 1-63. o.
Ghosh, A. R. – Kim, J. I. – Mendoza, E. G. – Ostry, J. D. – Qureshi, M. S (2013): Fiscal fatigue, fiscal space and debt sustainability in advanced economies. The Economic Journal, 123(2), 4-30. o. https://doi.org/10.1111/ecoj.12010
Giday A. (2002): Költségvetés és gazdaságpolitika. In Szegő Sz. (szerk.): Az államháztarásról és humánpolitikai feladatairól. Stratégiai füzetek 11. Miniszterelnöki Hivatal Stratégiai Elemző Központ, Budapest.
Gootjes, B. – de Haan, J. (2022): Procyclicality of fiscal policy in European Union countries. Journal of International Money and Finance, 120, 102276. https://doi.org/10.1016/j.jimonfin.2020.102276
Green C. J. – Holmes, M. J. – Kowalski, T. (2001): Poland: a successful transition to budget sustainability? Emerging Markets Review, 2(2), 160-182. o. https://doi.org/10.1016/S1566-0141(01)00015-2
Greene W. H. (2003): Econometric Analysis. Prentice Hall, New Jersey.
Greiner, A. – Köller, U. – Semmler, W. (2007): Debt sustainability in the European Monetary Union: Theory and empirical evidence for selected countries. Oxford Economic Papers, 59, 194-218. o. https://doi.org/10.1093/oep/gpl035
Hadri, K. (2000): Testing for stationarity in heterogeneous panel data. Econometrics Journal, 3(2), 148-161. o. https://doi.org/10.1111/1368-423X.00043
Hamilton, J. D. – Flavin, M. (1986): On the limitations of government borrowing:
A framework for empirical testing. The American Economic Review, 76, 808-819. o. https://doi.org/10.3386/w1632
Harris, R. D. F. – Tzavalis, E. (1999): Inference for unit roots in dynamic panels where the time dimension is fixed. Journal of Econometrics, 91(2), 201-226. o. https://doi.org/10.1016/S0304-4076(98)00076-1
Hegedűs Á. (2010): Fenntartható fejlődés, fenntartható költségvetés a nemzetközi gazdasági és pénzügyi szervezetek szemszögéből. Pénzügyi Szemle, 55(2), 312-325. o.
Heinemann, F. – Moessinger, M.-D. – Yeter, M. (2016): Do fiscal rules constrain fiscal policy? A meta-regression-analysis. ZEW Discussion Paper, 16-027. https://doi.org/10.2139/ssrn.2762314
Hemming, R. – Kell, M. (2001): Promoting Fiscal Responsibility: Transparency, Rules and Independent Fiscal Authorities. Public Finance (Fiscal Affairs Department), IMF, Washington D.C. https://doi.org/10.2139/ssrn.2095161
Herndon, T. – Ash, M. – Pollin, R. (2014): Does high public debt consistently stifle economic growth? A critique of Reinhart and Rogoff. Cambridge Journal of Economics, 38(2), 257-279. o. https://doi.org/10.1093/cje/bet075
Hild M. (2000): A közgazdaságtan módszertanáról. Bevezető tanulmány. In Bekker Zs. (szerk): Alapművek, alapirányzatok. Aula Kiadó, Budapest, 529-538. o.
Hoffmaister, A. W. – Rojas, M. –Saenz, M. – Segura, M. – Tenorio, E. (2001): Solvency of the overall public sector: A preliminary empirical study for Costa Rica. Central Bank of Costa Rica, Economics Division, Research Note, 04–01.
Hoffmann M. (2011): Az eladósodott állam: kockázatok és mellékhatások. http://kgk.sze.hu/images/dokumentumok/kautzkiadvany2011/penzugyi/HoffmannM.pdf Letöltve: 2018. július 5.
Holmes, M. J. (2006): Do Latin American countries have an incentive to default on their external debts? A perspective based on long-run current account behavior. Emerging Markets Finance and Trade, 42(1), 33-49. o. https://doi.org/10.2753/REE1540-496X420102
Horváth F. (1998): Államháztartástan. Osiris Kiadó, Budapest.
Horváth M. (2017): EU Independent Fiscal Institutions: An Assesment of Potential Effectiveness. Journal of Common Market Studies, 55(1), 1-16. o.
Hume, D. (1777/1994): A közhitelről. In Takács P. (ford.): David Hume összes esszéi II. Atlantisz, Budapest, 113-128. o.
Ihori, T. – Kameda, K. (2018): Procyclical fiscal policy. Springer Singapore. https://doi.org/10.1007/978-981-13-2995-1
IMF (2001): Government finance statistics manual 2001. IMF, Washington D.C.
IMF (2002): Assessing sustainability. IMF, Washington D.C.
IMF (2008): Press release: IMF Executive Board approves 12.3 billion euro stand-by arrangement for Hungary. https://www.imf.org/en/News/Articles/2015/09/14/01/49/pr08275 Letöltve: 2018. október 12.
IMF (2013): The functions and impact of fiscal councils. http://www.imf.org/external/np/pp/eng/2013/071613.pdf Letöltve: 2018. július 4.
IMF (2014): Government finance statistics manual 2014. IMF, Washington D.C.
IMF (2015): Fiscal monitor. IMF, Washington D.C.
Im, K. S. – Pesaran, M. H. – Shin, Y. (2003): Testing for unit roots in heterogeneous panels. Journal of Econometrics, 115(1), 53-74. o. https://doi.org/10.1016/S0304-4076(03)00092-7
Jankovics L. (2012): Független fiskális intézmények. Köz-Gazdaság, 7(1), 147-164. o.
Kaminsky, G. L. – Reinhart, C. M. – Végh, C. A. (2004): When it rains, it pours: procyclical capital flows and macroeconomic policies. NBER Macroeconomics Annual, 19, 11-82. o. https://doi.org/10.1086/ma.19.3585327
Kaponya É. (2012): A monetáris politika − az árstabilitás mint cél, és a hozzá vezető stratégia. In Kaponya É. (szerk): Monetáris politika Magyarországon. Magyar Nemzeti Bank, Budapest. https://www.mnb.hu/letoltes/monetaris-politika-magyarorszagon-2012.pdf Letöltve: 2018. május 12.
Kennedy, S. – Robbins, J. (2001): The role of fiscal rules in determining fiscal performance. Department of Finance Canada, Working Paper, 16. https://doi.org/10.2139/ssrn.2094473
Keynes, J. M. (1965): A foglalkoztatás, a kamat és a pénz általános elmélete. Közgazdasági és Jogi Könyvkiadó, Budapest.
Koehler, S. – König, T. (2015): Fiscal governance in the Eurozone: How effectively does the stability and growth pact limit governmental debt in the Euro countries? Political Science Research and Methods, 3(2), 329-351. o. https://doi.org/10.1017/psrm.2014.26
Kopits Gy. – Romhányi B. (2010): A Költségvetési Tanács indulásának tanulságai. Közgazdasági Szemle, 57(7-8), 573-590. o.
Kopits Gy. – Symansky, S. A. (1998): Fiscal policy rules. IMF Occasional Paper, 162. https://doi.org/10.5089/9781557757043.084
Kopits Gy. (2001): Fiscal rules: Useful policy framework or unnecessary ornament. IMF Working Paper, 145. https://doi.org/10.2139/ssrn.2094462
Kopits Gy. (2007): A költségvetési felelősség keretrendszere – nemzetközi tapasztalatok és magyarországi tanulságok. Pénzügyi Szemle, 52(2), 197-216. o.
Kopits Gy. (2009): Political economy of fiscal reform in Central and Eastern Europe. Competitio, 8(1), 1-10. o. https://doi.org/10.21845/comp/2009/1/4
Kornai J. (1992): The Socialist System: The Political Economy of Communism. Princeton University Press, Princeton. https://doi.org/10.1515/9780691228020
Kornai J. (2000): A költségvetési korlát megkeményítése a posztszocialista országokban. Közgazdasági Szemle, 47(1), 1-22. o.
Kornai J. (2010): Where is the line between independent economic analysis and active policy making? The example of the Independent Fiscal Councils. Acta Oeconomica, 60(3), 249-254. o. https://doi.org/10.1556/aoecon.60.2010.3.1
Kószó E. – Udvari B. (2012): Portugália és Spanyolország a globális gazdasági válságban –előzmények és következmények In Voszka É. – Udvari B. – Mező J. (szerk): Válság és válságkezelés az Európai Unió kohéziós országaiban. SZTE GTK Műhelytanulmányok, MT-PNGKI – 2012/1.
Kotosz B. (2016): Transzformáció, recesszió és költségvetési politika Kelet-Európában. Globe Edit, Saarbrücken.
Kovács Á. (2010): Közpénzügyek. ELTE Eötvös Kiadó, Budapest.
Kovács Á. (2014): Vázlatos betekintés a közpénzügyi döntéshozatalba. Oktatáskutató és Fejlesztő Intézet, Budapest.
Kovács Á. (2016a): A Költségvetési Tanács a magyar Alaptörvényben. Vázlat az intézményfejlődésről és az európai uniós gyakorlatról. Pénzügyi szemle, 61(3), 320-337. o.
Kovács Á. (2016b): Szabályalapú költségvetés: út a költségvetési stabilitáshoz: A magyar megoldás. Polgári Szemle, 12(4-6), https://polgariszemle.hu/aktualis-szam/133-kozpenzugyek-gazdasagpolitika-fenntarthato-fejlodes/834-szabalyalapu-koeltsegvetes-ut-a-koeltsegvetesi-stabilitashoz Letöltve: 2017. július 3.
Kovács O. (2015): Stabilitás és dinamizmus: Az innovatív fiskális politika alapjai. Alinea Kiadó, Budapest.
KSH (1996): Felzárkózás Európához 1990-1995, A Cseh Köztársaság, Lengyelország, a Szlovák Köztársaság, Szlovénia és Magyarország összehasonlító elemzése. KSH, Budapest.
KSH (2010): Magyarország 2009. Központi Statisztikai Hivatal, Budapest.
Kutasi G. (2012): Fiskális szabályok és intézmények az EU-ban. Délkelet-Európa. South-East Europe International Relations Quarterly, 3(1), 1-11. o.
Laffan, B. – Schlosser, P. (2016): Public finances in Europe: fortifying EU economic governance in the shadow of the crisis. Journal of European Integration, 38(3), 237-249. o. https://doi.org/10.1080/07036337.2016.1140158
Lane, P. (2003): The cyclical behaiour of iscal policy: evidence from the OECD. Journal of Public Economics, 87(12), 2661-2675. o. https://doi.org/10.1016/S0047-2727(02)00075-0
Lane, P. R. – Perotti, R. (2003): The importance of composition of fiscal policy: evidence from different exchange rate regimes. Journal of Public Economics, 87(9-10), 2253-2279. o. https://doi.org/10.1016/S0047-2727(01)00194-3
László Cs. (1994): Tépett vitorlák. Az államháztartásról közgazdasági és jogi szempontból. Aula Kiadó, Budapest.
Leeper, E. (1991): Equilibria under ’active’ and ’passive’ monetary and fiscal policies. Journal of Monetary Economics. 27(1), 129-147. https://doi.org/10.1016/0304-3932(91)90007-B
Legrenzi, G. – Milas, C. (2013): Modelling the fiscal reaction functions of the GIPS based on state-varying thresholds. Economics Letters, 121(3), 384–389. o. https://doi.org/10.1016/j.econlet.2013.09.011
Lendvai-Bainton, N. – Szelewa, D. (2021): Governing new authoritarianism: Populism, nationalism and radical welfare reforms in Hungary and Poland. Social Policy & Administration, 55(4), 559-572. https://doi.org/10.1111/spol.12642
Lentner Cs. (2015): Adózási pénzügytan és államháztartási gazdálkodás. Nemzeti Közszolgálati Egyetem Szolgáltató Kft, Budapest.
Levin, A. – Lin, C.-F. – Chu, C.-S. J. (2002): Unit root tests in panel data: Asymptotic and finite-sample properties. Journal of Econometrics, 108(1), 1-24. o. https://doi.org/10.1016/S0304-4076(01)00098-7
Lindbeck, A. (1993): The Welfare State: The Selected Essays of Assar Lindbeck. Edward Elgar Publishing, London.
Losoncz M. (2014): Az államadósság-válság és kezelése az EU-ban. TRI-MESTER, Tatabánya.
Lukovics M. − Somosi S. (2006): A maastrichti konvergencia-kritériumok statisztikai módszertanának és teljesíthetőségének áttekintése és kritikája. Gazdaság és Statisztika, 18(5), 22-36. o.
Madár I. (2008): A jegybanki intézmény szerepe a gazdaságpolitikában – a Magyar Nemzeti Bank példáján. In Bod P. Á. – Báger G. (szerk.): Gazdasági kormányzás. Változás és alkalmazkodás a magyar gazdaságirányítás intézményrendszerében. Aula Kiadó, Budapest, 63-80. o.
Madarász A. (2000): Az ökonómia előtörténetéből. In Bekker Zs. (szerk): Alapművek, alapirányzatok. Aula Kiadó, Budapest, 25-110. o.
Madarász A. (2002): Kameralizmus, történelmi iskola, osztrák gazdaságtan. Három vázlat a német és osztrák közgazdasági diskurzus történetébõl. Közgazdasági Szemle, 48(10), 838-857. o.
Maddala, G. S. - Wu, S. (1999): A Comparative Study of Unit Root Tests with Panel Data and a New Simple Test. Oxford Bulletin of Economics and Statistics, 61, 631-652. o. https://doi.org/10.1111/1468-0084.0610s1631
Martus B. (2015): Növekedjünk vagy foglalkoztassunk? Az amerikai gazdasági növekedés problémája. Pénzügyi Szemle, 60. évf. 2, 254–274. oldal
MK (2019). Magyarország Konvergencia Programja 2019-2023. https://2015-2019.kormany.hu/download/2/c0/61000/KP2018.pdf Letöltve: 2022. május 4.
MK (2020). Magyarország Konvergencia Programja 2020-2024. https://kormany.hu/dokumentumtar/konvergencia-program-2020 Letöltve: 2022. május 4.
MK (2021). Magyarország Konvergencia Programja 2021-2025. https://kormany.hu/dokumentumtar/magyarorszag-konvergencia-programja-2021-2025 Letöltve: 2022. május 4.
MK (2022). Magyarország Konvergencia Programja 2022-2026. https://kormany.hu/dokumentumtar/magyarorszag-konvergencia-programja-2022-2026 Letöltve: 2022. november 4.
Major K. (2013): Hatásvizsgálati kézikönyv: I. kötet: Hatásvizsgálat elemzőknek. Közigazgatási és Igazságügyi Hivatal, Budapest.
Mangler, A. (2010): A jövő fotovoltaikus rendszertechnikája integrált megoldásokat igényel. (1. rész). Elektronet, 19(6), 14-15. o.
Mankiw, N. G. (2005): Makroökonómia. Osiris Kiadó, Budapest.
Martínez Carrera, C. M. – Vergara, R. (2012): Fiscal sustainability: The impact of real exchange rate shocks on debt valuation, interest rates and GDP growth. World Development, 40(9), 1762-1783. o. https://doi.org/10.1016/j.worlddev.2012.04.024
Matolcsy Gy. – Palotai D. (2016): A fiskális és monetáris politika kölcsönhatása Magyarországon az elmúlt másfél évtizedben. Hitelintézeti Szemle, 15(2), 5-32. o.
Menguy, S. (2008): A dynamic rule applied to the threshold imposed on the European budgetary deficits. Journal of Policy Modeling, 30(6), 1093-1105. o. https://doi.org/10.1016/j.jpolmod.2008.01.003
Mercan, M. (2014): Budget deficits sustainable? An empirical analysis for OECD countries. Procedia Social and Behavioral Sciences, 131, 258-263. o. https://doi.org/10.1016/j.sbspro.2014.04.114
Mihályi P. (2010): A magyar privatizáció enciklopédiája. Pannon Egyetemi Könyvkiadó–MTA Közgazdaságtudományi Intézet, Budapest.
Miklós-Somogyi P. − Balogh L. (2010): Költségvetés és infláció európai összehasonlító elemzése (1999-2007). Köz-Gazdaság, 5(1), 85-100. o.
MoFoCZ (2004): Convergence Programme of the Czech Republic. http://ec.europa.eu/economy_finance/economic_governance/sgp/pdf/20_scps/2004-05/01_programme/cz_2004-12-01_cp_en.pdf Letöltve: 2018. július 4.
MoFoCZ (2005): Convergence Programme of the Czech Republic. https://www.mfcr.cz/en/statistics/convergence-programme/2005/convergence-programme-of-the-czech-repub-11757 Letöltve: 2018. július 4.
MoFoCZ (2007): Convergence Programme of the Czech Republic. https://www.mfcr.cz/en/statistics/convergence-programme/2007/convergence-programme-of-the-czech-repub-11755 Letöltve: 2018.07.04
MoFoCZ (2008): Convergence Programme of Czech Republic. https://www.mfcr.cz/en/statistics/convergence-programme/2008/convergence-programme-of-the-czech-repub-11754 Letöltve: 2018. július 4.
MoFoCZ (2010): Convergence Programme of Czech Republic. https://www.mfcr.cz/en/statistics/convergence-programme/2010/convergence-programme-of-the-czech-repub-11753 Letöltve: 2018. július 4.
MoFoCZ (2011): Convergence Programme of Czech Republic. https://www.mfcr.cz/en/statistics/convergence-programme/2011/convergence-programme-of-the-czech-repub-11752 Letöltve: 2018. július 4.
MoFoCZ (2012): Convergence Programme of Czech Republic. https://www.mfcr.cz/en/statistics/convergence-programme/2012/convergence-programme-of-the-czech-repub-11751 Letöltve: 2018. július 4.
MoFoCZ (2013): Convergence Programme of Czech Republic. https://www.mfcr.cz/en/statistics/convergence-programme/2013/convergence-programme-cr-04-2013-11846 Letöltve: 2018. július 4.
MoFoCZ (2014a): Convergence Programme of Czech Republic. https://www.mfcr.cz/en/statistics/convergence-programme/2014/convergence-programme-cr-04-2014-17778 Letöltve: 2018. július 4.
MoFoCZ (2014b): Fiscal Outlook of the Czech Republic. https://www.mfcr.cz/en/statistics/fiscal-outlook/2014/fiscal-outlook-czech-republic-november-2014-19776 Letöltve: 2018. július 4.
MoFoCZ (2015): Fiscal outlook of Czech Republic. https://www.mfcr.cz/en/statistics/fiscal-outlook/2015/fiscal-outlook-of-the-czech-republic-nov-23197 Letöltve: 2018. július 4.
MoFoCZ (2016): Fiscal outlook of Czech Republic. https://www.mfcr.cz/en/statistics/fiscal-outlook/2016/fiscal-outlook-of-the-czech-republic-nov-26621 Letöltve: 2018. július 4.
MoFoCZ (2017a): Fiscal outlook of Czech Republic. https://www.mfcr.cz/en/statistics/fiscal-outlook/2017/fiscal-outlook-of-the-czech-republic-nov-30160 Letöltve: 2018. július 4.
MoFoCZ (2017b): Právní úprava rozpočtové odpovědnosti. https://www.mfcr.cz/assets/cs/media/Prezentace_2017-04_Rozpoctova-odpovednost.pdf Letöltve: 2018. július 4.
MoFoCZ (2018): Convergence program of Czech Republic. https://www.mfcr.cz/en/statistics/convergence-programme/2018/convergence-programme-of-the-czech-repub-31773 Letöltve: 2018. július 4.
MoFoCZ (2019). Convergence program of Czech Republic. https://www.mfcr.cz/en/statistics/convergence-programme/2019/convergence-programme-of-the-czech-repub-35094 Letöltve: 2021. július 4.
MoFoCZ (2020). Convergence program of Czech Republic. https://www.mfcr.cz/en/statistics/convergence-programme/2020/convergence-programme-of-the-czech-repub-38382 Letöltve: 2021. július 4.
MoFoCZ (2021). Convergence program of Czech Republic. https://www.mfcr.cz/en/statistics/convergence-programme/2021/convergence-programme-of-the-czech-repub-41742 Letöltve: 2022. május 4.
MoFoCZ (2022). Convergence program of Czech Republic. https://www.mfcr.cz/en/themes/euro-area-accession-strategy/convergence-programme/2022/convergence-programme-of-the-czech-repub-47478 Letöltve: 2022. november 23.
MoFoSR (2019). Stability Programme of the Slovak Republic for 2019 to 2022. https://www.mfsr.sk/files/en/finance/institute-financial-policy/strategic-documents/stability-programme/stability_programme_of_the_slovak_republic_for_2019_to_2022.pdf Letöltve: 2022. július 4.
MoFoSR (2020). Stability Programme of the Slovak Republic for 2020 to 2023. https://www.mfsr.sk/files/en/finance/institute-financial-policy/strategic-documents/stability-programme/stability_programme_2020-2023_en.pdf Letöltve: 2022. július 4.
MoFoSR (2021). Stability Programme of the Slovak Republic for 2021 to 2024. https://www.mfsr.sk/files/en/finance/institute-financial-policy/strategic-documents/stability-programme/program_stability_slovenska_na_roky_2021-2024_final_na_web_en_clean_edit.pdf Letöltve: 2022. július 4.
MoFoSR (2022). Stability Programme of the Slovak Republic for 2022 to 2025. https://www.mfsr.sk/files/archiv/83/Program-stability-Slovenska-na-roky-2022-2025_po_pripomienkach_vlady_EN_CLEAN.pdf Letöltve: 2022. november 23.
Mizsei K. (1991): Lengyelország. In: Apháty E. (1991): Privatizáció Kelet-Európában : alternatívák, érdekek, törvények. Atlantisz/Medvetánc, Budapest.
MNB (1999): Éves jelentés 1998. https://www.mnb.hu/static/doc/Eves-jelentes-1998.pdf Letöltve: 2018. július 4.
MNB (2000): Éves jelentés 1999. https://www.mnb.hu/letoltes/eves-jelentes-1999-hu.pdf Letöltve: 2018. július 4.
MNB (2001a): Éves jelentés 2000. https://www.mnb.hu/letoltes/eves-jelentes-2000-hu.pdf Letöltve: 2018. július 4.
MNB (2001b): Inflációs jelentés. 2001 november. https://www.mnb.hu/letoltes/inf-0111-hu.pdf Letöltve: 2018. július 4.
MNB (2002a): Éves jelentés 2001. https://www.mnb.hu/letoltes/eves-jelentes-2001-hu.pdf Letöltve: 2018. július 4.
MNB (2002b): Inflációs jelentés 2002 május. https://www.mnb.hu/letoltes/inf-0205-hu.pdf Letöltve: 2018. július 4.
MNB (2002c): Jelentés a pénzügyi stabilitásról 2002 december. http://epa.oszk.hu/00300/00370/00006/pdf/00006.pdf Letöltve: 2018. július 4.
MNB (2003a): Éves jelentés 2002. https://www.mnb.hu/letoltes/eves-jelentes-2002-hu.pdf
MNB (2003b): Jelentés a pénzügyi stabilitásról 2003. december. https://www.mnb.hu/letoltes/stab-jel-0312.pdf Letöltve: 2018. július 4.
MNB (2004a): Éves jelentés 2003. https://www.mnb.hu/letoltes/eves-jelentes-2003-hu.pdf Letöltve: 2018. július 4.
MNB (2004b): Stabilitási jelentés 2004 június. https://www.mnb.hu/letoltes/stab-jel-0406-hu.pdf Letöltve: 2018. július 4.
MNB (2004c): Stabilitási jelentés 2004 december. https://www.mnb.hu/letoltes/stab-jel-20041206-hu.pdf Letöltve: 2018. július 4.
MNB (2005a): Éves jelentés 2004. https://www.mnb.hu/letoltes/eves-jelentes-2004-hu.pdf
MNB (2005b): Stabilitási jelentés 2005 április. https://www.mnb.hu/letoltes/stab-jel-20050425-hu.pdf Letöltve: 2018. július 4.
MNB (2005c): Stabilitási jelentés 2005 október. https://www.mnb.hu/letoltes/stab-jel-20051010-hu.pdf Letöltve: 2018. július 4.
MNB (2006a): Éves jelentés 2005. https://www.mnb.hu/letoltes/eves-jelentes-2005-hu.pdf
MNB (2006b): Stabilitási jelentés 2006 április. https://www.mnb.hu/letoltes/stab-jel-20060410-hu.pdf Letöltve: 2018. július 4.
MNB (2007a): Éves jelentés 2006. https://www.mnb.hu/letoltes/eves-jelentes-2006.pdf
MNB (2007b): Stabilitási jelentés 2007 április. https://www.mnb.hu/letoltes/stab-jel-20070410-hu.pdf Letöltve: 2018. július 4.
MNB (2008a): Éves jelentés 2007. https://www.mnb.hu/letoltes/ar2007hu-j.pdf Letöltve: 2018. július 4.
MNB (2008b): Stabilitási jelentés 2008 április. https://www.mnb.hu/letoltes/stab-jel-20080415-hu.pdf Letöltve: 2018. július 4.
MNB (2008c): Elemzés a konvergencia folyamatokról. https://www.mnb.hu/letoltes/elemzes-a-konvergenciafolyamatokrol-2008.pdf Letöltve: 2018. július 4.
MNB (2009a): Éves jelentés 2008. https://www.mnb.hu/letoltes/eves-jelentes-2008.pdf Letöltve: 2018. július 4.
MNB (2009b): Stabilitási jelentés 2009 április. https://www.mnb.hu/letoltes/stabjel-2009-aprilis-hu.pdf Letöltve: 2018. július 4.
MNB (2009c): Stabilitási jelentés 2009 november. https://www.mnb.hu/letoltes/stabjel-2009-november-hu.pdf Letöltve: 2018. július 4.
MNB (2010a): Éves jelentés 2009. https://www.mnb.hu/letoltes/eves-jelentes-2009-magyar-vegl.pdf Letöltve: 2018. július 4.
MNB (2010b): Stabilitási jelentés 2010 április. https://www.mnb.hu/letoltes/jelentes-a-penzugyi-stabilitasrol.pdf Letöltve: 2018. július 4.
MNB (2010c): Stabilitási jelentés 2010 november. https://www.mnb.hu/letoltes/jelentes-a-penzugyi-stabilitasrol-2010-november.pdf Letöltve: 2018. július 4.
MNB (2011a): Éves jelentés 2010. https://www.mnb.hu/letoltes/eves-jelentes-2010-hu.pdf Letöltve: 2018. július 4.
MNB (2011b): Stabilitási jelentés 2011 április. https://www.mnb.hu/letoltes/stabjel-2009-aprilis-hu.pdf Letöltve: 2018. július 4.
MNB (2011c): Stabilitási jelentés 2011 november. https://www.mnb.hu/letoltes/jelentes-penzugyi-stabilitas-201111-hu.pdf Letöltve: 2018. július 4.
MNB (2012a): Éves jelentés 2011. https://www.mnb.hu/letoltes/eves-jelentes-2011-hu.pdf
MNB (2012b): Stabilitási jelentés 2012 április. https://www.mnb.hu/letoltes/jelentes-penzugyi-stabilitas-201204-hu.pdf Letöltve: 2018. július 4.
MNB (2012b): Stabilitási jelentés 2012 november. https://www.mnb.hu/letoltes/jelentes-penzugyi-stabilitas-201211-hu.pdf Letöltve: 2018. július 4.
MNB (2012d): Elemzés az államháztartásról. http://epa.oszk.hu/03000/03089/00004/pdf/EPA03089_elemzes_2012_05.pdf Letöltve: 2018. július 4.
MNB (2013a): Éves jelentés 2012. https://www.mnb.hu/letoltes/eves-jelentes-2012-hu.pdf Letöltve: 2018. július 4.
MNB (2013b): Stabilitási jelentés 2013 május. https://www.mnb.hu/letoltes/jelentes-penzugyi-stabilitas-201305-hu.pdf Letöltve: 2018. július 4.
MNB (2013c): Stabilitási jelentés 2013 november. https://www.mnb.hu/letoltes/jelentes-a-penzugyi-stabilitasrol-2013-november-1.pdf Letöltve: 2018. július 4.
MNB (2014a): Éves jelentés 2013. https://www.mnb.hu/letoltes/mnb-evesjelentes-2013-hun-vegleges.pdf Letöltve: 2018. július 4.
MNB (2014b): Stabilitási jelentés 2014 május. https://www.mnb.hu/letoltes/stabjel-201405.pdf Letöltve: 2018. július 4.
MNB (2014c): Stabilitási jelentés 2014 november. https://www.mnb.hu/letoltes/penzugyi-stabilitasi-jelentes-2014-november.pdf Letöltve: 2018. július 4.
MNB (2015a): Éves jelentés 2014. https://www.mnb.hu/letoltes/mnb-eves-jelentes-2014.pdf Letöltve: 2018. július 4.
MNB (2015b): Költségvetési jelentés. Féléves elemzés az államháztartási folyamatokról. 2015 augusztus. https://www.mnb.hu/letoltes/2015-feleves-jelentes.pdf Letöltve: 2018. július 4.
MNB (2016a): Éves jelentés 2015. https://www.mnb.hu/letoltes/mnb-eves-jelentes-2015.pdf Letöltve: 2018. július 4.
MNB (2016b): Költségvetési jelentés. Féléves elemzés az államháztartási folyamatokról. 2016 augusztus. https://www.mnb.hu/letoltes/koltsegvetesi-jelentes-2016-hun-20160823.pdf Letöltve: 2018. július 4.
MNB (2017a): Éves jelentés 2016. https://www.mnb.hu/letoltes/eves-jelentes-2016.pdf Letöltve: 2018. július 4.
MNB (2017b): Költségvetési jelentés. Féléves elemzés az államháztartási folyamatokról. 2017 augusztus. https://www.mnb.hu/letoltes/ko-ltse-gvete-si-jelente-s-20172-hun-0823.pdf Letöltve: 2018. július 4.
MNB (2018a): Éves jelentés 2017. https://www.mnb.hu/letoltes/mnb-eves-jelentes-2017-hun-digitalis-vegleges.pdf Letöltve: 2018. július 4.
MNB (2018b): Költségvetési jelentés. Féléves elemzés az államháztartási folyamatokról. http://www.mnb.hu/letoltes/koltsegvetesi-jelentes-2018-2-hun.pdf Letöltve: 2018. december 27.
Mun, T. (1664): England’s Treasure by foreign trade, or the balance of our forraign trade is the rulu our Treasure. Clark, London.
Musgrave, R. A. (1959): The theory of public finance; a study in public economy. Kogakusha Co. https://doi.org/10.1007/978-1-349-23426-4
Nagy L. – Balogh P. (2013): Ökonometria (Elméleti jegyzet). Debreceni Egyetem Gazdálkodástudományok Centruma, Debrecen.
Nagy L. (2015): Merre tovább, Szlovákia? Az elkövetkezendő időszak gazdasági kilátásai. Polgári Szemle, 11(4-6), https://polgariszemle.hu/archivum/95-2015-junius-11-evfolyam-1-3-szam/tanulmanyok-a-nemzetkoezi-terbol-terrol/662-merre-tovabb-szlovakia-az-elkoevetkezendo-idoszak-gazdasagi-kilatasai Letöltve: 2018. október 13.
Nagy, Z. – Horváth, A. (szerk.) (2021): A különleges jogrend és nemzeti szabályozási modelljei. Mádl Ferenc Összehasonlító Jogi Intézet, Budapest. https://doi.org/10.47079/2021.nzha.kulon.4
NBP (1999): Inflation Report 1998. https://static.nbp.pl/dokumenty/polityka-pieniezna/raporty-o-inflacji/raport_o_inflacji_1998_ang.pdf Letöltve: 2018. július 4.
NBP (2000): Inflation Report 1999. https://static.nbp.pl/dokumenty/polityka-pieniezna/raporty-o-inflacji/raport_o_inflacji_1999_ang.pdf Letöltve: ٢٠١٨. július ٤.
NBP (2001): Inflation Report 2000. https://static.nbp.pl/dokumenty/polityka-pieniezna/raporty-o-inflacji/iraport_2000_gb.pdf Letöltve: 2018. július 4.
NBP (2002): Inflation Report 2001.https://static.nbp.pl/dokumenty/polityka-pieniezna/raporty-o-inflacji/iraport_2001_gb.pdf Letöltve: 2018. július 4.
NBP (2003): Inflation Report 2002.https://static.nbp.pl/dokumenty/polityka-pieniezna/raporty-o-inflacji/iraport_2002_gb.pdf Letöltve: 2018. július 4.
NBP (2004): Inflation Report 2003.https://static.nbp.pl/dokumenty/polityka-pieniezna/raporty-o-inflacji/iraport_2003_gb.pdf Letöltve: 2018. július 4.
Németh A. O (2015): Politikai költségvetési ciklusok Kelet-Közép-Európában – elmélet és empíria. Köz-gazdaság. 10(4), 167-178.
NFFT (2013): Nemzeti Fenntartható fejlődési keretstratégia. https://www.nfft.hu/documents/1238941/0/Nemzeti+Fenntarthat%C3%B3+Fejl%C5%91d%C3%A9si+Keretstrat%C3%A9gia.pdf/71543d21-2076-41c6-6ad7-c036b64061f5?t=1614021373311
Nerlich, C. – Reuter, W. H. (2013): The design of national fiscal frameworks and their budgetary impact. ECB Working Paper Series, 1588. https://doi.org/10.2139/ssrn.2322659
Ódor L. – P. Kiss G. (2011): Kivétel erősíti? Fiskális szabályok a visegrádi országokban. MNB-Szemle, 6(2), 25-38. o.
Ódor L. – P. Kiss G. (2014): Vissza az alapokhoz – jó fiskális intézményekhez jó mutatót! Hitelintézeti Szemle, 13(4), 127-153. o.
Ódor L. – P. Kiss G. (2016): Gordian knot or Ariadne’s ball of thread? Searching for a way out ot the european fiscal labyrinth. In Banca d’Italia: Beyond the Austerity Dispute: New Priorities for Fiscal Policy, Printing Office of Banca d’Italia, Rome, 369-392. o.
Ódor L. (2014): The Good, the Bad and the Ugly. Council for Budget Responsibility. Discussion Paper, 3.
Ono, T. (2015): Growth, unemployment, and fiscal policy: A political economy analysis, Discussion Papers in Economics and Business, Osaka University, Graduate School of Economics and Osaka School of International Public Policy (OSIPP), 14-30.
Orbán G. – Szapáry Gy. (2006): Magyar fiskális politika: Quo vadis? MNB tanulmányok, 49.
OSW (2015): The Slavkov Decralation. A new format of regional cooperation. https://www.osw.waw.pl/en/publikacje/analyses/2015-02-04/slavkov-declaration-a-new-format-regional-cooperation Letöltve: 2018. október 23.
Owusu, B. (2021). Fiscal Sustainability Hypothesis Test in Central and Eastern Europe. A Panel Data Perspective. Central European Economic Journal, 8(55), 285-312. https://doi.org/10.2478/ceej-2021-0021
P. Kiss G. (2003): Fiskális transzparencia – jelzőszámok nélkül? In Botos K. (szerk): Pénzügypolitika az ezredfordulón. SZTE GTK, JATEPress, Szeged, 96-109. o.
P. Kiss G. (2012): Distinkció és kikényszeríthetőség – a fiskális szabályrendszer alfája és ómegája. Pázmány Law Working Papers, 39.
P. Kiss G. (2017): Két sikertelen és egy sikeres kiigazítás története. https://www.portfolio.hu/gazdasag/ket-sikertelen-es-egy-sikeres-kiigazitas-tortenete.266717.html Letöltve: 2018. október 23.
Palócz É. (2010): Fiskális politikák a válság tükrében: a nemzetközi pénzügyi válságra adott fiskális politikai reakciók Közép-Kelet-Európában és Magyarországon. Kopint Konjuktúra Kutatási Alapítvány, https://docplayer.hu/2843218-Fiskalis-politikak-a-valsag-tukreben.html Letöltve: 2010. október 4.
Panizza, U. – Presbitero, F. A. (2013): Public debt and economic growth in advanced economies:A survey. Swiss Journal of Economics and Statistics, 149(2), 175-204. o. https://doi.org/10.1007/BF03399388
Pápa L. – Valetinyi Á. (2008): Költségvetési fenntarthatóság. Közgazdasági Szemle, 55(5), 395-426. o.
Park, H. M. (2005): Linear regression models for panel data using SAS, Stata, LIMDEP, and SPSS. The University Information Technology Services (UITS) Center for Statistical and Mathematical Computing, Indiana University.
Park, S. G. (2012): Central Banks Quasi-Fiscal Policies and Inflation. IMF Working Papers. 12/14. https://doi.org/10.5089/9781463931193.001
Pasinetti, L. L. (1998): The myth (or folly) of the 3% deficit/GDP Maastricht ‘parameter’. Cambridge Jounal of Economics, 22(1), 103-116. o. https://doi.org/10.1093/oxfordjournals.cje.a013701
Pilhál Zs. (2018): Ellentétes és párhuzamos érdekek - Az elmúlt évtized pénzügyi válságának kihívásai az eurózóna és a magyar bankrendszerére. Észak-magyarországi Stratégiai Füzetek, 15(3), 98-112. o.
Polat, G. E. - Polat, O. (2021). Fiscal sustainability analysis in EU countries. a dynamic macro-panel approach. Eastern Journal Of European Studies, 12(1), 219-241. https://doi.org/10.47743/ejes-2021-0109
Polito, V. – Wickens, M. (2012): A model-based indicator of the fiscal stance. European Economic Review, 56(3), 526-551. o. https://doi.org/10.1016/j.euroecorev.2011.12.003
Princen, S. – Van Esch, F. (2016): Paradigm formation and paradigm change in the EU’s Stability and Growth Pact. European Political Science Review, 8(3), 355-375. o. https://doi.org/10.1017/S1755773915000089
Rabitsch K. (2012): 10. Makrogazdasági Kutatási Műhelykonferencia az MNB-ben. Fiskális kiigazítás, államadósság és ezek nemzeti és globális következményei. MNB-Szemle, 7(1), 18-27. o.
Rácz M. (2007) A Stabilitási és Növekedési Paktum érvényesítésének problémái és a lehetséges megoldás körvonalai. Közgazdasági Szemle, 54(10), 970-986. o.
Ramanathan, R. (2003): Bevezetés az ökonometriába. Panem, Budapest.
Ramos-Herrera, M. D. C., – Prats, M. A. (2020). Fiscal sustainability in the european countries. a panel ARDL approach and a dynamic panel threshold model.Sustainability, 12(20), 8505, 1-14. https://doi.org/10.3390/su12208505
Reinhart, C. M. – Rogoff, K. S. (2010a): Growth in a time of debt. American Economic Review Papers & Proceedings, 100(2), 573-578. o. https://doi.org/10.1257/aer.100.2.573
Reinhart, C. M. – Rogoff, K. S. (2010b): Growth in a time of debt. NBER Working Paper, 15639. https://doi.org/10.3386/w15639
REKK (2012): A növekvő fotovoltaikus termelés árampiaci hatásai. Jelentés az energiapiacokról, 4(3), 14-22. o.
RoP (2004): Convergence Programme 2004 Update. https://mf-arch2.mf.gov.pl/en/c/document_library/get_file?uuid=96fe9b73-1ec3-428c-ba2d-3ccaf8641fc5&groupId=764034 Letöltve: 2018. július 4.
RoP (2006a): Convergence Programme 2005 Update. https://mf-arch2.mf.gov.pl/en/c/document_library/get_file?uuid=4a5763aa-bb82-4ba3-9b72-391923d4905e&groupId=764034 f Letöltve: 2018. július 4.
RoP (2006b): Convergence Programme 2006 Update. https://mf-arch2.mf.gov.pl/en/c/document_library/get_file?uuid=44f85aeb-6223-457a-a35a-1fd4bce95ed0&groupId=764034 Letöltve: 2018. július 4.
RoP (2007): Convergence Programme 2007 Update. https://mf-arch2.mf.gov.pl/en/c/document_library/get_file?uuid=90c4d0cb-23ae-4d91-a324-da825fbcde0a&groupId=764034 Letöltve: 2018. július 4.
RoP (2008): Convergence Programme 2008 Update. https://mf-arch2.mf.gov.pl/en/c/document_library/get_file?uuid=9e83b3ba-aefa-4b14-984e-60cbae87fb76&groupId=764034 Letöltve: 2018.07.04
RoP (2010): Convergence Programme 2009 Update. https://mf-arch2.mf.gov.pl/en/c/document_library/get_file?uuid=136709ab-115e-4f6b-9af2-53574e8abba4&groupId=764034 Letöltve: 2018. július 4.
RoP (2011): Convergence Programme 2011 Update. https://mf-arch2.mf.gov.pl/en/c/document_library/get_file?uuid=506b74c6-f2ba-4926-91a4-162a43371204&groupId=764034 Letöltve: 2018. július 4.
RoP (2012): Convergence Programme 2012 Update. https://mf-arch2.mf.gov.pl/en/c/document_library/get_file?uuid=5c32ee9e-1510-4334-b490-02a63c8b2700&groupId=764034 Letöltve: 2018. július 4.
RoP (2013): Convergence Programme 2013 Update. https://mf-arch2.mf.gov.pl/en/c/document_library/get_file?uuid=16018a14-8645-447e-a237-7231ff7191a0&groupId=764034 Letöltve: 2018. július 4.
RoP (2014): Convergence Programme 2014 Update. https://mf-arch2.mf.gov.pl/en/c/document_library/get_file?uuid=0dbd467c-4377-4ddb-bfb3-404c194809bd&groupId=764034 Letöltve: 2018. július 4.
RoP (2015): Convergence Programme 2015 Update. https://mf-arch2.mf.gov.pl/en/c/document_library/get_file?uuid=67efd434-74f5-48e5-9469-c28b71c6ecc3&groupId=764034 Letöltve: 2018. július 4.
RoP (2016): Convergence Programme 2016 Update. https://mf-arch2.mf.gov.pl/en/c/document_library/get_file?uuid=46d0767b-26d4-4f0d-bb1a-cd82d6d92f3f&groupId=764034 Letöltve: 2018.07.04
RoP (2017): Convergence Programme 2017 Update. https://mf-arch2.mf.gov.pl/en/c/document_library/get_file?uuid=3667947d-9c9f-481b-95f0-8b1cad34219d&groupId=764034 Letöltve: 2018. július 4.
RoP (2018): Convergence Programme 2018 Update. https://mf-arch2.mf.gov.pl/en/c/document_library/get_file?uuid=752526a7-1ded-4ff0-a372-6b8273c67424&groupId=764034 Letöltve: 2018. július 4.
Ricz J. (2017): A klasszikus fejlesztő állam megközelítés: egy letűnt világ nyomában. Köz-gazdaság, 12(2), 65-91. o.
Romhányi B. (2007): Szempontok és javaslatok a magyar fiskális szabály- és intézményrendszer reformjához. Pénzügyi Szemle, 52(2), 335-370. o.
Roubini, N. – Sachs J. D. (1989a): Political and economic determinants of budget deficits in the industrial democracies. European Economic Review, 33(5), 903-933. o. https://doi.org/10.1016/0014-2921(89)90002-0
Roubini, N. – Sachs J. D. (1989b): Government spending and budget deficits in industrial countries. Economic Policy, 4(8), 100-132. o. https://doi.org/10.2307/1344465
Samuelson P. A. – Nordhaus W. D. (2012): Közgazdaságtan. Akadémiai Kiadó, Budapest.
Sargent, T. J. – Wallace N. (1981): Some unpleasant monetarist arithmetic. Federal Reserve Bank of Minneapolis Quarterly Review, 5(3), 1-17. https://doi.org/10.21034/qr.531
Sávai M. – Kiss G. D. (2016): Pénzügyi idősorok hiányzó adatainak kezelése – afrikai devizaárfolyamok példáján. Statisztikai Szemle, 94(7), 736-756. o. https://doi.org/10.20311/stat2016.07.hu0736
Sávai M. – Kiss G. D. (2017): Az államadósság mértékét meghatározó mutatók vizsgálata. A V4 és GIPS országcsoportok összehasonlító elemzése egylépéses dinamikus panelregresszió segítségével. Pénzügyi Szemle, 62(4), 445-461. o.
Schaechter, A. – Kinda, T. – Budina, N. – Weber, A. (2012): Fiscal Rules in Response to the Crisis - Toward the ‘Next-Generation’ Rules. A New Dataset. IMF Working Paper, 12/187. https://doi.org/10.5089/9781475505351.001
Schön-Quinlivan, E. – Scipioni, M. (2017): The Commission as policy entrepreneur in European economic governance: a comparative multiple stream analysis of the 2005 and 2011 reform of the Stability and Growth Pact. Journal of European Public Policy, 24(8), 1172-1190. o. https://doi.org/10.1080/13501763.2016.1206140
Semmler, W. – Tahri I. (2017): Current account imbalances: A new approach to assess external debt sustainability. Economic Modelling, 62(C), 161-170. o. https://doi.org/10.1016/j.econmod.2016.12.005
Sims, C. A. (1994): A simple model for study of the determination of the price level and the interaction of monetary and fiscal policy. Economic Theory, 4(3), 381-99. https://doi.org/10.1007/BF01215378
Smith, A. (1992): A nemzetek gazdaságság. Közgazdasági és Jogi Kiadó, Budapest.
Smith, J. – Weeks, J. (2017): Bringing democratic choice to Europe’s economic governance. Rosa-Luxemburg-Stiftung, Brussels.
Smith, J. (2013): Reinhart and Rogoff. http://econjeff.blogspot.com/2013/05/reinhart-and-rogoff.html Letöltve: 2017. február 15.
Stark A. (2002): A nemzetgazdaság és az államháztartás. In Szegő Sz. (szerk.): Az államháztartásról és humánpolitikai feladatairól. Stratégiai füzetek 11. Miniszterelnöki Hivatal Stratégiai Elemző Központ, Budapest.
Stella, P. – Lönnberg, A (2008): Issues in central bank finance and independence. IMF Working Paper, 08/37. https://doi.org/10.5089/9781451868999.001
Stockhammer, E. (2016): Neoliberal growth models, monetary union and the Euro crisis. A post-Keynesian perspective. New political economy, 21(4), 365-379. o. https://doi.org/10.1080/13563467.2016.1115826
Stoian, A. - Câmpeanu, E. (2010) Fiscal Policy Reaction in the Short Term for Assessing Fiscal Sustainability in the Long Run in Central and Eastern European Countries. Czech Journal of Economics and Finance, 60(6), 501-518. https://journal.fsv.cuni.cz/storage/1198_str_501_518_-_campeanu.pdf
Szabó Z. (2005): Költségvetés és gazdaságpolitika. In Veress J. (szerk.): Fejezetek a gazdaságpolitikából. Aula Kiadó, Budapest, 154-179. o.
Szente Z. (2020): A 2020. március 11-én kihirdetett veszélyhelyzet alkotmányossági problémái. Állam-és Jogtudomány, 61(3), 115-139. o.
Szlávik J. (2005): Fenntartható környezet- és erőforrás-gazdálkodás. KJK–KERSZÖV Jogi és Üzleti Kiadó Kft., Budapest.
Szőke B. – Mack I. (2017): Válságkezélés a viegrádi négyek országaiban. Polgári Szemle, 13(1-3), 336-349. o. https://doi.org/10.24307/psz.2017.0928
Talvi, E. – Végh, C. (2005): Tax Base Variability and Procyclical Fiscal Policy. Journal of Development Economics, 78(1), 156-190. o. https://doi.org/10.1016/j.jdeveco.2004.07.002
Tanner, E. – Samake, I. (2006): Probabilistic sustainability of public debt: A vector autoregression approach for Brazil, Mexico, and Turkey. IMF Working Paper, 295. https://doi.org/10.5089/9781451865554.001
Tarafás I. (2016): Kinyílnak-e az őszirózsák? Kitekintés a válság utáni monetáris politikára. Közgazdasági Szemle, 63(5), 548-563. o. https://doi.org/10.18414/KSZ.2016.5.548
Teglio, A. – Mazzocchetti, A. – Ponta, L. – Raberto, M. – Cincotti, S. (2019). Budgetary rigour with stimulus in lean times: Policy advices from an agent-based model. Journal of Economic Behavior & Organization, 157, 59-83. https://doi.org/10.1016/j.jebo.2017.09.016
The Czech Fiscal Council (2019): Report on Compliance with the Rules of Budgetary Responsibility for the Year 2018. https://www.rozpoctovarada.cz/wp-content/uploads/2019/11/Report-on-Compliance-with-the-Rules-of-Budgetary-Responsibility-for-the-Year-2018.pdf Letöltés: 2022. szeptember 14.
The Czech Fiscal Council (2020): Report on Compliance with the Rules of Budgetary Responsibility for the Year 2019. https://www.rozpoctovarada.cz/wp-content/uploads/2020/11/Report-on-Compliance-with-the-Rules-of-Budgetary-Responsibility-for-the-Year-2019.pdf Letöltés: 2022. szeptember 14.
The Czech Fiscal Council (2021): Report on Compliance with the Rules of Budgetary Responsibility for the Year 2020. https://www.rozpoctovarada.cz/en/publikace/report-on-compliance-with-the-rules-of-budgetary-responsibility-for-the-year-2020/ Letöltés: 2022. szeptember 14.
The World Bank (2005): Public Debt and Its Determinants in Market Access Countries. Results from 15 Country Case Studies. https://documents1.worldbank.org/curated/en/837121468140047761/pdf/wps3674.pdf
The World Bank (2018): World Bank Database. https://databank.worldbank.org/data/home.aspx Letöltve: 2018. november 29.
Todaro, M. P. – Smith, S. C. (2020): Economic Development. Pearson Education, UK.
Török Á. (2011): Intézményépítés a túlzott államadósság elleni védekezés érdekében. Közgazdasági Szemle, 58(7), 577-591. o.
Török L. (2018): Írország válság előtt és válság után. Pénzügyi Szemle, 63(2), 259-278. o.
Tóth G. Cs. (2014): The Forecasting Capacity of Indicators Measuring Budget Sustainability. Public Finance Quarterly, 59(4), 544-561. o.
Tóth G. Cs. (2017): A nemzeti költségvetési szabályok elterjedése és hatása Európában. Közgazdasági Szemle, 64(11), 1119-1147. o. https://doi.org/10.18414/KSZ.2017.11.1119
Transparency International (2016): Antikorrupciós kisokosok. https://transparency.hu/antikorrupcios-kisokosok/state-capture-foglyul-ejtett-allam/ Letöltés ideje: 2018. szeptember 13.
Trehan, B. – Walsh C. E. (1991): Testing Intertemporal Budget Constraints: Theory and Applications to U. S. Federal Budget and Current Account Deficits. Journal of Money, Credit and Banking, 23(2), 206-223. o. https://doi.org/10.2307/1992777
Új Szó (2015): Cseh-szlovák-osztrák együttműködési fórum – Visegrád konkurenciája? https://ujszo.com/kulfold/cseh-szlovak-osztrak-egyuttmukodesi-forum-visegrad-konkurenciaja Letöltés: 2018. szeptember 14.
UNNR (2018): National Budget Council. https://www.rozpoctovarada.cz/en/the-office/office-of-the-czech-fiscal-council/
Uryszek, T. (2016): Primary Deficit Indicator, Tax Gap, and Fiscal Sustainability: Evidence from Central and Eastern EU Member States. Finanse, 1(9), 103-116. o.
Vass K. (2006): Néhány szó a szabályrendszer által korlátozott fiskális politikáról. Competitio, 5(1), 131-152. o. https://doi.org/10.21845/comp/2006/1/7
Végh, C. A. – Vuletin, G. (2014): The road to redemption: policy responses to crises in Latin America. IMF Economic Review, 62(4), 526-568. o. https://doi.org/10.1057/imfer.2014.23
Verde, A. (2006): The old and the new Stability and Growth Pact along with the main proposals for its reform: An assessment. Transition Studies Review, 13(3), 475-496. o. https://doi.org/10.1007/s11300-006-0119-7
Veress J. (2005): A gazdaságpolitika szerepe a modern gazdaságokban. In Veress J. (szerk.): Fejezetek a gazdaságpolitikából. Aula Kiadó, Budapest, 13-49. o.
Veress J. (2009): A gazdaságpolitika szerepe a modern gazdaságokban. In Veress J. (szerk.): Gazdaságpolitika a globalizált világban, Typotex, Budapest, 13-62. o.
Vidovics-Dancs Á. (2013): Államcsődök. Tények és alapfogalmak újragondolva. Hitelintézeti Szemle, 12(4), 285-305. o.
Vidovics-Dancs Á. (2014): Az államcsőd költségei régen és ma. Közgazdasági Szemle, 61(3), 262-278. o.
Vígvári A. (2011): Pénzügy(rendszer)tan. Akadémiai Kiadó, Budapest
Visegrádi Együttműködés Nyilatkozata (1991): Nyilatkozat a Cseh és Szlovák Szövetségi Köztársaság, a Lengyel Köztársaság és a Magyar Köztársaság együttműködéséről az európai integráció útján. https://www.visegradgroup.eu/documents/visegrad-declarations/deklahu
Von Hagen, J. (1992): Budgeting procedures and fiscal performance in the European Communities. Economic Paper, 96.
Von Hagen, Jürgen – Wolff, G. B. (2004): What Do Deficits Tell Us About Debt? Empirical Evidence on Creative Accounting with Fiscal Rules in the EU. Deutsche Bundesbank Discussion Paper, 37. https://doi.org/10.2139/ssrn.2785083
Voszka É. (2018): Az állami tulajdon pillanatai. Akadémiai Kiadó, Budapest. https://doi.org/10.1556/9789634542186
Waldenström, D. (2010): Why does sovereign risk differ for domestic and external debt? Evidence from Scandinavia, 1938–1948. Journal of International Money and Finance, 29(3), 387-402. o. https://doi.org/10.1016/j.jimonfin.2009.06.016
Westerlund, J. – Prohl, S. (2008): Panel cointegration tests of the sustainability hypothesis in rich OECD countries. Applied Economics, 42(11), 1335-1364. o. https://doi.org/10.1080/00036840701721323
Wierts, P. (2012): How Do Expenditure Rules Affect Fiscal Behaviour? http://dx.doi.org/10.2139/ssrn.2004456 Letöltve: 2018. október 13. https://doi.org/10.2139/ssrn.2004456
Wlodarczyk, P. (2017): Fiscal sustanability of the Visegrad Group Countries in the aftermath of global economic crisis. Lodz Economics Working Papers, 2.
Wooldridge, J. M. (2010): Econometric Analysis of Cross Section and Panel Data. The MIT Press. http://www.jstor.org/stable/j.ctt5hhcfr
Wyplosz, C. (2005): Fiscal policy: Institutions versus rules. National Institute Economic Review, 191(1), 64-78. o. https://doi.org/10.1177/0027950105052661
Wyplosz, C. (2007): Debt sustainability assessment: The IMF approach and alternatives. HEI Working Paper, 3.
Wyplosz, C. (2012): Fiscal rules: Theoretical issues and historical experiences. In Fiscal policy after the financial crisis (pp. 495-525). University of Chicago Press. https://doi.org/10.7208/chicago/9780226018584.003.0013
Yarashevich, V. (2013): External debt of post-communist countries. Communist and Post-Communist Studies, 46(2), 203-216. o. https://doi.org/10.1016/j.postcomstud.2013.03.001
Yläoutinen, S. (2004): Fiscal frameworks in the Central and Eastern European Countries. Ministry of Finance, Finland Economics Department Discussion Paper, 72.
Jogszabályjegyzék:
2008. évi LXXV. törvény a takarékos állami gazdálkodásról és a költségvetési felelősségről
2010. évi XC. törvény egyes gazdasági és pénzügyi tárgyú törvények megalkotásáról, illetve módosításáról
2011. évi CXCIV. törvény Magyarország gazdasági stabilitásáról
2011. évi CXCV. törvény az államháztartásról
2013. évi CXXXIX. törvény a Magyar Nemzeti Bankról
2017. évi XXIII. törvény a költségvetési felelősség szabályairól
2017. évi XXIV. törvény a területi költségvetések költségvetési szabályairól
2017. évi XXV. törvény az államháztartás felügyeletére és kezelésére vonatkozó adatok gyűjtéséről
Magyarország Alaptörvénye 2011. április 25.
1. melléklet A GFS rendszer egyenlegei és mutatói (2001, 2014)
|
Egyenleg megnevezése |
Tartalma |
2001 |
2014 |
|---|---|---|---|
|
Alap GFS egyenlegek* | |||
|
Nettó/bruttó működési egyenleg (Net/gross operating balance, NOB vagy GOB) |
A nettó működési egyenleg a bevételek és ráfordítások különbsége. A bruttó működési egyenleg a bevételek és az állóeszköz-beszerzések nélküli ráfordítások különbsége. |
X |
X |
|
Nettó hitelnyújtó/hitelfelvevő pozíció (Net lending/borrowing, NLB) |
A nettó működési egyenleg és a nem pénzügyi eszközök nettó beszerzési értékének különbsége (vagy a bruttó működési egyenleg és az állóeszköz beszerzések nélkül vett nem pénzügyi eszközök nettó beszerzési értékének a különbsége). A nettó hitelnyújtó/hitelfelvevő pozíció megegyezik a pénzügyi eszközök beszerzésének nettó értékének és a nettó kötelezettségek különbségével. |
X |
X |
|
Pénzforgalmi többlet/hiány (Cash surplus/deficit vagy Cash balance - 2014) |
A működési tevékenységből származó nettó pénzforgalmi beáramlás és a nem pénzügyi eszközökbe történő befektetésekből származó nettó kiáramlás különbsége. |
X |
X |
|
Elsődleges pénzforgalmi egyenleg (Primary cash balance) |
A pénzforgalmi többlet/hiány kivéve a beruházási ráfordításokat vagy a nettó beruházási ráfordításokat. A bruttó államadósság fenntarthatóságának vizsgálatakor a kamat ráfordítások, míg a nettó államadósság fenntarthatóságának vizsgálatakor a nettó kamat ráfordítások nem kerülnek beszámításra. |
X | |
|
További egyenlegek* | |||
|
Teljes fiskális egyenleg (Overall fiscal balance) |
A nettó hitelnyújtó/hitelfelvevő pozíció eszközök és kötelezettségek közcélú átrendezésével kiigazított értéke. Ide értjük a privatizációt a pénzügyi tételekkel együtt, a kölcsön formájában nyújtott támogatásokat is. |
X | |
|
Kiigazított teljes fiskális egyenleg (Adjusted overall fiscal balance) |
A teljes fiskális egyenleg (vagy nettó hitelnyújtó/hitelfelvevő pozíció) kiigazítva néhány vagy minden kapott támogatással, egyes enklávés tevékenységből (például olaj szektor) származó és/vagy nagyméretű, eseti tranzakciók torzító értékével. |
X | |
|
Teljes elsődleges egyenleg (Overall primary balance) |
A teljes fiskális egyenleg kamatráfordításokkal megnövelt értéke. |
X | |
|
Elsődleges működési egyenleg (Primary operating balance) |
2011-ben a nettó működési egyenleg kamatráfordításokkal megnövelt értéke. 2014-től a nettó működési egyenleg értéke kivéve a kamat ráfordításokat. |
X |
X |
|
Elsődleges egyenleg (Primary balance) |
A nettó hitelfelvevő/hitelnyújtó pozíció kamat ráfordítások nélküli értéke. |
X | |
|
Bruttó megtakarítások (Gross saving) |
A bruttó működési bevétel a nettó kapott tőketranszfer (beleértve a nettó tőketámogatások és tőkeadók) értékével csökkentve. A 2014-es kézikönyvben az egyéb makrogazdasági mutatók között szerepel és kiegészítették egy másik meghatározási móddal: a nettó hitelfelvevő/hitelnyújtó pozíció, kivéve a bruttó nem-pénzügyi eszközökbe történt befektetések, és nettó kapott tőketranszferek (ezek közé tartoznak a nettó tőketámogatások és tőkeadók) értékét. |
X |
X |
|
Egyéb makrogazdasági változók | |||
|
Vonal feletti tranzakciók (Above-the-line transactions) |
Minden bevétel, ráfordítás és nettó nem-pénzügyi eszközbe történő beruházás. |
X | |
|
Vonal alatti tranzakciók (Below-the-line transactions) |
Minden nettó pénzügyi eszköz beszerzés és nettó felmerült kötelezettség – azaz más néven a finanszírozási ügyletek. | ||
|
Adóterhek (Fiscal burden) |
Az adóbevételek és a kötelező társadalombiztosítási járulék összege (a GDP százalékában kifejezve). |
X |
X |
|
Adóból származó terhelés (Tax burden) |
Az adó formájú bevételek összege. |
X | |
|
Direkt adók (Direct taxes) |
Olyan adók, amelyek figyelembe veszik az adózók egyéni körülményeit (például személyi jövedelemadó, társasági adó). | ||
|
Indirekt adók (Indirect taxes) |
Olyan adók, amelyek nem veszik figyelembe az adózók egyéni körülményeit (ilyenek az árukra és szolgáltatásokra kivetett adók). | ||
|
Tőkeadók (Capital taxes) |
A ritka, rendszertelen időszakokban keletkező az eszköz értéke vagy a szervezeti egységek nettó vagyona vagy a szervezeti egységek közötti ajándékok és egyéb transzferek összértéke. |
X | |
|
Összes kiadás (Total expenditure) |
Ráfordítások és a nettó nem-pénzügyi eszközök beszerzésének (ha lehetséges az értéktárgyak kivételével számolt) összege. |
X |
X |
|
Összes kiadás felbontás (Total expenditure composition) |
Az összes kiadás COFOG besorolás alapján történő kibontása. |
X | |
|
A kormányzat végső fogyasztási kiadása (Government final consuption expenditure) |
Az alkalmazottak javadalmazásának, a termékek és szolgáltatások igénybevételének, az állóeszközök beszerzésének és a háztarásoknak nyújtott direkt (jellemzően természetbeli) támogatások összértéke csökkentve az áruk és szolgáltatások értékesítésének értékével. |
X |
X |
|
Bruttó beruházás (Gross investment) |
Nem-pénzügyi eszközök beszerzésének és eladásának (ha lehetséges az értéktárgyak kivételével számolt) egyenlege. 2014-től bruttó nem nem-pénzügyi eszközökbe történő befektetés névre hallgat. |
X |
X |
|
Tőkekiadások (Capital spending) |
Nettó nem pénzügyi befektetések megegyeznek a nem pénzügyi eszközök beszerzéséből és elidegenítéséből származó egyenleg az állóeszközök értékcsökkenésével korrigálva. |
X | |
|
Bruttó tőkefelhalmozás (Gross capital formation) |
Termelt nem-pénzügyi eszközök (ezek lehetnek állóeszközök, készletállomány és értéktárgyak). megszerzésének és elidegenítésének különbsége. |
X | |
|
Bruttó állóeszköz felhalmozás (Gross fixed capital formation) |
Az állóeszközök beszerzés és elidegenítésének különbsége. |
X | |
|
Nettó kamatráfordítások (Net interest expense) |
Kamat ráfordítások és kamatbevételek különbsége. |
X | |
|
Szociális kiadások (Social spending) |
A lakás-beruházási, egészségügyi, oktatási és szociális védelemre költött kiadások (COFOG szerinti) összértéke. |
X | |
|
Transzfer kifizetések (Transfer payments excluding grants) |
A vállalatoknak, háztartásoknak és nonprofit szervezeteknek nyújtott támogatások, szociális juttatások, a máshova nem sorolt átruházások, kifizetések és a nem-élet biztosítások és standardizált garanciavállalások. |
X | |
|
Pénzügyi indikátorok (2014-es kategória) | |||
|
Teljes finanszírozás (Total financing) |
A pénzügyi eszközökkel és kötelezettsége kapcsolatos tranzakciók és különbsége. |
X | |
|
Hazai finanszírozás (Domestic financing) |
Hazai szervezeti egységekkel (hazai adósok/hitelezők) végzett pénzügyi eszközökkel és kötelezettségekkel kapcsolatos ügyletek különbsége. |
X | |
|
Külföldi finanszírozás (Foreign financing) |
Külföldi szervezeti egységekkel (külföldi adósok/hitelezők) végzett pénzügyi eszközökkel és kötelezettségekkel kapcsolatos ügyletek különbsége. |
X | |
|
Hazai banki finanszírozás (Domestic bank financing) |
A jegybankkal és a jegybanktól különböző külföldi betétgyűjtő vállalatokkal végzett pénzügyi eszközökkel és kötelezettségekkel kapcsolatos ügyletek különbsége. |
X | |
|
Hazai nem-banki finanszírozás (Domestic nonbank financing) |
A jegybankon kívüli külföldi szervezeti egységekkel és a jegybankon kívüli külföldi betétgyűjtő vállalatokkal végzett pénzügyi eszközökkel és kötelezettségekkel kapcsolatos ügyletek különbsége. A központi kormányzati egységek, és a hazai egyéb pénzügyi vállalatokkal, nem-pénzügyi vállalatokkal, háztartásokkal és nonprofit szervezetekkel végzett pénzügyi eszközökkel és kötelezettségekkel kapcsolatos ügyletek különbsége. |
X | |
|
Jólét és államadósság | |||
|
Szállítói kötelezettség (Accounts payable) |
Az egyéb szállítói kötelezettségek állománya, amely magába foglalja a kereskedelmi hiteleket és előlegeket, és különféle egyéb fizetendő tételeket. |
X | |
|
Késedelmek (Arrears) |
A nem fizetett és esedékességi időn túli fizetési kötelezettségek állománya. |
X | |
|
Teljes nyugdíj és biztosítási kötelezettség (Total pension and insurance liabilities) |
Biztosítási, nyugdíj és standardizált garanciavallási kötelezettségek állományának, nettó szociális biztonsági juttatásból származó kötelezettségekkel növelt értéke. |
X | |
|
Nettó jóléti pozíció (Net wealth position) |
A nettó jólét a teljes eszköz és kötelezettség állomány különbsége. |
X | |
|
Nettó pénzügyi jóléti pozíció (Net financial wealth position) |
A teljes pénzügyi eszköz és kötelezettség állomány különbsége. |
X |
X |
|
Nettó vagyon (Net worth) |
Eszközök állományi értéke a kötelezettségek állományi értékével csökkentve, a referencia periódus végén. |
X | |
|
A nettó vagyon változása (Total change in net worth) |
Nettó vagyon jelenlegi beszámolási periódus végén lévő értéke csökkentve a nettó vagyon előző beszámolási periódus végén lévő értékével. |
X | |
|
Bruttó államadósság pozíció (Gross debt position) |
A kötelezettségállomány értéke, kivéve a részvények, egyéb tulajdonosi értékpapírok és pénzügyi derivatívak értéke. |
X |
X |
|
Nettó államadósság (Net debt) |
A bruttó államadósság állományi értéke csökkentve az államadósság miatt fennálló pénzügyi eszközök értékével. Beleértve minden pénzügyi eszközt és kötelezettséget az adósságinstrumentumban. |
X | |
|
Függő kötelezettségek (Contingent liabilites) |
A kormányzat (állami szektor) explicit garanciavállalásainak és a szociális biztonsági rendszerek kötelezettségeinek nettó jelenértékének összesített állományi értéke. |
X |
X |
Megjegyzés: A 2014-es GSF Kézikönyvben az alapvető és további fiskális egyenlegeket mutató mérőszámok kategóriái összevonásra kerültek, fiskális egyenlegek kategóriába sorolódtak.
Forrás: IMF (2001, 2014) alapján saját szerkesztés
2. melléklet A fiskális szabályrendszer változása az EU-ban
|
Megállapodás neve (éve) |
Hozzájárulása a deficit szabályhoz |
Hozzájárulása az államadósság-szabályhoz |
Egyéb hozzájárulás a fiskális keretrendszer fejlődéséhez |
|---|---|---|---|
|
Stabilitási és Növekedési Egyezmény (1997) |
– túlzottdeficit-eljárás pontosítása* – középtávon egyensúly közeli vagy többletet mutató államháztartási pozíció előírása (szankciók nélkül) |
– korai figyelmeztető rendszer – középtávú stabilitási (GMU-tagok), illetve konvergenciaprogram (nem GMU-tagok) készítési kötelezettség | |
|
Stabilitási és Növekedési Egyezmény módosítása a Tanács 1055/2005 és 1056/2005 számú rendelete (2005) |
– országspecifikus középtávú célkitűzések (MTOs) a költségvetési egyenlegre vonatkozóan (tagállami hatáskörben) – ERM-2 és eurózóna tagoknak a célkitűzéshez vezető pályát is meg kell határozniuk – túlzott hiány estén a GDP minimum 0,5 százalékának megfelelő kiigazítást kell végrehajtani (és a kiigazítási pályába betervezni) – strukturális reformok figyelembevétele a középtávú célkitűzés során |
– az elvárt adósságrátának kielégítő ütemben kell közelítenie a referenciaértéket |
– a súlyos gazdasági visszaesés mértékének definiálása (az éves reál-GDP csökkenése, a termeléskiesés következő évi hatása) – az egyéb tényezők körének meghatározása – eljárási és túlzott költségvetési hiány kiigazítási határidők meghosszabbítása – a Tanács ajánlásainak és figyelmeztetéseinek módosítási lehetősége |
|
Európai Szemeszter (2010) |
– menetrend a költségvetési, makrogazdasági és strukturális politikákra felügyeletére vonatkozóan | ||
|
* A túlzottdeficit-eljárás pontosítása, menetrendjének meghatározása, illetve az EK alapító szerződéséhez képesti felgyorsítása, a büntetés mértékének meghatározása, illetve aszankcionálási módjának, ütemezésének rögzítése, azon „kivételes” és „átmeneti” körülmények definiálása, amelyek mellett lehetővé válik a 3 százalékos deficitplafon áthágása anélkül, hogy azt azonnali szankciók kísérnék” (Benczes – Kutasi 2010, 284. o.). | |||
|
Hatos Csomag: 1173/2011/EU rendelet, 1174/2011/EU rendelet, 1175/2011/EU rendelet, 1176/2011/EU rendelet, 1177/2011/EU rendelet, 2011/85/EU irányelv (2011) |
– a strukturális egyenlegre vonatkozó szabályt a nemzeti joganyagban is szerepeltetni kell (lehetőleg alkotmányban) |
– a GDP-arányos államadósság 60 százalék feletti részét évenként egy huszaddal kell csökkentenie a szerződő félnek |
– kiadási küszöb – átfogó gazdaságpolitikák nyomon-követési rendszere (Macroeconomic Imbalance Procedure – MIP) – az SNE és a MIP szankciók meghatározása |
|
Költségvetési Paktum: Szerződés a Gazdasági és Monetáris Unióbeli stabilitásról, koordinációról és kormányzásról szóló egyezményben III. címe (2013) |
– az egyensúlyt vagy többletet mutató államháztartási „szabályt betartottnak kell tekinteni, ha az államháztartás éves strukturális egyenlege megfelel a felülvizsgált stabilitási és növekedési paktumban meghatározott országspecifikus középtávú célkitűzésnek, ugyanakkor a strukturális hiány alsó határa a piaci áron számított bruttó hazai termék 0,5 százaléka” – rendkívüli kivételek |
– kötelezővé tette a nemzeti szintű szabályalkalmazást (alkotmányba foglalás) | |
|
Kettes Csomag: 472/2013/EU rendelet, 473/2013/EU rendelet. (2013) |
– új nyomon-követési ciklus az euróövezeti tagállamokban – Bizottság és a Tanács ellenőrzési szerepének erősítése | ||
|
Stabilitási és Növekedési Paktum (2015) |
– a válság után hozott szabályok egységes keretbe foglalása – gazdasági feltételek kategorizálása** – kiadási szabály pontosítása | ||
|
** Öt kategóriát alakítottak ki a gazdasági helyzet jellemzésére, melyek a következők (1) „jó idők” amikor a kibocsátási rés meghaladja a 1,5 százalékot, (2) „normál idők” amikor a kibocsátási rés -1,5 és +1,5 százalék között van, (3) „rossz idők” amikor a kibocsátási rés -3 és -1,5 százalék között mozog, (4) „nagyon rossz idők” Forrás: Benczes és Kutasi (2010), Benczes (2016), Andrle és szerzőtársai (2015), ECB (2011), ECB (2012) és az Európai Bizottság (2014) alapján saját szerkesztés |
3. melléklet A fiskális szabályok indexének kritériumrendszere
|
Kritériumok és értékelési szempontjaik |
Elérhető pont |
|---|---|
|
1. kritérium: A szabály jogszabálya vagy jogalapja (Statutory/legal base of the rule) | |
|
Alkotmányban rögzített. |
3 |
|
Általános törvényben rögzített. |
2 |
|
Koalíciós megállapodásban rögzített (beleértve a parlamentben megszavazott kormányprogramot vagy a kormányzati alszektorok közötti nem törvényi megállapodást is). |
1 |
|
Politikai kötelezettségvállalásban (központi kormányzat, helyi önkormányzat, pénzügyminiszter) vagy éves költségvetési törvényben rögzített. |
0 |
|
2. kritérium: A célok megállapítására vagy módosítására szolgáló lehetőség (Room for setting or revising objectives) | |
|
A szabály célját, amit a létrehozó joganyag meghatároz, a kormány nem változtathatja meg vagy függesztheti fel ideiglenesen kivéve a jól körülhatárolt helyzetekben (pl. menekülési záradék). |
3 |
|
A parlamenti jóváhagyás függvényében, a kormány átmenetileg megváltoztathatja a célt vagy dönthet a célról (ha a célok nincsenek definiálva a létrehozó joganyagban). |
1 |
|
A kormány parlamenti jóváhagyás nélkül megváltoztathatja a célt. |
0 |
|
3/a. kritérium: A szabály felügyeletéért felelős szervezet és korrekciós mechanizmus (Nature of the body in charge of rule monitoring and the correction mechanism) | |
|
Független szervezet által ellenőrzött (pl. intézményi típusú költségvetési tanács). |
3 |
|
Állami számvevőszék (ha nincs független költségvetési tanács) és/ vagy parlament által ellenőrzött. |
2 |
|
Pénzügyminisztérium vagy egyéb kormányzati szerv által ellenőrzött. |
1 |
|
Nincs rendszeres ellenőrzés a szabály felett (nincs jelentés, amely rendszeresen értékeli a megvalósulást). |
0 |
|
3/b. kritérium: Valós idejű ellenőrzés (Real-time monitoring) | |
|
Valós idejű (negyedéves vagy gyakoribb) megfigyelés történik és a szabály jogalapja meghatározza a korrekciós intézkedéseket arra az esetre, ha a szabály tiszteletben tartásának veszélye felmerül a valós idejű mechanizmus révén. |
1 |
|
Valós idejű (negyedéves vagy gyakoribb) megfigyelés történik, de a szabály jogalapja nem határozza meg a korrekciós intézkedéseket arra az esetre, ha a szabály tiszteletben tartásának veszélye felmerül a valós idejű mechanizmus révén. |
0,5 |
|
Nincs valós idejű megfigyelés. |
0 |
|
3/c. kritérium: A szabálytól való eltérés esetén a korrekciós mechanizmus ellenőrzéséért felelős testület jellege (Nature of the body in charge of monitoring the correction mechanism in case of deviation from the rule) | |
|
Független intézmény (pl. költségvetési tanács vagy megfelelő jogosultsággal rendelkező állami számvevőszék.) |
3 |
|
Állami számvevőszék és/vagy parlament. |
2 |
|
Pénzügyminisztérium vagy egyéb kormányzati szerv. |
1 |
|
Nincs külön a korrekciós mechanizmusért felelős speciális testület. |
0 |
|
3/d. kritérium: Független testület, amely makrogazdasági/költségvetési előrejelzéseket készít/jóváhagy (Independent body providing/endorsing macro/budgetary forecasts) | |
|
Van egy független intézmény, ami biztosítja vagy jóváhagyja a makrogazdasági és költségvetési előrejelzéseket az éves költségvetés elkészítésekor. |
2 |
|
Van egy független intézmény, ami biztosítja vagy jóváhagyja a makrogazdasági vagy költségvetési előrejelzéseket az éves költségvetés elkészítésekor. |
1 |
|
4. kritérium: Korrekciós mechanizmusok a szabálytól való eltérés esetén (Correction mechanisms in case of deviation from the rule) | |
|
A korrekciós mechanizmus automatikusan életbe lép, és vannak előre meghatározott szabályok a korrekció természetére/méretére és/vagy időszakára vonatkozóan. |
4 |
|
A korrekciós mechanizmus automatikusan életbe lép vagy vannak előre meghatározott szabályok a korrekció természetére/méretére és/vagy időszakára vonatkozóan. |
2 |
|
A kormány köteles korrekciós intézkedéseket hozni vagy bemutatni a parlament vagy az illetékes hatóság felhatalmazásával, de az ilyen cselekvés előre meghatározott határidő nélküli és a beavatkozás természetére/méretre és/vagy határidejére sincsenek előre meghatározott szabályok. |
1 |
|
A kormány köteles korrekciós intézkedéseket hozni vagy bemutatni és a beavatkozás természetére/méretre és/vagy határidejére nincsenek előre meghatározott szabályok. |
0 |
|
5. kritérium: A kormányzati hatáskörön kívüli sokkoknak és eseményeknek történő ellenállás képessége (Resilience to shocks or events outside the control of the government) | |
|
Ennek a kritériumnak az értéke az igen válaszok számának összege: | |
|
Rendelkezik-e a szabály egyértelműen meghatározott mentesítő záradékkal, ami megfelel az SNP-nek? |
igen-1 nem-0 |
|
Van-e költségvetési mozgástér a szabályhoz képest (pl. a tervezett kiadási célok a kiadási plafonnál alacsonyabb szinten vannak meghatározva) vagy van-e biztonsági mozgástér a nemzeti jogszabályban rögzített MTO célhoz képest? |
igen-1 nem-0 |
|
A célértékek ciklikusan kiigazítottak-e vagy számolják-e a ciklust valamilyen módon (pl. a célok a ciklushoz kötöttek)? |
igen-1 nem-0 |
|
Vannak-e olyan kivételek a szabály alól, amelyek a hatóság ellenőrzésén kívül esnek legalább rövid távon (pl. kamat fizetések, munkanélküli segélyek)? |
igen-1 nem-0 |
Forrás: Európai Bizottság (2017) alapján saját szerkesztés
4. melléklet A költségvetés betartásán őrködő független fiskális intézmények 2016. január 1-jén az Európai Unió egyes tagállamaiban (EU-15 országcsoport)
|
|
Ország |
SE |
UK |
FR |
DE |
IE |
PT |
FI |
DK |
BE |
AT |
NL |
IT |
|
A fiskális szabály bevezetésének dátuma |
1997-98, 2007 |
1998, |
2013 |
2010 |
2011 |
2012 |
2010 |
2010 |
1989 |
2012 |
1945 |
2012 | |
|
Fiskális politikai szabály |
Hiánykorlát |
|
|
|
X |
X |
X |
|
|
|
|
|
|
|
Strukturális többlet |
X |
|
|
|
|
|
|
|
|
|
|
| |
|
Elsődleges kiad. korlát |
X |
|
|
|
|
|
|
|
|
|
|
| |
|
Folyó egyensúly |
|
X |
|
|
|
|
|
|
|
|
|
| |
|
Általános egyensúly |
|
|
X |
X |
X |
X |
X |
X |
X |
X |
X |
X | |
|
Hatékonyság-vizsgálat |
|
|
|
|
|
|
|
|
|
|
X |
| |
|
Középtávú tervezés |
|
X |
|
|
|
|
|
X |
|
|
X |
| |
|
Adósságkorlát |
|
X |
X |
|
|
|
|
|
|
X |
|
| |
|
Fenntarthatóság |
|
|
|
|
|
|
|
|
|
X |
|
X | |
|
Hatáskör |
Államháztartási |
X |
X |
X |
X |
X |
X |
X |
X |
X |
X |
X |
X |
|
Nemzeti (kp.-i, szöv.-i) |
|
|
|
X |
|
|
|
|
|
|
X |
| |
|
Szubnacionális korm. |
|
|
|
X |
|
X |
|
|
X |
X |
X |
| |
|
A létrehozás alapja |
Alkotmány |
|
|
|
X |
|
|
|
|
|
|
|
|
|
Törvény |
X |
|
X |
|
X |
X |
X |
X |
X |
X |
X |
X | |
|
Nemzetközi egyezmény |
|
|
|
|
|
|
|
|
|
|
|
| |
|
Politikai, szakmai megállapodás |
X |
X |
|
|
|
|
|
|
|
|
|
| |
|
Közjogi besorolás |
Független, illetve parlamenti szerv |
X |
X |
X |
X |
X |
X |
X |
X |
X |
X |
X |
X |
|
Végrehajtó hatalmi ágba tartozó |
|
|
|
|
|
|
|
|
|
|
|
| |
|
Az IFI által alkalmazható szankció |
Vétójog |
|
|
|
|
|
|
|
|
|
|
|
|
|
Hírnévvesztés |
X |
X |
X |
X |
X |
X |
X |
X |
X |
X |
X |
X | |
|
Jogi |
|
|
|
X |
|
|
|
|
|
|
|
|
Forrás: Kovács (2016a), 333. o.
5. melléklet
A költségvetés betartásán őrködő független fiskális intézmények 2016. január 1-jén az Európai Unió egyes tagállamaiban (EU-13 országcsoport, a bővítés 2004-2013-as szakaszában csatlakozott országok)
|
|
Ország |
BG |
EE |
PL |
LV |
HU |
HR |
RO |
SK |
SL |
|
|
A fiskális szabály bevezetésének dátuma |
1998 |
1998 |
1998 |
1990 |
2009 |
2011 |
2010 |
2012 |
2009 |
|
Fiskális politikai szabály |
Hiánykorlát |
X |
|
|
|
|
|
|
|
|
|
Stabilizációs alap |
X |
X |
|
|
|
|
|
|
| |
|
Összkiadási korlát |
X |
|
|
|
|
|
|
|
| |
|
Általános egyensúly |
|
X |
X |
X |
|
X |
X |
X |
X | |
|
Adósságkorlát |
|
|
X |
|
X |
X |
X |
X |
X | |
|
Fenntarthatóság |
|
|
|
|
|
|
|
|
X | |
|
Hatáskör |
Államháztartási |
X |
X |
X |
X |
X |
X |
X |
X |
X |
|
Nemzeti (központi, szövetségi) |
|
|
|
|
X |
|
|
|
| |
|
Szubnacionális kormányzatok |
|
|
X |
|
|
|
|
|
| |
|
A létrehozás alapja |
Alkotmány |
|
|
X |
|
X |
|
|
X |
|
|
Törvény |
|
|
|
X |
X |
|
X |
|
X | |
|
Politikai, szakmai, megállapodás |
X |
X |
|
|
|
X |
|
|
| |
|
Közjogi besorolás** |
Független, illetve parlamenti szerv |
X |
X |
|
X |
X |
X |
X |
X |
X |
|
Végrehajtó hatalmi ágba tartozó |
|
|
X |
|
|
|
|
| ||
|
Az IFI által alkalmazható szankció |
Vétójog |
|
|
|
X |
|
|
|
| |
|
Hírnévvesztés |
X |
X |
X |
X |
X |
X |
X |
X |
X | |
|
Jogi |
|
|
X |
X |
X |
|
|
|
|
Forrás: Kovács (2016a), 334. o.
6. melléklet Az államadósságra ható tényezők
Megjegyzés: a vastag fekete nyilak, amelyek a pozitív, a vastag szürke nyilak a negatív kapcsolatot mutatják az ábrán, t-k a korábbi érték visszacsatolása, a felkiáltójel a törékenységet jelöli (az ábra szerkesztett formában a Sávai – Kiss (2017) 448. oldalán is szerepel)
Forrás: saját szerkesztés
7. melléklet A visegrádi országok elsődleges résének és középtávú adórésének alakulása a különféle megközelítések szerint (1995-2017)
|
|
|
Blanchard |
Chalk – Hemming |
Croce – Juan-Ramón (2003) féle |
Uryszek | ||||
|---|---|---|---|---|---|---|---|---|---|
|
Ország |
Év |
Elsődleges rés |
Középtávú adórés |
Elsődleges rés |
Középtávú rés |
Elsődleges rés |
Középtávú adórés |
Elsődleges rés |
Középtávú adórés |
|
Csehország
|
1995 |
na |
na |
13,05 |
–16,72 |
na |
na |
–0,62 |
52,55 |
|
1996 |
na |
na |
3,29 |
–7,09 |
na |
na |
–0,28 |
40,92 | |
|
1997 |
na |
na |
2,25 |
–8,24 |
na |
na |
0,94 |
39,96 | |
|
1998 |
na |
na |
3,58 |
–9,20 |
na |
na |
0,60 |
40,40 | |
|
1999 |
–2,94 |
41,17 |
2,78 |
–7,63 |
–3,33 |
8,00 |
0,35 |
40,10 | |
|
2000 |
–3,35 |
42,29 |
3,70 |
–7,47 |
–3,80 |
9,68 |
–0,12 |
40,32 | |
|
2001 |
–5,14 |
45,10 |
6,09 |
–9,17 |
–5,83 |
12,60 |
–0,60 |
42,88 | |
|
2002 |
–6,02 |
44,83 |
6,58 |
–10,09 |
–6,69 |
11,43 |
–0,22 |
43,93 | |
|
2003 |
–6,81 |
43,73 |
7,59 |
–13,45 |
–6,96 |
9,58 |
–0,71 |
49,01 | |
|
2004 |
–2,52 |
40,86 |
4,20 |
–5,00 |
–2,25 |
6,21 |
–1,82 |
43,29 | |
|
2005 |
–3,39 |
39,87 |
4,27 |
–5,64 |
–2,59 |
5,60 |
–1,28 |
42,47 | |
|
2006 |
–2,69 |
39,24 |
3,63 |
–4,91 |
–1,65 |
5,29 |
–1,46 |
41,78 | |
|
2007 |
–1,25 |
40,04 |
2,30 |
–3,14 |
–0,06 |
5,53 |
–1,65 |
40,95 | |
|
2008 |
–2,73 |
40,85 |
2,19 |
–6,22 |
–1,23 |
7,64 |
–0,21 |
39,85 | |
|
2009 |
–6,15 |
41,60 |
3,97 |
–12,17 |
–4,75 |
9,32 |
1,48 |
41,49 | |
|
2010 |
–4,56 |
41,95 |
4,00 |
–9,71 |
–3,82 |
9,27 |
0,19 |
42,01 | |
|
2011 |
–2,94 |
41,80 |
2,97 |
–7,69 |
–2,51 |
8,01 |
–0,24 |
41,96 | |
|
2012 |
–4,00 |
41,74 |
3,78 |
–8,96 |
–3,86 |
7,49 |
0,15 |
42,90 | |
|
2013 |
–1,13 |
41,13 |
1,46 |
–6,20 |
–1,37 |
6,28 |
–0,21 |
41,47 | |
|
2014 |
–1,97 |
40,22 |
4,12 |
–5,22 |
–2,23 |
6,33 |
–2,02 |
43,15 | |
|
2015 |
–0,76 |
38,92 |
3,07 |
–4,11 |
–0,45 |
4,85 |
–2,46 |
43,09 | |
|
2016 |
0,37 |
37,91 |
0,57 |
–2,32 |
1,08 |
3,01 |
–1,30 |
39,82 | |
|
2017 |
1,15 |
37,91 |
0,24 |
–0,86 |
2,04 |
2,55 |
–1,84 |
39,90 | |
|
Magyarország |
1995 |
na |
na |
6,80 |
–7,97 |
na |
na |
1,81 |
44,58 |
|
1996 |
na |
na |
3,07 |
–3,79 |
na |
na |
1,30 |
40,49 | |
|
1997 |
na |
na |
7,37 |
–1,44 |
na |
na |
–1,85 |
42,83 | |
|
1998 |
na |
na |
7,68 |
–5,77 |
na |
na |
–0,23 |
43,85 | |
|
1999 |
–5,69 |
42,13 |
3,16 |
–5,67 |
–4,56 |
3,89 |
1,96 |
39,98 | |
|
2000 |
–2,56 |
43,78 |
4,59 |
–1,24 |
–3,49 |
4,72 |
–1,56 |
43,41 | |
|
2001 |
–4,18 |
44,82 |
6,21 |
–2,39 |
–3,92 |
6,91 |
–2,16 |
44,62 | |
|
2002 |
–9,67 |
45,46 |
10,89 |
–7,49 |
–7,98 |
8,16 |
–2,06 |
48,90 | |
|
2003 |
–8,05 |
44,93 |
7,72 |
–7,13 |
–6,18 |
7,68 |
–0,60 |
45,58 | |
|
2004 |
–7,55 |
45,81 |
5,90 |
–8,07 |
–5,53 |
8,89 |
0,64 |
43,72 | |
|
2005 |
–9,04 |
46,28 |
7,63 |
–8,88 |
–6,50 |
9,74 |
0,14 |
45,15 | |
|
2006 |
–10,18 |
46,03 |
9,63 |
–10,76 |
–8,36 |
9,57 |
–0,36 |
47,93 | |
|
2007 |
–5,50 |
45,43 |
3,76 |
–7,69 |
–4,55 |
6,04 |
1,27 |
44,53 | |
|
2008 |
–3,48 |
45,21 |
1,75 |
–7,05 |
–3,88 |
5,80 |
1,93 |
42,61 | |
|
2009 |
–3,89 |
45,39 |
–4,50 |
–15,96 |
–5,18 |
6,44 |
9,04 |
36,84 | |
|
2010 |
–2,57 |
44,81 |
2,00 |
–10,34 |
–6,38 |
7,54 |
2,47 |
42,67 | |
|
2011 |
–3,17 |
44,70 |
3,37 |
–10,70 |
–7,66 |
8,05 |
2,05 |
43,26 | |
|
2012 |
0,21 |
44,68 |
–2,43 |
–10,37 |
–5,01 |
6,31 |
4,83 |
39,08 | |
|
2013 |
0,50 |
45,60 |
3,30 |
–6,10 |
–5,73 |
7,61 |
–0,68 |
45,46 | |
|
2014 |
0,09 |
45,13 |
6,48 |
–3,35 |
–5,29 |
7,01 |
–3,89 |
49,24 | |
|
2015 |
–1,21 |
44,58 |
4,70 |
–4,90 |
–2,60 |
5,71 |
–2,79 |
49,35 | |
|
2016 |
–1,77 |
43,89 |
3,32 |
–2,30 |
–1,56 |
4,54 |
–1,66 |
44,97 | |
|
2017 |
–2,62 |
44,34 |
7,39 |
0,15 |
–1,28 |
5,93 |
–5,43 |
49,14 | |
|
Lengyelország
|
1995 |
na |
na |
7,63 |
–1,10 |
na |
na |
–3,45 |
45,72 |
|
1996 |
na |
na |
5,87 |
–7,65 |
na |
na |
–1,33 |
48,00 | |
|
1997 |
na |
na |
3,56 |
–6,35 |
na |
na |
0,99 |
41,59 | |
|
1998 |
na |
na |
2,68 |
–6,23 |
na |
na |
1,48 |
39,67 | |
|
1999 |
–3,63 |
40,54 |
0,91 |
–5,73 |
–1,34 |
4,47 |
1,34 |
39,13 | |
|
2000 |
–3,06 |
41,23 |
0,29 |
–7,77 |
–2,91 |
7,25 |
2,69 |
36,37 | |
|
2001 |
–3,13 |
42,45 |
0,56 |
–12,11 |
–5,86 |
8,41 |
4,22 |
37,71 | |
|
2002 |
–1,46 |
42,11 |
2,77 |
–10,41 |
–7,05 |
7,93 |
2,07 |
40,45 | |
|
2003 |
–3,20 |
41,93 |
5,47 |
–9,80 |
–8,49 |
8,29 |
0,61 |
42,22 | |
|
2004 |
–2,40 |
41,77 |
6,80 |
–6,10 |
–7,26 |
8,74 |
–1,76 |
42,64 | |
|
2005 |
–2,00 |
41,80 |
4,36 |
–7,49 |
–5,60 |
7,76 |
–0,40 |
42,33 | |
|
2006 |
–2,36 |
41,91 |
5,31 |
–5,86 |
–4,56 |
7,23 |
–1,75 |
44,05 | |
|
2007 |
–2,06 |
42,02 |
4,52 |
–2,74 |
–1,68 |
6,39 |
–2,67 |
43,70 | |
|
2008 |
–4,83 |
42,75 |
4,46 |
–6,21 |
–2,57 |
7,64 |
–0,86 |
43,04 | |
|
2009 |
–8,78 |
42,46 |
8,34 |
–9,29 |
–5,97 |
10,24 |
–1,09 |
43,68 | |
|
2010 |
–8,71 |
41,67 |
8,08 |
–10,13 |
–6,20 |
9,22 |
–0,73 |
44,05 | |
|
2011 |
–6,25 |
40,61 |
6,85 |
–6,45 |
–3,64 |
7,74 |
–2,03 |
43,38 | |
|
2012 |
–5,13 |
40,23 |
3,23 |
–7,55 |
–2,52 |
7,10 |
0,48 |
39,72 | |
|
2013 |
–4,89 |
40,10 |
3,38 |
–7,77 |
–3,47 |
7,05 |
0,74 |
39,35 | |
|
2014 |
–4,10 |
39,90 |
4,24 |
–6,72 |
–3,23 |
6,92 |
–0,62 |
40,93 | |
|
2015 |
–3,03 |
39,68 |
4,11 |
–4,91 |
–2,32 |
6,23 |
–1,46 |
41,28 | |
|
2016 |
–2,87 |
39,80 |
3,15 |
–4,06 |
–1,91 |
5,22 |
–0,80 |
40,23 | |
|
2017 |
–1,97 |
40,14 |
4,06 |
–2,15 |
–1,40 |
5,03 |
–2,39 |
42,04 | |
|
Szlovákia |
1995 |
na |
na |
4,91 |
–4,65 |
na |
na |
–1,56 |
47,40 |
|
1996 |
na |
na |
9,62 |
–12,02 |
na |
na |
0,10 |
50,51 | |
|
1997 |
na |
na |
2,83 |
–12,70 |
na |
na |
3,33 |
42,73 | |
|
1998 |
na |
na |
1,37 |
–10,65 |
na |
na |
3,83 |
39,23 | |
|
1999 |
–6,35 |
44,34 |
3,50 |
–13,33 |
–8,20 |
9,39 |
3,78 |
40,73 | |
|
2000 |
–9,90 |
43,40 |
12,99 |
–13,23 |
–14,15 |
9,57 |
–0,96 |
48,99 | |
|
2001 |
–3,78 |
39,90 |
6,77 |
–7,27 |
–9,02 |
7,07 |
–0,37 |
40,83 | |
|
2002 |
–5,57 |
38,32 |
8,45 |
–8,35 |
–10,61 |
5,39 |
–0,36 |
42,00 | |
|
2003 |
–1,22 |
37,14 |
4,63 |
–2,79 |
–4,19 |
4,41 |
–1,93 |
39,38 | |
|
2004 |
–2,32 |
37,10 |
4,87 |
–1,39 |
–2,29 |
5,37 |
–2,56 |
38,24 | |
|
2005 |
–4,25 |
36,87 |
5,02 |
–4,50 |
–1,52 |
5,42 |
–2,14 |
40,22 | |
|
2006 |
–5,36 |
36,07 |
5,79 |
–5,77 |
–1,82 |
6,70 |
–2,19 |
39,52 | |
|
2007 |
–4,32 |
37,87 |
4,24 |
–3,40 |
0,42 |
8,61 |
–2,30 |
37,24 | |
|
2008 |
–5,43 |
39,78 |
3,67 |
–5,32 |
0,58 |
10,70 |
–1,24 |
36,87 | |
|
2009 |
–10,78 |
40,89 |
4,96 |
–16,57 |
–4,83 |
11,96 |
2,84 |
39,81 | |
|
2010 |
–9,13 |
39,73 |
9,43 |
–10,70 |
–5,84 |
11,53 |
–1,94 |
42,79 | |
|
2011 |
–5,78 |
39,28 |
5,62 |
–9,19 |
–2,78 |
10,53 |
–1,34 |
40,63 | |
|
2012 |
–5,47 |
39,56 |
5,57 |
–9,27 |
–3,22 |
11,18 |
–1,22 |
40,09 | |
|
2013 |
–3,35 |
41,09 |
3,70 |
–8,30 |
–2,09 |
10,80 |
–0,98 |
40,55 | |
|
2014 |
–3,09 |
41,20 |
3,98 |
–7,66 |
–2,32 |
10,00 |
–1,27 |
41,41 | |
|
2015 |
–4,07 |
40,84 |
4,67 |
–9,26 |
–1,38 |
8,57 |
–1,95 |
45,43 | |
|
2016 |
–3,46 |
39,09 |
3,83 |
–5,80 |
–0,95 |
6,65 |
–1,63 |
41,49 | |
|
2017 |
–2,30 |
38,16 |
3,58 |
–3,65 |
0,22 |
5,32 |
–2,54 |
41,56 |
Megjegyzés: szürke háttérrel a fenntarthatatlannak értékelt évek szerepelnek, a Blanchard (1990) és Croce és Juan-Ramón (2003) nem adtak meg a fenntarthatatlanságra vonatkozó kritériumot, ezért ezen oszlopokban nincs megadva szürke érték.
Forrás: saját számítás
8. melléklet Az IFS mutató komponenseinek gyakorisági értékei (százalék)
|
β-λ>١ |
β>β* |
λ<٠ | |
|
Csehország |
27 |
27 |
23 |
|
Magyarország |
53 |
27 |
55 |
|
Lengyelország |
36 |
32 |
37 |
|
Szlovákia |
38 |
42 |
35 |
Forrás: saját számítás
1 A gazdaságtörténet iránt érdeklődöknek ajánlom Madarász (2000, 2002)és Farkas (2022) munkáit.
2 Farkas (2017) kiemeli, hogy a szociológiai, szociálpolitikai, politológiai és politika gazdaságtani tanulmányok a jóléti állam fogalmát használják, míg a makroökonómiai és összehasonlító gazdaságtani munkákban a szociális védelem kifejezéssel élnek.
3 Észtország, Lettország, Litvánia, Csehország, Szlovákia, Bulgária és Románia tartozik ebbe a klaszterbe, Csehország és Szlovákia kivételével a többi országban a jövedelemelosztás egyenlőtlensége magas (Farkas 2017).
4 Írország egy külön klasztert alkotott.
5 Az egyes szereplők – magán- és állami szektor – cselekvései, intézkedései tudatosak és szándékoltak mikro szinten (Lindbeck 1993).
6 Nagy moderációnak nevezzük az 1980-as évek közepe és 2007 közötti időszakot. Ekkoriban törték le a korábbi magas inflációt az USA-ban, a kibocsátás, a munkaórák és a munkatermelékenység tekintetében nagy mértékű változások következtek be (Galí – Gambretti 2009).
7 Az automatikus stabilizátorok „olyan kiadási vagy bevételi tételek, amelyek a gazdasági konjunktúra alakulásától függnek, azaz a gazdasági növekedés, a fogyasztás, az exportértékesítés és a beruházások bővítése szerint változnak” (Kutasi 2012, 1. o.).
8 „A fiskális keretrendszer elemei a fiskális szabályok, a költségvetési tanácsok és a költségvetés tervezési, procedurális és elszámolási szabályai” (P. Kiss 2012, 2. o.)
9 A fiskális politika akkor nevezhető prociklikusnak, ha a konjunktúra idején élénkíti a gazdaságot, majd a recessziók esetén fiskális megszorításokat alkalmaz (Rabitsch 2012).
10 A fiskális politika akkor nevezhető kontra- vagy anticiklikusnak, ha a költségvetés a gazdasági konjunktúra idején költségvetési többletet halmoz fel és így lehetősége van a gazdaság élénkítésére a recessziók idején (Rabitsch 2012). A kontraciklus fiskális politika gondolata Musgravetől (1959) származik, amelyről már azóta többen bizonyították, hogy nem minden ország esetében kimutatható.
11 Jelenleg hatályos törvény a 2011. évi CXCIV. törvény Magyarország gazdasági stabilitásáról
12 Jelenleg hatályos törvény a 2011. évi CXCV. törvény az államháztartásról
13 Ezt a jelenséget Park (2012) aktív kvázi-fiskális politikának nevezi és rámutat arra, hogy ilyen helyzetben a fiskális politikák a jegybanki mérleg befolyásolásával hatással vannak az egyensúlyi inflációra. Ebben a rendszerben a sokkok (pl. eszköztartásból származó veszteségek) a magánszektor portfóliókiigazításán keresztül befolyásolják az inflációt.
14 A közpénzt felhasználó intézmények jelenlegi közpénzügyi menedzsment gyakorlatáról részletesen lehet olvasni Kovács (2014) munkájában, mely a maga nemében hiánypótló alkotás.
15 Eredetileg a Latin-Amerikai ún. banánköztársaságokban volt megfigyelhető.
16 Az Európai Bizottság, az Európai Központi Bank és a Nemzetközi Valutaalap (IMF) együttműködése.
17 Ezek a hatóságok 2011. január 1-jén kezdték meg működésüket (Losoncz 2014).
18 2010 decemberében hagyták jóvá és 2012 februárjában írták alá az EU vezetői az ESM létrehozását 2013. júniusi hatállyal és 500 milliárd eurós kapacitással (Losoncz 2014).
19 A témáról részletes elemzést készített Török (2018). Az euróövezet 45 mrd és az IMF 22,5 mrd euró értékben biztosított stabilitási programot az országnak.
20 A spanyol és portugál válság kialakulásának előzményeiről részletes leírást ad Kószó – Udvari (2012).
21 A költségvetési korlát a mikroökonómiából származó fogalom, amely azt mondja ki, hogy a háztartások kiadásai nem haladhatják meg a rendelkezésükre álló pénzforrásokat. Ezt a fogalmat lehet használni más szervezetekre, intézményekre, és a kormányzatra is (Kornai 2000).
22 Ilyen például a formális jogérvényesítés vagy a vétójog (Kopits 2009).
23 „Az automatikus stabilizátor hatás azt jelenti, hogy az államháztartás adóbevételei követik a gazdasági ciklus ingadozását, miközben kiadásai a magángazdasági aktivitás ingadozásától függetlenül alakulnak és rendkívüli intézkedések nélkül viszonylag stabilak. Ezáltal a költségvetési egyenleg gazdasági fellendülés idején javul, visszaesés idején pedig romlik anélkül, hogy a kormányzatnak bármilyen intézkedést kellene hoznia (Baksay – P. Kiss 2009, 21. o.).
24 Az Európai Unióról szóló Maastrichti Szerződés röviden EKSz. korábbi 121. cikk (1) bekezdése, 122. cikk (2) bekezdésének második mondata és a 123. cikk (5) bekezdése az Európai Unióról szóló szerződés és az Európai Unió működéséről szóló egységes szerkezetbe foglalat változatának (röviden: Alapító Szerződések) 140. cikkébe került át.
25 Az SNE-t érő korai kritikákról többek között De Grauwe (2003), Blachard és Giavazzi (2004), Collignon (2004), Csaba (2006) és Rácz (2007) is részletesen ír. Azóta is számos kritikai mű született a témában lásd Koehler és König (2015), De Grauwe (2016), Baerg és Hallerberg (2016)
26 A reform kezdeti hatásaival kapcsolatos vizsgálatokat végzett Buti (2006), Verde (2006), Calmfors (2006), Beetsma és Debrun (2007), később Princen és Van Els (2016), Stockhammer (2016), Schön-Quinlivan és Scipioni (2017), De Jong és Gilbert (2020) és Teglio és szerzőtársai (2019) is értékelték.
27 Bővebb elemzést és értékelést többek között Benczes (2016) és Laffan és Schlosser (2016) tanulmányaiban lehet olvasni.
28 A kritériumrendszer pontos felépítését lásd 4. melléklet.
29 Az országok államadósság- és költségvetési egyenlegének alakulásáról készítettem egy-egy informatív ábrát az Eurostat adatbázisa alapján. Mivel az adatokat 2023.03.21-én töltöttem le az adatbázisból, ezért előfordulhat, hogy a különféle korábbi jelentések és az ábrákon szereplő értékek között elértések lehetnek.
30 Csehországot, Lengyelországot és Magyarországot az állami szerepvállalás tekintetében erőteljes újraelosztás jellemezte. Míg Szlovákia esetében az állami szerep csökkent, a közkiadások aránya mérséklődött a 2000-2006-os időszakban (Csaba 2009). Az országok kapitalizmus modelljének tipizálásáról részletes áttekintés olvasható Farkas (2015), valamint Bohle és Greskovits (2012) tanulmányában.
31 Az, hogy mit tekintünk állami tulajdonnak országonként (vagy azon belül is), időben változó lehet. „A fogalomba beletartozik a katedrális és az úthálózat, a kicsi önkormányzati vállalat, a feldolgozóipari óriásholding és leányvállalata, valamint a nagy olajipari cég, a világkereskedelem legnagyobb játékosai közé tartozó tőzsdei vállalat és a helyhatóság apparátusába betagozott közszolgáltató, a kizárólagos állami fennhatóság alatt álló vagy többségi magántulajdonban lévő cég. Nyilvánvaló, hogy ezek működési célja és módja, az államhoz fűződő viszonya, finanszírozása és ellenőrzése, gazdasági és társadalmi hatása is lényegesen eltér egymástól” (Voszka 2018, 29. o.).
32 A rurális térségek fejlődési sajátosságainak vizsgálatával foglalkozik Bodnár (2020).
33 Mihályi (2010) részletesen bemutatja és értékeli a magyar privatizációs folyamatot és nemzetközi kitekintést is tesz a privatizációs folyamatok kialakulásáról.
34 Farkas (2017) számos szerző munkáját elemzi a témával kapcsolatosan, ezért a különféle álláspontok részletes bemutatásától eltekintek, mert nem a kapitalizmus modellek a könyv fő témája.
35 A kárpótlás módjával kapcsolatos problémákat Mihályi (2010) részletesen bemutatja.
36 A nettó inflációs célkitűzést 2000 végére 3,5-5,5 százalék körül értékre számították, amely eléréséhez 1998 végére 5,5-6,5 százalék közötti középtávú inflációs célt határoztak meg (CNB 1998a).
37 Az ábra és a szövegben szereplő értékek közötti eltéréseket a jelentésekben közölt adatok utólagos módosítása okozza.
38 Megoszlását tekintve a két ötöde az iparba, egy harmada a feldolgozóiparba, és egy ötöde a bank és biztosítás szolgáltatási szektorba áramlott (MoFoCZ 2004).
39 A 15-64 éves korosztály aktivitási rátája 71,1 százalékra csökkent 2003-ban az 1994-es 73,5 százalékos szinthez képest, csak a szolgáltatási szektorban növekedett a foglalkoztatottak száma (MoFoCZ 2004).
40 A fotovoltaikus erőművek speciális napelemes (PV) erőművek, melynek gazdasági hatásait Mangler (2010) és REKK (2012) részletesen ismerteti.
41 Cseh nyelven: Fond pojištění vkladu
42 Felbabka (Central-Bohemian Region), Starosedlský Hrádek (Central-Bohemian Region), és Prameny (Karlovy Vary Region)
43 Kompenzációs Bónusz az egyéni vállalkozóknak és kisvállalatoknak, Antivírus program a foglalkoztatási szerkezet megőrzése érdekében stb. összesen 500 millió korona értékben terhelték a kiadási oldalt (MF 2021).
44 609/2020 számú törvény keretében csökkent a személyi jövedelemadó, a munkavállalók étkeztetési támogatása, az ajándékok után fizetendő adó is csökkent, hatályba lépett az átalányadó az egyéni vállalkozókra, a gyermekek után járó adókedvezmények is emelkedtek.
45 „A törvény leegyszerűsítette a vállalkozásalapítás hatósági ügyintézését; a vállalkozásalapítók általában csak bejelentési kötelezettséggel tartoztak a néhány külön engedélyhez kötött szektor kivételével (fegyverkészítés és –forgalmazás, szeszes italok és dohányáruk gyártása), a magánvállalkozások felső foglalkoztatási korlátját megszüntették” (Mizsei 1991, 40. o.).
46 „Kiterjesztették a vegyesvállalat (engedély köteles) alapítási jogokat a magánvállalkozókra is, megszüntették a külföldi partner kisebbségi részarányára vonatkozó előírást és 20 százalékos és 50000 dolláros minimumot szabtak ki rájuk, a működés első három érévre adómentességet kaptak, amelyet meg lehet hosszabbítani, ha a fejleszteni kívánt ágazatokba történtek a beruházások és az adósságcsökkentés exportrészarányára jutó hányadát a külföldi beruházó repatriálhatta” (Mizsei 1991, 41. o.).
47 „A mezőgazdasági magángazdaságokat kiszolgáló termelőeszköz-ellátó és felvásárló monopóliumokat nem szabták fel, de kizárólagosságukat megszüntették” (Mizsei 1991, 41. o.).
48 Azaz menedzseri privatizáció, amely során először a vállalatok társasággá alakulhattak és a vállalati menedzserek és az ő alárendeltjeik tulajdonossá válhattak a háború előtt érvényes kereskedelmi kódex (Kodeks Handlowy) ismételt érvénybe helyezésével. Ennek a következménye a kollektív vagyon magánelsajátítása és általános közfelháborodás lett és így kudarcba fulladt (Mizsei 1991, 42. o.).
49 A lengyel ún. vócser-privatizációról és lengyel sajátosságairól részletes leírást közöl Mihály (2010).
50 Az 1998 előtti számítási módszer nem tartalmazta a privatizációs bevételeket.
51 Részletesen lásd RoP (2007), 34-35. o.
52 Lengyelül: Rozdina 500+
53 Az aktuális és a historikus értékek közötti különbséget adórésnek (tax gap) nevezzük. A lengyel áfarés (26,7%) az egyik legnagyobb az EU-ban, de hasonlóan magas, jóval meghaladja az EU átlagot (15,2%) Csehországban (22,4%) és Magyarországon (24,4%) is, Szlovákia (34,9%) még Lengyelországot is megelőzi. A helyzet javítása érdekében további reformok bevezetését sürgette az Európai Bizottság (RoP 2016).
54 A SAF a cégek számviteli rendszerének közvetlen exportálását végzi egy adott időszakra vonatkozóan, szabványos szerkezettel és formátummal, hogy a feldolgozás egyszerűbbé váljon. Az SAF célja az elektronikus adatáramlás hibáinak kiküszöbölése, ezáltal az ellenőrzési idő és a költségek csökkentése. A nagyvállalatoknak már 2016 júliusától, a kis és középvállalatoknak 2018 júliusától kötelező a rendszer használata (RoP 2017).
55 Az egy főre jutó jövedelem nem éri el a 800 zloty értéket, vagy a fogyatékkal élő gyermeket nevelő családokban az 1200 zloty értéket.
56 Részletesen foglalkozik a lengyel és magyar családtámogatási rendszerrel Lendvai–Bainton és Szelewa (2021).
57 2020 februárjában regisztrálták az első eseteket Lengyelországban, március 10-én kezdődtek a lezárások.
58 A GFS szerinti számítva az adósságot csökkentették a privatizációs tételek, amelyek az SNA/ESA szabály szerint csak a nettó adósságot csökkentik, a hiányt nem (Gém – Palócz 2006).
59 Az állam 102 milliárd forint névértékű banki követelést vásárolt fel, amit 80 milliárd forint értékű 20 éves lejáratú korlátozottan forgalomképes konszolidációs kötvénnyel finanszírozott. Néhány bank tőkeellátottságának javítására alárendelt kölcsöntőkét is kapott 1994 során. A bankkonszolidáció összesen 350 milliárd forintnyi államkötvénnyel valósult meg. Az állampapírral történő finanszírozás előnye, hogy a költségvetést a fizetett kamatok erejéig terheli, ugyanakkor az állománya az államadósságot növeli, ami a fenntarthatóságot is veszélyeztetheti (Gém – Palócz 2006).
60 A felsőoktatási tandíj bevezetése, az alanyi jogon járó családi pótlék rászorultsági elv szerinti átalakítása, a lakosság egyes egészségügyi szolgáltatásokhoz való hozzájárulásának előírása, az átmeneti vámpótlék bevezetése mind eltörlésre került (Gém – Palócz 2006).
61 Jelenleg hatályos törvény a 2013. évi CXXXIX. törvény a Magyar Nemzeti Bankról.
62 A jegybank és a kormányzat előtörlesztéssel (1,1 milliárd dollár körüli összegben az IMF-nek és Világbanknak) elérte a kedvezőbb feltételekkel történő finanszírozást, a nettó adósság csökkentését.
63 Júniusban a Moody’s Investos Service Baa1-re, októberben a FitchIBCA, novemberben a Japan Credit Rating Agency A-(mínusz)-ra javította a szuverén besorolást.
64 2001-ben 57 százalékkal 2002 év elején további 25 százalékkal emelték a minimálbért és a közszféra hatszázezer alkalmazottja is 50 százalékos béremelést kapott, a döntés eredménye 19 százalékos bérinfláció lett, mert a kiugró béremeléseket a versenyszféra is követni kényszerült (MNB 2003a).
65 A jegybank kamatemeléssel és az erős árfolyam tolerálásával tudott beavatkozni a romló gazdasági kilátások, költségvetési és folyó fizetési mérleg hiány növekedéséből eredő kockázati prémium ellensúlyozása érdekében.
66 2002 végén bizonyossá vált, hogy Magyarország 2004. május 1-jén csatlakozhat az Európai Unióhoz, az euró bevezetés céldátuma 2007-re került.
67 Magyarországot az állampapír- és devizaswap piacon keresztül érintette az amerikai válság leginkább és magas sebezhetősége miatt a jegybank eszköztárának bővítésével igyekezett stabilizálni a gazdaságot. Bevezették a kétoldali egynapos FX-swap gyorstendereket. Az 5 milliárd eurós hitelkeretből az eurólikviditást nyújtó egynapos futamidejű FX-swap rendelkezésre állást vezetett be. Az egyedi banki forintlikviditás-hiány kezelésére kéthetes futamidejű, fix kamatú, heti egyszeri fedezetthitel-tender az MNB teljes hitelpartnerköre, míg a hat hónapos, változó kamatozású fedezetthitel-tender az Elsődleges Forgalmazók (2009. január végéig) részére volt elérhető. Bővítették a hitelműveletek során elfogadható fedezetek körét, a kapcsolt vállalkozás által kibocsátott jelzáloglevelekkel, és az „A” minősítési kritérium „BBB”-ra csökkentésével kötvényekkel. A korábbi 5 százalékos kötelező tartalékráta mértékét 2 százalékra (az EKB-val megegyező szintre) mérsékelte. Másodpiaci állampapír-vásárlási aukciókat (7 alkalommal) szerveztek, ahol 243 milliárd forint névértékű állampapírt vásárolt (MNB 2009a, 2009b).
68 A Moody’s A3, S&P és Fitch Baa2 kategóriába sorolta Magyarországot (MNB 2009b).
69 Azok a kiadások tartoznak ide, amelyek közvetlenül segítik a termelést (MNB 2008c).
70 Azok a kiadások tartoznak ide, amelyek a termelést közvetlenül nem segítik (MNB 2008c).
71 A korábbi évek szerény növekedése megtorpant 2009-ben, a recesszióba került országban 6,3 százalékos volt a GDP volumenének csökkenése az előző évihez viszonyítva.
72 1995 óta nem tapasztalt szintre, 10,1 százalékra emelkedett a munkanélküliségi ráta (KSH 2010)
73 Így február 2-ától svájci frank likviditást nyújtó, rögzített árú, egyhetes futamidejű euro-svájci frank FX-swap tendert tudott bevezetni az MNB. A megállapodást 2009 áprilisáig kötötték, de több alkalommal meghosszabbították egészen 2010. január végéig volt a piacon (MNB 2010a).
74 A kormányzat szigorította a lakosság deviza-hitelfelvételét, kormányrendeletben [361/2009. (XII. 30.) a körültekintő lakossági hitelezés feltételeiről és a hitelképesség vizsgálatáról] szabályozta a maximális hitelfedezet értéket lakossági jelzálog-, illetve gépjárműhitelek esetében [a forinthiteleknél 75 százalékban, euroalapú hiteleknél 60 százalékban, egyéb devizáknál
45 százalékban, a gépjárművásárlási hitel és lakáslízing esetén a korlát mértéke rendre magasabb: 80, 65 és 50 százalék (MNB 2010b)]. Másik fontos elem, hogy a kormányzat megtiltotta a tisztán fedezetalapú hitelezést, és hitelezhetőségi limit megállapítására kötelezte a bankokat minden hitelkérelmező esetén. 2010. augusztus 13-án hatályba lépett a devizaalapú jelzáloghitelezést betiltó törvény (2010. évi XC. törvény egyes gazdasági és pénzügyi tárgyú törvények megalkotásáról, illetve módosításáról). (A devizaalapú lízinget nem tiltotta be, a hitelfedezeti maximumok rájuk továbbra is vonatkoztak, bár ez a fajta konstrukció nem volt elterjedt.) A kormányzat 2011 decemberében Otthonteremtési Programot vezetett be, melynek célja a lakáspiac élénkítése (kamattámogatással) és a lakásépítések számának (új lakásépítési támogatással) növelése. A bankok koordinálatlan portfóliótisztítási törekvéseinek, azaz az tömeges árverezéseknek megakadályozása érdekében az árverezési moratórium feloldása után kényszerértékesítési kvótarendszert vezetett be a kormány (MNB 2012b).
75 Az implicit kamat az adósságállományra fizetett átlagos kamatlábat mutatja, kiszámítható az adott évben fizetendő kamatok és az előző év végén fennálló adósság hányadosaként.
76 A 2.5 alfejezetben kitérek a szabály részletes ismertetésére.
77 Leginkább egyéves futamidejű Kamatozó Kincstárjegyet vásároltak (440 milliárd forint értékben), aminek oka, hogy kamatai magasabbak a lakosság által korábban kedvelt, egy éven belül lejáró betétek átlagos kamatlábánál 2011. november óta (MNB 2013b).
78 Az autóiparhoz kapcsoló fejlesztések közül kiemelendő a BMW, Samsung SDI, SI Innovation és GS Yuasa projektjei.
79 Az egészségügyi dolgozók egyszeri bérkiegészítése és egyes családtámogatási módozatok meghosszabbítása nincs benne ebben az összegben.
80 Év végére elérte a 9300 milliárd forintot.
81 Visszterhes vagyonszerzési illeték eltörlése CSOK kedvezményt felhasználó családoknak, új építésű lakások áfája 5 százalékra csökkent ismét, SZOCHU két százalékponttal csökkent, KIVA adókulcsa egy százalékponttal, mikro és KKV-k iparűzési adó kulcsa 1 százalékra csökkent, gyorsabb áfavisszafizetés, SZOCHO kedvezmény, SZÉP-kártya kedvezmény keretösszege megduplázódott, turizmusfejlesztési hozzájárulás elengedése meghosszabbításra került.
82 Orvosok béremelése, kamatmentes gyorskölcsön a KKV szektornak, felújítási támogatás a családoknak, személyszállítás-támogatás, távhőszolgáltatások kompenzációja, nyugdíjprémium, vakcina és egészségügyi védőeszközök beszerzése, állami vállalatok tőkeemelése, nettó kamatkiadások emelkedése.
83 A helyi önkormányzatok költségvetéséből kellett finanszírozni a gyermekétkeztetési programot. Az „ingyenes iskolai ebéd”-et, ahogy a juttatás ismertté vált, 2018 decemberében hagyta jóvá a kormány, 2019 januárjától az utolsó óvodai évükben lévő óvodások, 2019 szeptemberétől pedig az általános iskolások is kapták. Forrás: https://spectator.sme.sk/c/22461230/free-school-lunches-scrapped-who-will-benefit.html
84 A Kubának nyújtott garancia a GDP arányos deficit 0,2 százalékpontját tette ki, az EXIM bank egyenlegén keresztül került elszámolásra. Továbbá az elfogadott költségvetésben nem szerepeltek a zöld energiát termelők részére nyújtott támogatások (értéke 0,1 százaléka a GDP-nek).
85 A kormány számításai szerint a költségvetési deficit 1,7 százalékpontjáért a világjárvány a felelős.
86 A karácsonyi nyugdíjkifizetés, az új Regionális Fejlesztési és Beruházási Minisztérium létrehozása, a pénzügyi intézetek különadójának eltörlése, a gépjárműadó mérséklése mind a hiány emelkedéséhez járultak hozzá.
87 A lakossági fogyasztás még erőteljesebben emelkedett volna, ha nem terjedt volna el a járvány év elején és végén. A magasabb állami kiadások mind a gazdaságot, mind a háztartások rendelkezésre álló jövedelmét fellendítették. Bár a világméretű kereslet a szolgáltatásokról az áruk felé tolódott el a világjárvány idején, az ígéretes évkezdést követően a szlovák exportot alkatrészhiány sújtotta. Az ipar így az év hátralévő részében lelassult, és részben készletre termelt. A foglalkoztatásban még nem volt tapasztalható erősebb fellendülés, de a bérek dinamikusan nőttek. Az árak növekedése gyorsulni kezdett, elsősorban a kínálati oldali tényezők hatására.
88 Az év végén 350 eurós egyszeri kompenzáció kifizetésére került sor.
89 2017. évi 23. törvény a költségvetési felelősség szabályairól, a 2017. évi 24. törvény a területi költségvetések költségvetési szabályairól és a 2017. évi 25. törvény az államháztartás felügyeletére és kezelésére vonatkozó adatok gyűjtéséről.
90 Az adatok csak 2010-től érhetők el ezen a portálon, így egy idősoros vizsgálathoz nem elegendők, de területi összehasonlításra alkalmasak lehetnek.
91 Az Európai Bizottság (2017) értékelése alapján a 2016-ban hatályos szabályok alapján Szlovákia 2,74; Lengyelország 2,17; Magyarország 1,66 és Csehország –0,93 pontot ért el az indexen. (Minél erősebb a szabályozás a kritériumok – 4. melléklet – alapján annál magasabb ponttal rendelkezik egy ország.)
92 2008. évi LXXV. törvény a takarékos állami gazdálkodásról és a költségvetési felelősségről
93 A veszélyhelyzet azóta több alkalommal is meg lett hosszabbítva. Az alkotmányossági problémákról lásd Szente (2020), az EU-ban alkalmazott különleges jogrendekbe ad betekintést Nagy és Horváth 2021).
94 Államcsődnek nevezzük, ha egy szuverén állam valamely hiteltípusú kötelezettségével kapcsolatos fizetési kötelezettségének nem vagy nem az eredeti feltételekkel tesz eleget, és a hitelezőknek ebből kára származik (Vidovics-Dancs 2014, 264. o).
95 A gazdasági növekedés (economic growth) és a gazdasági fejlődés (economic development) nem összekeveredő fogalmak. Ezen fogalmakról és megkülönböztetéséről részlegesen lásd Todaro – Smith (2020).
96 „A gazdasági hatékonyság objektív kategória, amit a tudomány mindenkori fejlettsége, a műszaki haladás határoz meg, de érvényesülését jelentősen befolyásolja a termelés szerkezete és a gazdaság szervezettsége” (Stark 2002, 14. o.). „A nemzetgazdaság hozama kifejezhető az egységnyi munka- és tőkeráfordításra jutó társadalmi tiszta jövedelemmel (az állam által központosított és a gazdálkodó egységek rendelkezésére álló jövedelemmel), a GDP-vel, a gazdasági teljesítmény szintetikus mutatójával” (Stark 2002, 15. o.).
97 Ezek koncepciójuk megalapozottságát tekintve, szabadon mozoghatnak a megszorítások és a valódi reformok közötti skálán.
98 Mivel empirikus vizsgálatomban nemcsak a gazdasági növekedés, hanem további tényezők hatását is szeretnénk vizsgálni, ezért nem tudom tovább tárgyalni a témába kerekedett vitát. További elemzések olvashatók Égert (2015), Panizza és Presbitero (2013), Smith (2013) munkáiban.
99 Fiskális kifáradás, akkor történik, ha az adósságnövekedés miatti kamatnövekedéssel az elsődleges egyenleg nem tud lépést tartani és az adósság mértéke robbanásszerűen növekszik (Ghosh et al. 2013). A témával kapcsolatosan az Európai Központi Bank is végzett vizsgálatokat lásd Checherita-Westphal és Zdarek (2017).
100 Érdekes azonban, hogy az államadósság válsággal leginkább érintett országokat (Görögország, Írország, Portugália és Spanyolország) nem-lineáris fiskális reakció függvénnyel vizsgálva Legrenzi és Milas (2013) nem tudott bizonyítékot találni a fiskális kifáradásra, csak azt tudták megállapítani, hogy az elsődleges egyenleg reakciója függ az adósság nagyságától, a gazdaság állapotától és a pénzügyi piacok által az országokra gyakorolt nyomástól.
101 Az intertemporális költségvetési korlátot, a következőképpen definiálja az Európai Unió Bizottsága: „az államadósság és a jövőbeli kormányzati kiadások diszkontált értékének (ide értve a várható elöregedésből származó kormányzati kiadásokat) meg kell egyezni a jövőbeli kormányzati kiadások diszkontált értékével” (European Union 2015, 22. o.).
102 Értéke az aktuális elöregedési jelentésből adódik.
103 A google scolar adatai alapján 1177 darab tanulmány idézi valamilyen formában a Blanchard (1990) tanulmányát. Néhány ezek közül: Alesina és Perotti (1995), Buiter (1997), Lane és Perotti (2003), Aristovnik és Berčič (2007), Clark (2009), Alesina és Ardagne (2010) és Polito és Wickens (2012).
104 A Levin–Lin–Chu (2002), Harris–Tzavalis (1999), Breitung (2000; Breitung és Das 2005), Im–Pesaran–Shin (2003) és Fisher-típusú (Choi 2001) tesztek a nullhipotézise, hogy a panel tartalmaz egy egységgyököt. A Hadri (2000) LM teszt nullhipotézise, hogy a panel stacionárius. A tesztek ugyanazt az eredmény hozták, így nem került minden eredmény megjelenítésre.
105 F(3,87)=10,6721, p-érték=0,0000
106 LM=21,467, p-érték=0,0000
107 H=9,0390 p-érték=0,0026
108 A fiskális stabilitást vizsgáló modellek eltérően definiálják az államháztartási egyenlegeket. A bevételeket és a kiadásokat különféle speciális változók segítségével lehet mérni és összegezni, így ezek alapján az egyenleg értéke is változhat. A különféle egyenlegtípusokról részletes áttekintést ad Benczes és Kutasi (2010), IMF (2015) és Kotosz (2016).
109 További információ a kategóriáról az ESA 1995 7.46 paragrafusában olvasható.
110 További információ a kategóriáról az ESA 1995 7.47-7.50 paragrafusában olvasható.
111 További információ a kategóriáról az ESA 1995 7.51 paragrafusában olvasható.
112 Az IMF a fogyasztói árindexet egy speciális fogyasztói kosár árváltozásának súlyozott átlagaként számítja, havi, negyedéves és éves szinten is (The World Bank 2018).
113 Az egyes országok különféleképpen definiálják a foglalkoztatottakat és a népességet. A legnagyobb különbségek a munkaképes kor meghatározásában vannak. A különféle demográfiai, szociális, jogi és kulturális tendenciák és normák miatt is eltérhetnek az összegzési módszerek. A legtöbb országban a hazai háztartásokban élő munkaképes korú egyéneket veszik számításba, kivéve a katonai erőknél szolgálókat, a büntetésüket töltőket és az elmegyógyintézetben gondozottakat. Néhány országban a katonák a népességbe beszámításra kerülnek, de a foglalkoztatottság számítása során nem veszik figyelembe őket. A foglalkoztatási adatokat nemek szerint elkülönítve is kiszámítják (The World Bank 2018).
114 Az egyes szerzők által definiált számítási módokat a (10), (13), (15) és (17) egyenletek tartalmazzák.
115 Az egyes szerzők által definiált számítási módokat a (11), (13), (16) és (18) egyenletek tartalmazzák.